Last visit was: 23 Apr 2026, 18:12 It is currently 23 Apr 2026, 18:12
Close
GMAT Club Daily Prep
Thank you for using the timer - this advanced tool can estimate your performance and suggest more practice questions. We have subscribed you to Daily Prep Questions via email.

Customized
for You

we will pick new questions that match your level based on your Timer History

Track
Your Progress

every week, we’ll send you an estimated GMAT score based on your performance

Practice
Pays

we will pick new questions that match your level based on your Timer History
Not interested in getting valuable practice questions and articles delivered to your email? No problem, unsubscribe here.
Close
Request Expert Reply
Confirm Cancel
User avatar
yrozenblum
Joined: 29 Mar 2020
Last visit: 20 Feb 2025
Posts: 27
Own Kudos:
2,074
 [102]
Given Kudos: 25
Posts: 27
Kudos: 2,074
 [102]
6
Kudos
Add Kudos
96
Bookmarks
Bookmark this Post
Most Helpful Reply
User avatar
gmatophobia
User avatar
Quant Chat Moderator
Joined: 22 Dec 2016
Last visit: 19 Apr 2026
Posts: 3,173
Own Kudos:
11,457
 [25]
Given Kudos: 1,862
Location: India
Concentration: Strategy, Leadership
Posts: 3,173
Kudos: 11,457
 [25]
12
Kudos
Add Kudos
13
Bookmarks
Bookmark this Post
User avatar
KarishmaB
Joined: 16 Oct 2010
Last visit: 23 Apr 2026
Posts: 16,441
Own Kudos:
79,397
 [10]
Given Kudos: 484
Location: Pune, India
Expert
Expert reply
Active GMAT Club Expert! Tag them with @ followed by their username for a faster response.
Posts: 16,441
Kudos: 79,397
 [10]
6
Kudos
Add Kudos
4
Bookmarks
Bookmark this Post
General Discussion
User avatar
Focus7
Joined: 24 Mar 2023
Last visit: 16 Jun 2025
Posts: 15
Own Kudos:
Given Kudos: 8
Posts: 15
Kudos: 7
Kudos
Add Kudos
Bookmarks
Bookmark this Post
Can someone solve this ?

I was getting 2700 with c and around 2200 with b so decided to go with b

Posted from my mobile device
User avatar
jackg0101
Joined: 15 Nov 2023
Last visit: 03 Jan 2024
Posts: 4
Own Kudos:
208
 [3]
Given Kudos: 8
Posts: 4
Kudos: 208
 [3]
3
Kudos
Add Kudos
Bookmarks
Bookmark this Post
Quick question. You jump from 2146/29 being 74. Is there an easy technique to use to do this? Or have you gone through the process of actually working it out? Thank you!
User avatar
gmatophobia
User avatar
Quant Chat Moderator
Joined: 22 Dec 2016
Last visit: 19 Apr 2026
Posts: 3,173
Own Kudos:
11,457
 [5]
Given Kudos: 1,862
Location: India
Concentration: Strategy, Leadership
Posts: 3,173
Kudos: 11,457
 [5]
4
Kudos
Add Kudos
Bookmarks
Bookmark this Post
jackg0101
Quick question. You jump from 2146/29 being 74. Is there an easy technique to use to do this? Or have you gone through the process of actually working it out? Thank you!

Hey jackg0101

I solved it. We can use the long division approach, or we can use observation and approximation to choose a number. I used the latter one -

\(\frac{2146}{29} \approx \frac{2100}{30} \approx 70\)

So, the quotient will be in the range of 70's

Next, observe that 2146 ends with a 6 and 29 ends with a 9. As 4 * 9 = 36, I would multiply 74 and 29 to see if the resultant value is 2146.

\(74(30 - 1) = 2220 - 74 = 7146\)
User avatar
jackg0101
Joined: 15 Nov 2023
Last visit: 03 Jan 2024
Posts: 4
Own Kudos:
Given Kudos: 8
Posts: 4
Kudos: 208
Kudos
Add Kudos
Bookmarks
Bookmark this Post
Ok great, thank you!
User avatar
Jake7Wimmer
Joined: 25 Apr 2023
Last visit: 24 Jan 2025
Posts: 24
Own Kudos:
47
 [1]
Given Kudos: 8
GMAT Focus 1: 625 Q79 V83 DI81
GMAT 1: 650 Q48 V32
GMAT 2: 650 Q47 V32
GMAT Focus 1: 625 Q79 V83 DI81
GMAT 2: 650 Q47 V32
Posts: 24
Kudos: 47
 [1]
1
Kudos
Add Kudos
Bookmarks
Bookmark this Post
The way I read this was that it traveled 2146cm only by adding up the vertical distance traveled.... So I was sitting here and nothing was adding up. Not sure how I am supposed to know it's talking about the distance going up and down when it literally says "traveled a total of 2146 centimeters vertically...."

Anyone else think this?
User avatar
Bunuel
User avatar
Math Expert
Joined: 02 Sep 2009
Last visit: 23 Apr 2026
Posts: 109,785
Own Kudos:
810,872
 [1]
Given Kudos: 105,853
Products:
Expert
Expert reply
Active GMAT Club Expert! Tag them with @ followed by their username for a faster response.
Posts: 109,785
Kudos: 810,872
 [1]
1
Kudos
Add Kudos
Bookmarks
Bookmark this Post
Jake7Wimmer
When a certain rubber ball is dropped, it rebounds 75 percent as high as the distance it fell. What is the approximate height from which the ball was dropped, if it had traveled a total of 2,146 centimeters vertically by the time it struck the ground for the third time?

