Last visit was: 22 Apr 2026, 19:12 It is currently 22 Apr 2026, 19:12
Close
GMAT Club Daily Prep
Thank you for using the timer - this advanced tool can estimate your performance and suggest more practice questions. We have subscribed you to Daily Prep Questions via email.

Customized
for You

we will pick new questions that match your level based on your Timer History

Track
Your Progress

every week, we’ll send you an estimated GMAT score based on your performance

Practice
Pays

we will pick new questions that match your level based on your Timer History
Not interested in getting valuable practice questions and articles delivered to your email? No problem, unsubscribe here.
Close
Request Expert Reply
Confirm Cancel
User avatar
Bunuel
User avatar
Math Expert
Joined: 02 Sep 2009
Last visit: 22 Apr 2026
Posts: 109,754
Own Kudos:
Given Kudos: 105,823
Products:
Expert
Expert reply
Active GMAT Club Expert! Tag them with @ followed by their username for a faster response.
Posts: 109,754
Kudos: 810,672
 [29]
2
Kudos
Add Kudos
27
Bookmarks
Bookmark this Post
Most Helpful Reply
User avatar
Bunuel
User avatar
Math Expert
Joined: 02 Sep 2009
Last visit: 22 Apr 2026
Posts: 109,754
Own Kudos:
810,672
 [9]
Given Kudos: 105,823
Products:
Expert
Expert reply
Active GMAT Club Expert! Tag them with @ followed by their username for a faster response.
Posts: 109,754
Kudos: 810,672
 [9]
4
Kudos
Add Kudos
5
Bookmarks
Bookmark this Post
General Discussion
User avatar
Nidzo
Joined: 26 Nov 2019
Last visit: 02 Aug 2025
Posts: 958
Own Kudos:
1,477
 [8]
Given Kudos: 59
Location: South Africa
Posts: 958
Kudos: 1,477
 [8]
5
Kudos
Add Kudos
3
Bookmarks
Bookmark this Post
User avatar
BrushMyQuant
Joined: 05 Apr 2011
Last visit: 03 Apr 2026
Posts: 2,286
Own Kudos:
2,678
 [1]
Given Kudos: 100
Status:Tutor - BrushMyQuant
Location: India
Concentration: Finance, Marketing
Schools: XLRI (A)
GMAT 1: 700 Q51 V31
GPA: 3
WE:Information Technology (Computer Software)
Expert
Expert reply
Schools: XLRI (A)
GMAT 1: 700 Q51 V31
Posts: 2,286
Kudos: 2,678
 [1]
1
Kudos
Add Kudos
Bookmarks
Bookmark this Post
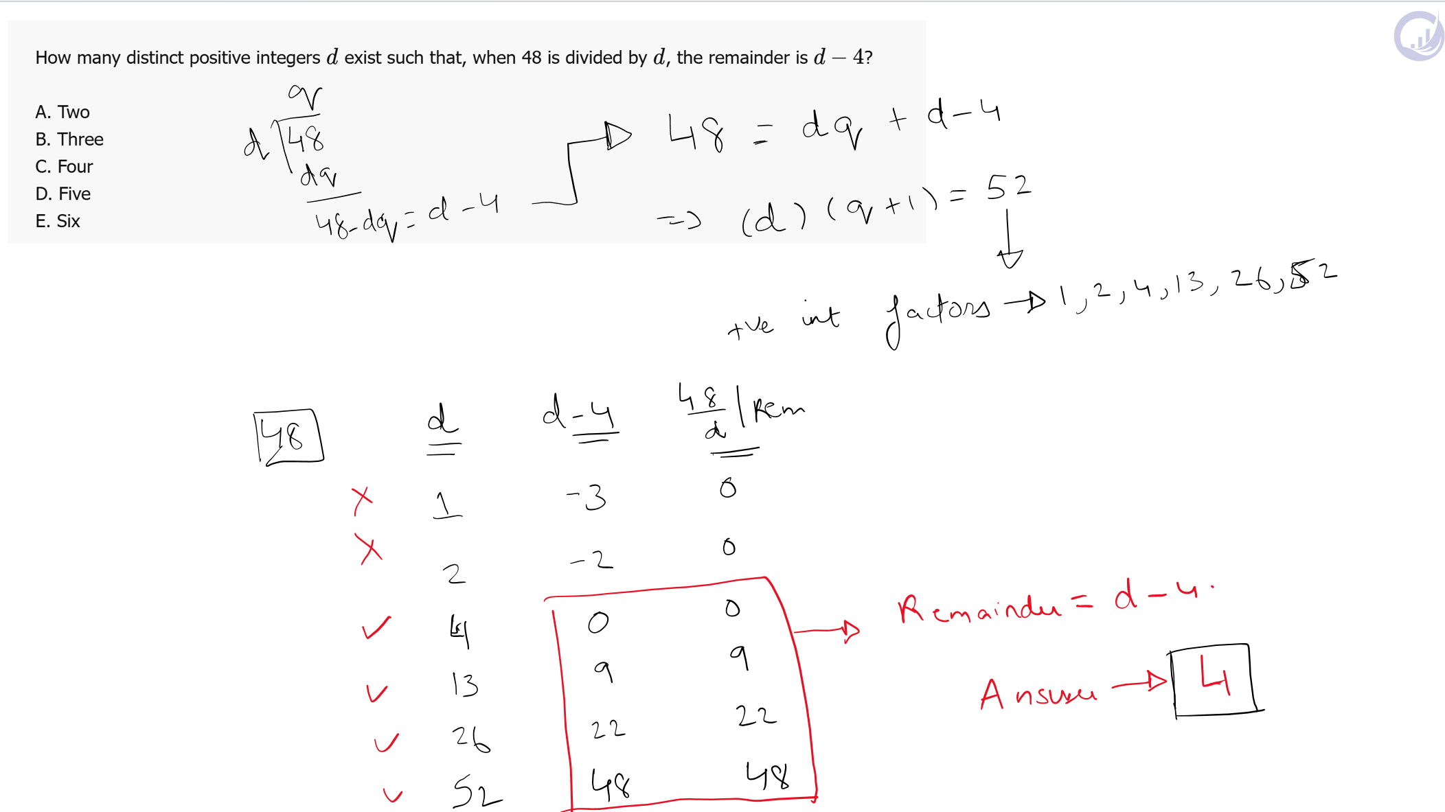
We need to find How many different positive integers d are there such that 48 divided by d yields a remainder of d - 4?

