Last visit was: 24 Apr 2026, 13:04 It is currently 24 Apr 2026, 13:04
Close
GMAT Club Daily Prep
Thank you for using the timer - this advanced tool can estimate your performance and suggest more practice questions. We have subscribed you to Daily Prep Questions via email.

Customized
for You

we will pick new questions that match your level based on your Timer History

Track
Your Progress

every week, we’ll send you an estimated GMAT score based on your performance

Practice
Pays

we will pick new questions that match your level based on your Timer History
Not interested in getting valuable practice questions and articles delivered to your email? No problem, unsubscribe here.
Close
Request Expert Reply
Confirm Cancel
User avatar
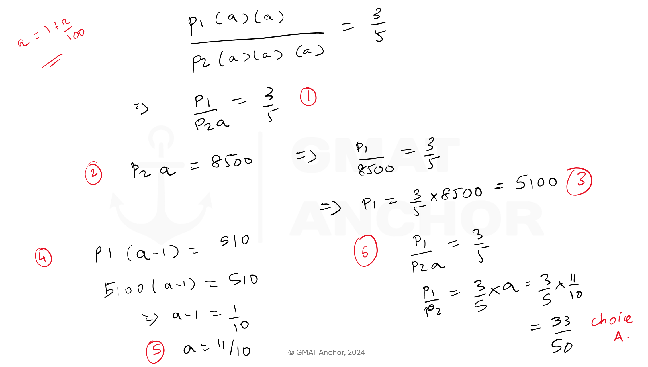
Bunuel
User avatar
Math Expert
Joined: 02 Sep 2009
Last visit: 24 Apr 2026
Posts: 109,820
Own Kudos:
811,060
 [6]
Given Kudos: 105,873
Products:
Expert
Expert reply
Active GMAT Club Expert! Tag them with @ followed by their username for a faster response.
Posts: 109,820
Kudos: 811,060
 [6]
Kudos
Add Kudos
6
Bookmarks
Bookmark this Post
User avatar
ShaikhMoice
Joined: 25 Jan 2021
Last visit: 25 Aug 2022
Posts: 94
Own Kudos:
41
 [1]
Given Kudos: 475
Posts: 94
Kudos: 41
 [1]
1
Kudos
Add Kudos
Bookmarks
Bookmark this Post
User avatar
HarshavardhanR
Joined: 16 Mar 2023
Last visit: 24 Apr 2026
Posts: 489
Own Kudos:
Given Kudos: 67
Status:Independent GMAT Tutor
Affiliations: Ex - Director, Subject Matter Expertise at e-GMAT
Products:
Expert
Expert reply
Active GMAT Club Expert! Tag them with @ followed by their username for a faster response.
Posts: 489
Kudos: 576
Kudos
Add Kudos
Bookmarks
Bookmark this Post
Moderators:
Math Expert
109820 posts
Tuck School Moderator
853 posts