Last visit was: 25 Apr 2026, 14:19 It is currently 25 Apr 2026, 14:19
Close
GMAT Club Daily Prep
Thank you for using the timer - this advanced tool can estimate your performance and suggest more practice questions. We have subscribed you to Daily Prep Questions via email.

Customized
for You

we will pick new questions that match your level based on your Timer History

Track
Your Progress

every week, we’ll send you an estimated GMAT score based on your performance

Practice
Pays

we will pick new questions that match your level based on your Timer History
Not interested in getting valuable practice questions and articles delivered to your email? No problem, unsubscribe here.
Close
Request Expert Reply
Confirm Cancel
User avatar
Bunuel
User avatar
Math Expert
Joined: 02 Sep 2009
Last visit: 25 Apr 2026
Posts: 109,831
Own Kudos:
Given Kudos: 105,886
Products:
Expert
Expert reply
Active GMAT Club Expert! Tag them with @ followed by their username for a faster response.
Posts: 109,831
Kudos: 811,268
 [10]
1
Kudos
Add Kudos
9
Bookmarks
Bookmark this Post
User avatar
$!vakumar.m
Joined: 06 Dec 2021
Last visit: 25 Aug 2025
Posts: 487
Own Kudos:
644
 [2]
Given Kudos: 737
Location: India
Concentration: Technology, International Business
GPA: 4
WE:Human Resources (Telecommunications)
Posts: 487
Kudos: 644
 [2]
2
Kudos
Add Kudos
Bookmarks
Bookmark this Post
User avatar
BrushMyQuant
Joined: 05 Apr 2011
Last visit: 03 Apr 2026
Posts: 2,286
Own Kudos:
2,681
 [1]
Given Kudos: 100
Status:Tutor - BrushMyQuant
Location: India
Concentration: Finance, Marketing
Schools: XLRI (A)
GMAT 1: 700 Q51 V31
GPA: 3
WE:Information Technology (Computer Software)
Expert
Expert reply
Schools: XLRI (A)
GMAT 1: 700 Q51 V31
Posts: 2,286
Kudos: 2,681
 [1]
1
Kudos
Add Kudos
Bookmarks
Bookmark this Post
User avatar
Iashish.sharma
Joined: 29 Aug 2023
Last visit: 02 Sep 2025
Posts: 12
Own Kudos:
2
 [1]
Given Kudos: 100
Concentration: Leadership, Marketing
GMAT Focus 1: 455 Q72 V74 DI72
GMAT Focus 1: 455 Q72 V74 DI72
Posts: 12
Kudos: 2
 [1]
Kudos
Add Kudos
1
Bookmarks
Bookmark this Post
Posted from my mobile device
Attachments

IMG_0934.jpeg
IMG_0934.jpeg [ 83.82 KiB | Viewed 1713 times ]

User avatar
SanchitSanjay
Joined: 16 Feb 2025
Last visit: 31 Dec 2025
Posts: 43
Own Kudos:
Given Kudos: 136
Location: India
Concentration: Finance, Other
GPA: 3.2
WE:Analyst (Finance: Private Equity)
Kudos
Add Kudos
Bookmarks
Bookmark this Post
Hi,

Could someone please help me explain: why aren’t we using the property a^m.n = a^m.a^n?
And while solving the question, how did we get (-2^x)^2 as (2^2x)

$!vakumar.m
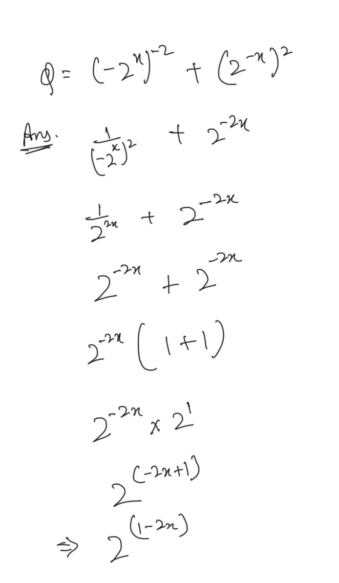
\((−2^x)\)^(−2) + (2^(−x))^2 = ?
=>\(\frac{ 1}{{(-2)^x}^2 }+ [\frac{1}{{2^x}}]^2\)
=>\( \frac{1}{{2^(2x)}} + \frac{1}{{2^(2x)}}\)
=> \(\frac{2}{{2^(2x)}}\)
=> 2^(1−2x)

Answer C
User avatar
Krunaal
User avatar
Tuck School Moderator
Joined: 15 Feb 2021
Last visit: 25 Apr 2026
Posts: 852
Own Kudos:
912
 [1]
Given Kudos: 251
Status:Under the Square and Compass
Location: India
GMAT Focus 1: 755 Q90 V90 DI82
GPA: 5.78
WE:Marketing (Consulting)
Products:
GMAT Focus 1: 755 Q90 V90 DI82
Posts: 852
Kudos: 912
 [1]
1
Kudos
Add Kudos
Bookmarks
Bookmark this Post
SanchitSanjay
Hi,

Could someone please help me explain: why aren’t we using the property a^m.n = a^m.a^n?
And while solving the question, how did we get (-2^x)^2 as (2^2x)
For the first part of your question, you can use that property if that helps you get to the answer efficiently. I'm not sure how it would.

Below is the answer to the second part of your question:

\((-2^x)^2\) = \((-1*2^x)^2\) = \((-1)^2 * (2^x)^2\) = \(2^{2x}\)
Moderators:
Math Expert
109831 posts
Tuck School Moderator
852 posts