48 divided by d yields a remainder of d - 4

Theory: Dividend = Divisor*Quotient + Remainder

48 -> Dividend
d -> Divisor
a -> Quotient (Assume)
d - 4 -> Remainder

=> 48 = d*a + d - 4
=> 48 + 4 = d*(a+1)
=> d = \(\frac{52}{a + 1}\)

For d to be integer 52 should be divisible by a + 1

Factors of 52 are 1, 2, 4, 13, 26, 52
=> a can be 0, 1, 3, 12, 25, 51
=> d = 52, 26, 13, 4, 2, 1

Since remainder is always ≥ 0 => d - 4 ≥ 0
=> d ≥ 4

So, Possible values are 4, 13, 26, 52

So, Answer will be C
Hope it helps!

Watch the following video to learn the Basics of Remainders

User avatar
LouisThvnl
Joined: 24 Nov 2024
Last visit: 28 Nov 2024
Posts: 1
Given Kudos: 6
Posts: 1
Kudos: 0
Kudos
Add Kudos
Bookmarks
Bookmark this Post
I saw the different logics to solve this problem, but I all find them quite complex when you can do it more easily. My way of finding Answer C was :

48/d =d - 4 => 48 d^2 -4d => 12 = d^2 - d

So only answer C was possible
User avatar
MartyMurray
Joined: 11 Aug 2023
Last visit: 22 Apr 2026
Posts: 1,842
Own Kudos:
7,086
 [2]
Given Kudos: 211
GMAT 1: 800 Q51 V51
Expert
Expert reply
Active GMAT Club Expert! Tag them with @ followed by their username for a faster response.
GMAT 1: 800 Q51 V51
Posts: 1,842
Kudos: 7,086
 [2]
2
Kudos
Add Kudos
Bookmarks
Bookmark this Post
How many distinct positive integers \(d\) exist such that, when 48 is divided by \(d\), the remainder is \(d - 4\)?

