Last visit was: 24 Apr 2026, 17:52 It is currently 24 Apr 2026, 17:52
Close
GMAT Club Daily Prep
Thank you for using the timer - this advanced tool can estimate your performance and suggest more practice questions. We have subscribed you to Daily Prep Questions via email.

Customized
for You

we will pick new questions that match your level based on your Timer History

Track
Your Progress

every week, we’ll send you an estimated GMAT score based on your performance

Practice
Pays

we will pick new questions that match your level based on your Timer History
Not interested in getting valuable practice questions and articles delivered to your email? No problem, unsubscribe here.
Close
Request Expert Reply
Confirm Cancel
User avatar
Bunuel
User avatar
Math Expert
Joined: 02 Sep 2009
Last visit: 24 Apr 2026
Posts: 109,818
Own Kudos:
Given Kudos: 105,873
Products:
Expert
Expert reply
Active GMAT Club Expert! Tag them with @ followed by their username for a faster response.
Posts: 109,818
Kudos: 811,081
 [10]
Kudos
Add Kudos
10
Bookmarks
Bookmark this Post
Most Helpful Reply
User avatar
VivekSri
Joined: 01 May 2022
Last visit: 05 Feb 2026
Posts: 468
Own Kudos:
772
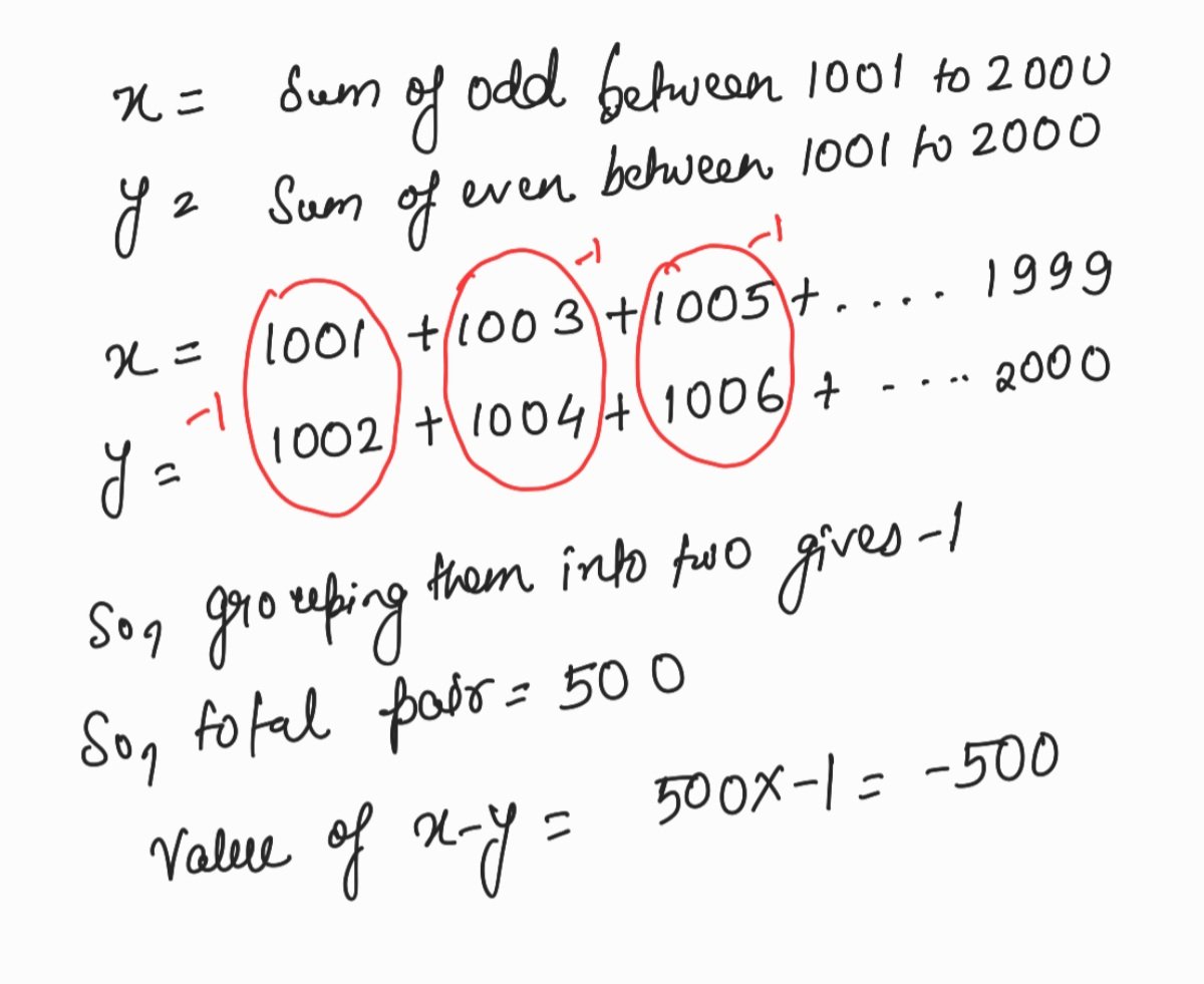
 [5]
Given Kudos: 117
Location: India
WE:Engineering (Consulting)
Posts: 468
Kudos: 772
 [5]
4
Kudos
Add Kudos
1
Bookmarks
Bookmark this Post
General Discussion
User avatar
Archit3110
User avatar
Major Poster
Joined: 18 Aug 2017
Last visit: 24 Apr 2026
Posts: 8,629
Own Kudos:
5,190
 [4]
Given Kudos: 243
Status:You learn more from failure than from success.
Location: India
Concentration: Sustainability, Marketing
GMAT Focus 1: 545 Q79 V79 DI73
GMAT Focus 2: 645 Q83 V82 DI81
GPA: 4
WE:Marketing (Energy)
Products:
GMAT Focus 2: 645 Q83 V82 DI81
Posts: 8,629
Kudos: 5,190
 [4]
2
Kudos
Add Kudos
1
Bookmarks
Bookmark this Post
User avatar
DivVan
Joined: 05 Jan 2021
Last visit: 29 May 2025
Posts: 1
Given Kudos: 64
Posts: 1
Kudos: 0
Kudos
Add Kudos
Bookmarks
Bookmark this Post
Add odd numbers 1-10 and even numbers 1-10 to get x = 25 and y = 30
x-y=-5
The only one among the options with -5s is B.
User avatar
bhargavhhhhhhhh
Joined: 06 Jan 2025
Last visit: 30 Dec 2025
Posts: 346
Own Kudos:
Given Kudos: 144
Location: United States (NY)
Concentration: Entrepreneurship, Leadership
GPA: 9
WE:Advertising (Computer Hardware)
Posts: 346
Kudos: 147
Kudos
Add Kudos
Bookmarks
Bookmark this Post
sum of consecutive even numbers
n * ( n+2)/4
and for odd ( n+1)^2 /4
find sum from 0 -2000 of both odd & even
later subtract sum of both odd & even from 1001 and 2000
we get -500
option B
Moderators:
Math Expert
109818 posts
Tuck School Moderator
853 posts