A. 400 cm
B. 500 cm
C. 600 cm
D. 700 cm
E. 800 cm

The way I read this was that it traveled 2146cm only by adding up the vertical distance traveled.... So I was sitting here and nothing was adding up. Not sure how I am supposed to know it's talking about the distance going up and down when it literally says "traveled a total of 2146 centimeters vertically...."

Anyone else think this?
­
Traveled vertically does not necessarily imply movement only in an upward direction. The term encompasses both upward and downward movements, as dropping down is also a vertical movement.
User avatar
Kinshook
User avatar
Major Poster
Joined: 03 Jun 2019
Last visit: 23 Apr 2026
Posts: 5,986
Own Kudos:
Given Kudos: 163
Location: India
GMAT 1: 690 Q50 V34
WE:Engineering (Transportation)
Products:
GMAT 1: 690 Q50 V34
Posts: 5,986
Kudos: 5,858
Kudos
Add Kudos
Bookmarks
Bookmark this Post
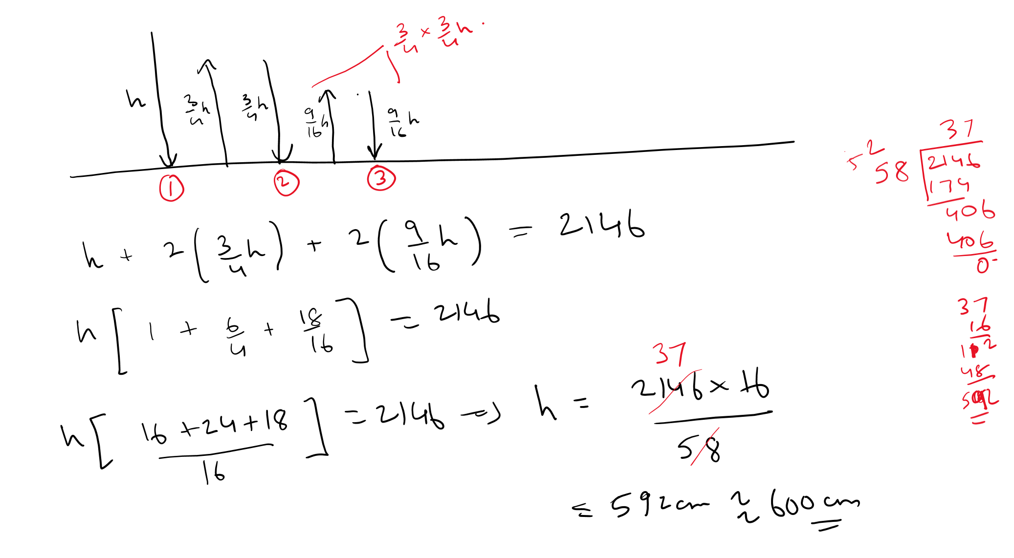
yrozenblum
Given: When a certain rubber ball is dropped, it rebounds 75 percent as high as the distance it fell.
Asked: What is the approximate height from which the ball was dropped, if it had traveled a total of 2,146 centimeters vertically by the time it struck the ground for the third time?

Let the approximate height from which the ball was dropped be h centimeters.

Distance traveled  vertically by the time it struck the ground for the first  time = h
Distance traveled  vertically by the time it struck the ground for the second  time = h + .75h + .75h
Distance traveled  vertically by the time it struck the ground for the third  time = h + .75h + .75h + (.75)^2h + (.75)^2h

h + .75h + .75h + (.75)^2h + (.75)^2h =  h + 2*(3/4)h + 2*(3/4)^2h = 29h/8 = 2146
h = 2146*8/29 = 592 cm = 600 cm

IMO C­
User avatar
HarshavardhanR
Joined: 16 Mar 2023
Last visit: 23 Apr 2026
Posts: 488
Own Kudos:
576
 [6]
Given Kudos: 67
Status:Independent GMAT Tutor
Affiliations: Ex - Director, Subject Matter Expertise at e-GMAT
Products:
Expert
Expert reply
Active GMAT Club Expert! Tag them with @ followed by their username for a faster response.
Posts: 488
Kudos: 576
 [6]
4
Kudos
Add Kudos
2
Bookmarks
Bookmark this Post


Harsha
Attachment:
GMAT-Club-Forum-jv8k410f.png
GMAT-Club-Forum-jv8k410f.png [ 201.76 KiB | Viewed 7981 times ]
User avatar
Pr4n
Joined: 23 May 2025
Last visit: 05 Feb 2026
Posts: 92
Own Kudos:
Given Kudos: 43
GMAT Focus 1: 645 Q83 V82 DI80
GMAT Focus 2: 665 Q84 V85 DI80
GMAT Focus 2: 665 Q84 V85 DI80
Posts: 92
Kudos: 11
Kudos
Add Kudos
Bookmarks
Bookmark this Post
Quick and dirty maths can help you out in case you don't want to go to the calculation route.

Even if you don't change to fractions, 3.625 (h) = 2148,

Approximate 2100/3600 = 7/12 which is 0.58, you reduced the numerator more than the denominator hence the actual value would be bigger than 0.58 and as when you removed the decimal point from the denominator you had 1000 in the numerator, which means ans is >580, hence 600
Moderators:
Math Expert
109785 posts
Tuck School Moderator
853 posts