Last visit was: 24 Apr 2026, 03:02 It is currently 24 Apr 2026, 03:02
Close
GMAT Club Daily Prep
Thank you for using the timer - this advanced tool can estimate your performance and suggest more practice questions. We have subscribed you to Daily Prep Questions via email.

Customized
for You

we will pick new questions that match your level based on your Timer History

Track
Your Progress

every week, we’ll send you an estimated GMAT score based on your performance

Practice
Pays

we will pick new questions that match your level based on your Timer History
Not interested in getting valuable practice questions and articles delivered to your email? No problem, unsubscribe here.
Close
Request Expert Reply
Confirm Cancel
User avatar
Bunuel
User avatar
Math Expert
Joined: 02 Sep 2009
Last visit: 24 Apr 2026
Posts: 109,803
Own Kudos:
810,923
 [8]
Given Kudos: 105,868
Products:
Expert
Expert reply
Active GMAT Club Expert! Tag them with @ followed by their username for a faster response.
Posts: 109,803
Kudos: 810,923
 [8]
Kudos
Add Kudos
8
Bookmarks
Bookmark this Post
Most Helpful Reply
avatar
dep
Joined: 23 Feb 2018
Last visit: 07 Aug 2021
Posts: 82
Own Kudos:
119
 [9]
Given Kudos: 23
Posts: 82
Kudos: 119
 [9]
4
Kudos
Add Kudos
5
Bookmarks
Bookmark this Post
General Discussion
User avatar
yashikaaggarwal
User avatar
Senior Moderator - Masters Forum
Joined: 19 Jan 2020
Last visit: 29 Mar 2026
Posts: 3,089
Own Kudos:
3,158
 [2]
Given Kudos: 1,510
Location: India
GPA: 4
WE:Analyst (Internet and New Media)
Posts: 3,089
Kudos: 3,158
 [2]
2
Kudos
Add Kudos
Bookmarks
Bookmark this Post
avatar
AjitJangale
Joined: 25 Jun 2019
Last visit: 28 Aug 2022
Posts: 38
Own Kudos:
Given Kudos: 123
Posts: 38
Kudos: 36
Kudos
Add Kudos
Bookmarks
Bookmark this Post
Hi yashikaagrawal,

I really struggled with calculation of decimal squares and its square roots which is required in above question.

Is any quick method to do such calculations?

Posted from my mobile device
User avatar
yashikaaggarwal
User avatar
Senior Moderator - Masters Forum
Joined: 19 Jan 2020
Last visit: 29 Mar 2026
Posts: 3,089
Own Kudos:
Given Kudos: 1,510
Location: India
GPA: 4
WE:Analyst (Internet and New Media)
Kudos
Add Kudos
Bookmarks
Bookmark this Post
AjitJangale
Hi yashikaagrawal,

I really struggled with calculation of decimal squares and its square roots which is required in above question.

Is any quick method to do such calculations?

Posted from my mobile device
You don't exactly have to calculate near by square. Like in above question. If you are finding square of 53.1666
You will be knowing that 7^2 is 49 and 8^2 is 64
53 is more near by to 49 as compared to 64
Also. 56.5 is the approximate square of 7.5
So 53 has to be either 7.4 or 7.3.
You can solve decimal using approximation. It's handy in exams
User avatar
KaramveerBakshi
Joined: 18 Feb 2020
Last visit: 09 Sep 2021
Posts: 288
Own Kudos:
Given Kudos: 30
Location: India
GMAT 1: 660 Q50 V29
GPA: 3
GMAT 1: 660 Q50 V29
Posts: 288
Kudos: 178
Kudos
Add Kudos
Bookmarks
Bookmark this Post
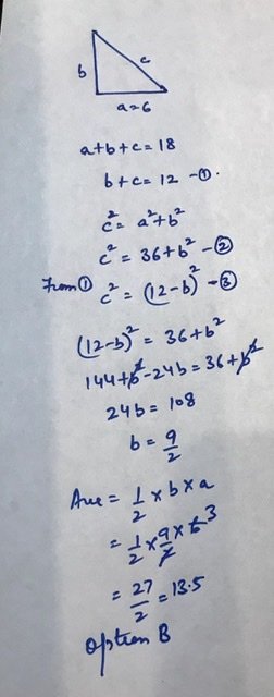
Bunuel
If the length of one leg of a right triangle is 6, and if the perimeter is 18, what is the area of the triangle?

A. 12.5
B. 13.5
C. 21
D. 25
E. 27


Explanation:

Perimeter = 18
6 + a + b = 18 (a is the base, b is the hypotenuse)
a+b = 12 ---- (A)

Now, by Pythagoras Theorem:
b^2 = 6^2 + a^2
or b^2-a^2 = 36
or (b+a)(b-a) = 36

b+a = 12

So, (12)(b-a) = 36
b-a = 3 ---- (B)

Solving (A) and (B), we get:
a = 9/2
Area = 1/2*6*9/2 = 27/2 = 13.5

Hence, the answer is Option (B).
User avatar
NeoNguyen1989
Joined: 18 Nov 2018
Last visit: 19 Dec 2025
Posts: 80
Own Kudos:
Given Kudos: 42
Posts: 80
Kudos: 88
Kudos
Add Kudos
Bookmarks
Bookmark this Post
we have the right triangle of 3,4 and 5. The perimeter of this right triangle is 12. The new triangle has the perimeter of 18/12 = 3/2 larger than the original triangle => each side of the new triangle (with the perimeter of 18) is 3/2 larger than each side of the original triangle => the area = 3/2*3/2* area of the original triangle = 9/4 * 6 = 13.5

B is the correct answer
User avatar
ScottTargetTestPrep
User avatar
Target Test Prep Representative
Joined: 14 Oct 2015
Last visit: 23 Apr 2026
Posts: 22,283
Own Kudos:
Given Kudos: 302
Status:Founder & CEO
Affiliations: Target Test Prep
Location: United States (CA)
Expert
Expert reply
Active GMAT Club Expert! Tag them with @ followed by their username for a faster response.
Posts: 22,283
Kudos: 26,532
Kudos
Add Kudos
Bookmarks
Bookmark this Post
Bunuel
If the length of one leg of a right triangle is 6, and if the perimeter is 18, what is the area of the triangle?

A. 12.5
B. 13.5
C. 21
D. 25
E. 27



Solution:

We see that the triangle must be a 3-4-5 right triangle where 3 x 1.5 = 4.5 and 4 x 1.5 = 6 are the legs and 5 x 1.5 = 7.5 is the hypotenuse (notice that 4.5 + 6 + 7.5 = 18). Since the area of a right triangle is half the product of the two legs, the area this right triangle is:

½ x 4.5 x 6 = 3 x 4.5 = 13.5

Answer: B
Moderators:
Math Expert
109802 posts
Tuck School Moderator
853 posts