Last visit was: 24 Apr 2026, 12:38 It is currently 24 Apr 2026, 12:38
Close
GMAT Club Daily Prep
Thank you for using the timer - this advanced tool can estimate your performance and suggest more practice questions. We have subscribed you to Daily Prep Questions via email.

Customized
for You

we will pick new questions that match your level based on your Timer History

Track
Your Progress

every week, we’ll send you an estimated GMAT score based on your performance

Practice
Pays

we will pick new questions that match your level based on your Timer History
Not interested in getting valuable practice questions and articles delivered to your email? No problem, unsubscribe here.
Close
Request Expert Reply
Confirm Cancel
User avatar
cyrwr1
Joined: 18 Jan 2011
Last visit: 24 Apr 2026
Posts: 61
Own Kudos:
Given Kudos: 102
Posts: 61
Kudos: 29
Kudos
Add Kudos
Bookmarks
Bookmark this Post
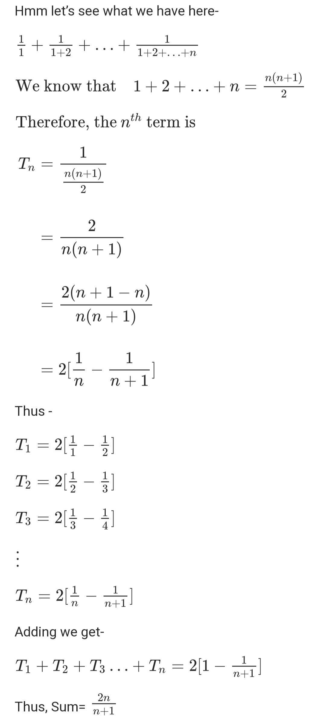
User avatar
yashikaaggarwal
User avatar
Senior Moderator - Masters Forum
Joined: 19 Jan 2020
Last visit: 29 Mar 2026
Posts: 3,089
Own Kudos:
3,158
 [2]
Given Kudos: 1,510
Location: India
GPA: 4
WE:Analyst (Internet and New Media)
Posts: 3,089
Kudos: 3,158
 [2]
1
Kudos
Add Kudos
1
Bookmarks
Bookmark this Post
User avatar
bumpbot
User avatar
Non-Human User
Joined: 09 Sep 2013
Last visit: 04 Jan 2021
Posts: 38,976
Own Kudos:
Posts: 38,976
Kudos: 1,117
Kudos
Add Kudos
Bookmarks
Bookmark this Post
Moderators:
Math Expert
109820 posts
Tuck School Moderator
853 posts