Since the remainder when 48 is divided by d is d - 4, we can see the following:

48 = kd + d - 4

52 = kd + d

Thus, 52 is a multiple of d.

So, d must be a factor of 52 such that, when 48 is divided by that factor of 52, the remainder is d - 4.

The factors of 52 are the following:

1
2
4
13
26
52

When 48 is divided by 52, the remainder is 48 = 52 - 4.

When 48 is divided by 26, the remainder is 22 = 26 - 4.

When 48 is divided by 13, the remainder is 9 = 13 - 4

When 48 is divided by 4, the remainder is 0 = 4 - 4

Since 2 and 1 less than 4, 2 and 1 are too small to be values of d such that the remainder is d - 4 since a remainder cannot be negative.

A. Two
B. Three
C. Four
D. Five
E. Six


Correct answer: C
User avatar
HarshavardhanR
Joined: 16 Mar 2023
Last visit: 22 Apr 2026
Posts: 488
Own Kudos:
Given Kudos: 67
Status:Independent GMAT Tutor
Affiliations: Ex - Director, Subject Matter Expertise at e-GMAT
Products:
Expert
Expert reply
Active GMAT Club Expert! Tag them with @ followed by their username for a faster response.
Posts: 488
Kudos: 574
Kudos
Add Kudos
Bookmarks
Bookmark this Post


---
Harsha
Attachment:
GMAT-Club-Forum-b1zvhxrm.png
GMAT-Club-Forum-b1zvhxrm.png [ 204.95 KiB | Viewed 165 times ]
User avatar
Adit_
Joined: 04 Jun 2024
Last visit: 22 Apr 2026
Posts: 680
Own Kudos:
Given Kudos: 115
Posts: 680
Kudos: 220
Kudos
Add Kudos
Bookmarks
Bookmark this Post
This is a tricky counting exercise and as many have already given the solution, one needs to be careful of not missing out 52 which is a number greater than 48 and 4.
Both these numbers intuitively shouldn't be possible but it just so works because with 4 you get remainder 4-4=0 and with 52, the remainder is the numerator itself.

Are there more such similar questions I can practise from?

Bunuel
How many distinct positive integers \(d\) exist such that, when 48 is divided by \(d\), the remainder is \(d - 4\)?

A. Two
B. Three
C. Four
D. Five
E. Six

M40-07

Experience GMAT Club Test Questions
Yes, you've landed on a GMAT Club Tests question
Craving more? Unlock our full suite of GMAT Club Tests here
Want to experience more? Get a taste of our tests with our free trial today
Rise to the challenge with GMAT Club Tests. Happy practicing!
User avatar
pappal
Joined: 24 Nov 2022
Last visit: 22 Apr 2026
Posts: 314
Own Kudos:
Given Kudos: 94
Products:
Posts: 314
Kudos: 109
Kudos
Add Kudos
Bookmarks
Bookmark this Post
simply 48=d*k+(d-4) where k=0,1,2,.....
d(k+1)=52 OR d=52/(k+1)-------------i
now putting values of k we can find values of d which satisfy it to be a positive integer and distinct and remainder is 4 less than d, when 48 is divided by d
k=0 d=52 for certain 48%52=48 which is 4 less than 52 satisfies (here % sign denotes just value remainder)
k=1 d=26 and 48%26=22 satisfies
k=3 d=13 and 48%13=9 satisfies
k=12 d=4 and 48%4=0 satisfies
k=25 d=2 but the remainder 48%2=0 not satisfies
k=51 d=1 but 48%1=48 not satisfies
hence 4 values
Moderators:
Math Expert
109754 posts
Tuck School Moderator
853 posts