Last visit was: 23 Apr 2026, 12:49 It is currently 23 Apr 2026, 12:49
Close
GMAT Club Daily Prep
Thank you for using the timer - this advanced tool can estimate your performance and suggest more practice questions. We have subscribed you to Daily Prep Questions via email.

Customized
for You

we will pick new questions that match your level based on your Timer History

Track
Your Progress

every week, we’ll send you an estimated GMAT score based on your performance

Practice
Pays

we will pick new questions that match your level based on your Timer History
Not interested in getting valuable practice questions and articles delivered to your email? No problem, unsubscribe here.
Close
Request Expert Reply
Confirm Cancel
User avatar
gmathero911
Joined: 19 Mar 2023
Last visit: 27 Apr 2024
Posts: 15
Own Kudos:
280
 [10]
Posts: 15
Kudos: 280
 [10]
Kudos
Add Kudos
10
Bookmarks
Bookmark this Post
User avatar
gmatophobia
User avatar
Quant Chat Moderator
Joined: 22 Dec 2016
Last visit: 19 Apr 2026
Posts: 3,173
Own Kudos:
11,457
 [1]
Given Kudos: 1,862
Location: India
Concentration: Strategy, Leadership
Posts: 3,173
Kudos: 11,457
 [1]
1
Kudos
Add Kudos
Bookmarks
Bookmark this Post
User avatar
HarshaBujji
Joined: 29 Jun 2020
Last visit: 23 Apr 2026
Posts: 723
Own Kudos:
Given Kudos: 247
Location: India
Products:
Posts: 723
Kudos: 906
Kudos
Add Kudos
Bookmarks
Bookmark this Post
User avatar
Kinshook
User avatar
Major Poster
Joined: 03 Jun 2019
Last visit: 23 Apr 2026
Posts: 5,986
Own Kudos:
Given Kudos: 163
Location: India
GMAT 1: 690 Q50 V34
WE:Engineering (Transportation)
Products:
GMAT 1: 690 Q50 V34
Posts: 5,986
Kudos: 5,858
Kudos
Add Kudos
Bookmarks
Bookmark this Post
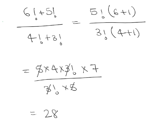
@iishim\(\frac{­6! + 5!)}{4! + 3!}­ = \frac{5! (6+1) }{ 3! (4 + 1)} = \frac{5*4*7}{5} = 28 \)

IMO B
User avatar
bumpbot
User avatar
Non-Human User
Joined: 09 Sep 2013
Last visit: 04 Jan 2021
Posts: 38,964
Own Kudos:
Posts: 38,964
Kudos: 1,117
Kudos
Add Kudos
Bookmarks
Bookmark this Post
Automated notice from GMAT Club BumpBot:

A member just gave Kudos to this thread, showing it’s still useful. I’ve bumped it to the top so more people can benefit. Feel free to add your own questions or solutions.

This post was generated automatically.
Moderators:
Math Expert
109785 posts
Tuck School Moderator
853 posts