Last visit was: 22 Apr 2026, 16:51 It is currently 22 Apr 2026, 16:51
Close
GMAT Club Daily Prep
Thank you for using the timer - this advanced tool can estimate your performance and suggest more practice questions. We have subscribed you to Daily Prep Questions via email.

Customized
for You

we will pick new questions that match your level based on your Timer History

Track
Your Progress

every week, we’ll send you an estimated GMAT score based on your performance

Practice
Pays

we will pick new questions that match your level based on your Timer History
Not interested in getting valuable practice questions and articles delivered to your email? No problem, unsubscribe here.
Close
Request Expert Reply
Confirm Cancel
User avatar
Bunuel
User avatar
Math Expert
Joined: 02 Sep 2009
Last visit: 22 Apr 2026
Posts: 109,754
Own Kudos:
Given Kudos: 105,823
Products:
Expert
Expert reply
Active GMAT Club Expert! Tag them with @ followed by their username for a faster response.
Posts: 109,754
Kudos: 810,668
 [10]
Kudos
Add Kudos
10
Bookmarks
Bookmark this Post
Most Helpful Reply
User avatar
gmatophobia
User avatar
Quant Chat Moderator
Joined: 22 Dec 2016
Last visit: 19 Apr 2026
Posts: 3,173
Own Kudos:
11,450
 [5]
Given Kudos: 1,862
Location: India
Concentration: Strategy, Leadership
Posts: 3,173
Kudos: 11,450
 [5]
4
Kudos
Add Kudos
1
Bookmarks
Bookmark this Post
General Discussion
User avatar
Regor60
Joined: 21 Nov 2021
Last visit: 19 Apr 2026
Posts: 529
Own Kudos:
420
 [3]
Given Kudos: 462
Posts: 529
Kudos: 420
 [3]
3
Kudos
Add Kudos
Bookmarks
Bookmark this Post
User avatar
Adidas1424
Joined: 20 May 2021
Last visit: 08 Sep 2025
Posts: 5
Given Kudos: 302
Posts: 5
Kudos: 0
Kudos
Add Kudos
Bookmarks
Bookmark this Post
Regor60
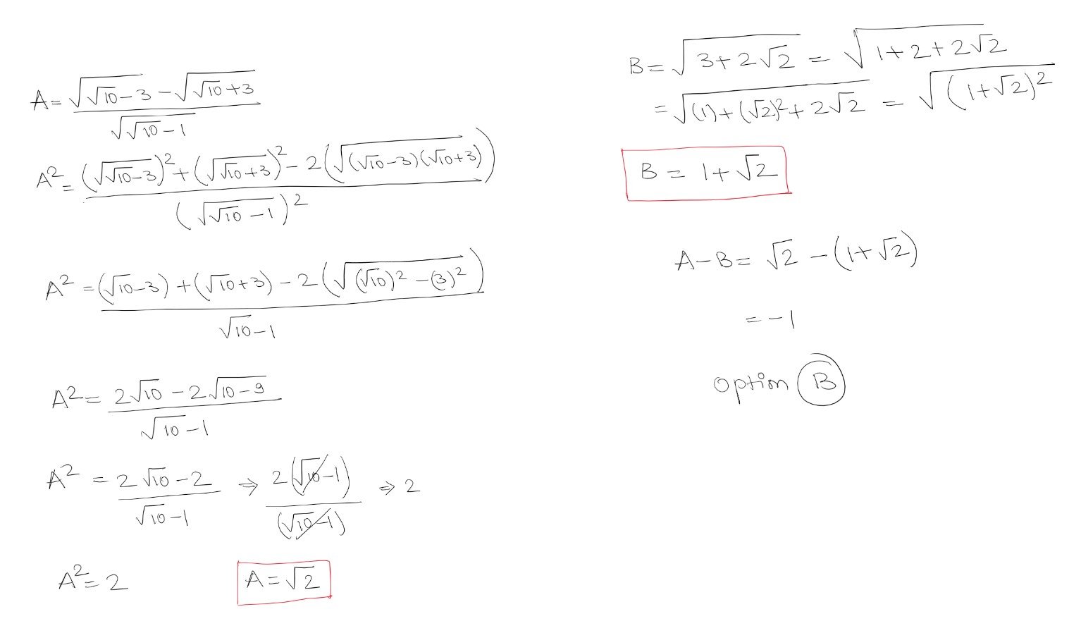
It's probably quicker to estimate rather than perform the necessary algebra to determine the exact answer.


A: √10 is 3.x, so the numerator is ~√6-0. The denominator is ~√2, so

A = ~√3 or ~1.7

B: Since √2=~1.4,

B = ~√6 = √2*√3 = 1.4*1.7
=2.4

So A-B =~-.7 = ~-1
User avatar
Regor60
Joined: 21 Nov 2021
Last visit: 19 Apr 2026
Posts: 529
Own Kudos:
420
 [2]
Given Kudos: 462
Posts: 529
Kudos: 420
 [2]
2
Kudos
Add Kudos
Bookmarks
Bookmark this Post
Adidas1424
I might be missing something, but should the numerator of A be 0 - √6?


The right side under the larger root is √10-3.

Since √10 is a little larger than 3, the right side is approximately:

√(~3-3) = √0

And the left side, since it ADDS 3 to the √10 is therefore approximately √6

To be clear this estimation works only because the answer choices are far apart, since we're reducing the right side to 0 where the actual result is close to .4
Moderators:
Math Expert
109754 posts
Tuck School Moderator
853 posts