Last visit was: 24 Apr 2026, 07:17 It is currently 24 Apr 2026, 07:17
Close
GMAT Club Daily Prep
Thank you for using the timer - this advanced tool can estimate your performance and suggest more practice questions. We have subscribed you to Daily Prep Questions via email.

Customized
for You

we will pick new questions that match your level based on your Timer History

Track
Your Progress

every week, we’ll send you an estimated GMAT score based on your performance

Practice
Pays

we will pick new questions that match your level based on your Timer History
Not interested in getting valuable practice questions and articles delivered to your email? No problem, unsubscribe here.
Close
Request Expert Reply
Confirm Cancel
User avatar
Bunuel
User avatar
Math Expert
Joined: 02 Sep 2009
Last visit: 24 Apr 2026
Posts: 109,814
Own Kudos:
811,000
 [3]
Given Kudos: 105,871
Products:
Expert
Expert reply
Active GMAT Club Expert! Tag them with @ followed by their username for a faster response.
Posts: 109,814
Kudos: 811,000
 [3]
Kudos
Add Kudos
3
Bookmarks
Bookmark this Post
avatar
akashrastogi
Joined: 16 Jun 2020
Last visit: 24 Jun 2022
Posts: 6
Given Kudos: 15
Location: India
Posts: 6
Kudos: 0
Kudos
Add Kudos
Bookmarks
Bookmark this Post
User avatar
Showmeyaa
Joined: 24 Jun 2019
Last visit: 08 Sep 2023
Posts: 427
Own Kudos:
Given Kudos: 117
Location: India
Concentration: Marketing, Strategy
Products:
Posts: 427
Kudos: 528
Kudos
Add Kudos
Bookmarks
Bookmark this Post
User avatar
100mitra
Joined: 29 Apr 2019
Last visit: 06 Jul 2022
Posts: 707
Own Kudos:
Given Kudos: 49
Status:Learning
Posts: 707
Kudos: 634
Kudos
Add Kudos
Bookmarks
Bookmark this Post
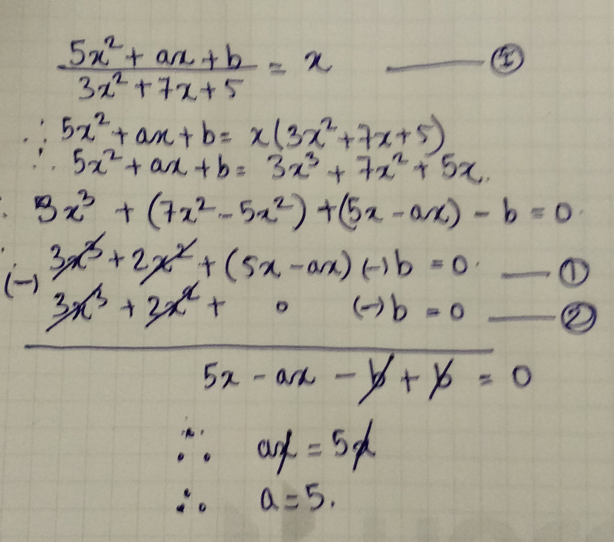
Correct Option B (a = 5)

Posted from my mobile device
Attachments

IMG_20210924_201352__01__01.jpg
IMG_20210924_201352__01__01.jpg [ 957.82 KiB | Viewed 2595 times ]

User avatar
bumpbot
User avatar
Non-Human User
Joined: 09 Sep 2013
Last visit: 04 Jan 2021
Posts: 38,972
Own Kudos:
Posts: 38,972
Kudos: 1,117
Kudos
Add Kudos
Bookmarks
Bookmark this Post
Automated notice from GMAT Club BumpBot:

A member just gave Kudos to this thread, showing it’s still useful. I’ve bumped it to the top so more people can benefit. Feel free to add your own questions or solutions.

This post was generated automatically.
Moderators:
Math Expert
109814 posts
Tuck School Moderator
853 posts