Last visit was: 22 Apr 2026, 23:00 It is currently 22 Apr 2026, 23:00
Close
GMAT Club Daily Prep
Thank you for using the timer - this advanced tool can estimate your performance and suggest more practice questions. We have subscribed you to Daily Prep Questions via email.

Customized
for You

we will pick new questions that match your level based on your Timer History

Track
Your Progress

every week, we’ll send you an estimated GMAT score based on your performance

Practice
Pays

we will pick new questions that match your level based on your Timer History
Not interested in getting valuable practice questions and articles delivered to your email? No problem, unsubscribe here.
Close
Request Expert Reply
Confirm Cancel
User avatar
Bunuel
User avatar
Math Expert
Joined: 02 Sep 2009
Last visit: 22 Apr 2026
Posts: 109,763
Own Kudos:
Given Kudos: 105,850
Products:
Expert
Expert reply
Active GMAT Club Expert! Tag them with @ followed by their username for a faster response.
Posts: 109,763
Kudos: 810,698
 [19]
1
Kudos
Add Kudos
18
Bookmarks
Bookmark this Post
User avatar
Hoehenheim
Joined: 06 Mar 2024
Last visit: 20 Mar 2025
Posts: 98
Own Kudos:
52
 [2]
Given Kudos: 116
Posts: 98
Kudos: 52
 [2]
Kudos
Add Kudos
2
Bookmarks
Bookmark this Post
User avatar
sarthak1701
Joined: 11 Sep 2024
Last visit: 14 Apr 2026
Posts: 108
Own Kudos:
65
 [1]
Given Kudos: 18
GMAT Focus 1: 575 Q77 V81 DI78
GMAT Focus 1: 575 Q77 V81 DI78
Posts: 108
Kudos: 65
 [1]
1
Kudos
Add Kudos
Bookmarks
Bookmark this Post
User avatar
Hoehenheim
Joined: 06 Mar 2024
Last visit: 20 Mar 2025
Posts: 98
Own Kudos:
52
 [1]
Given Kudos: 116
Posts: 98
Kudos: 52
 [1]
Kudos
Add Kudos
Bookmarks
Bookmark this Post
sarthak1701
Hoehenheim
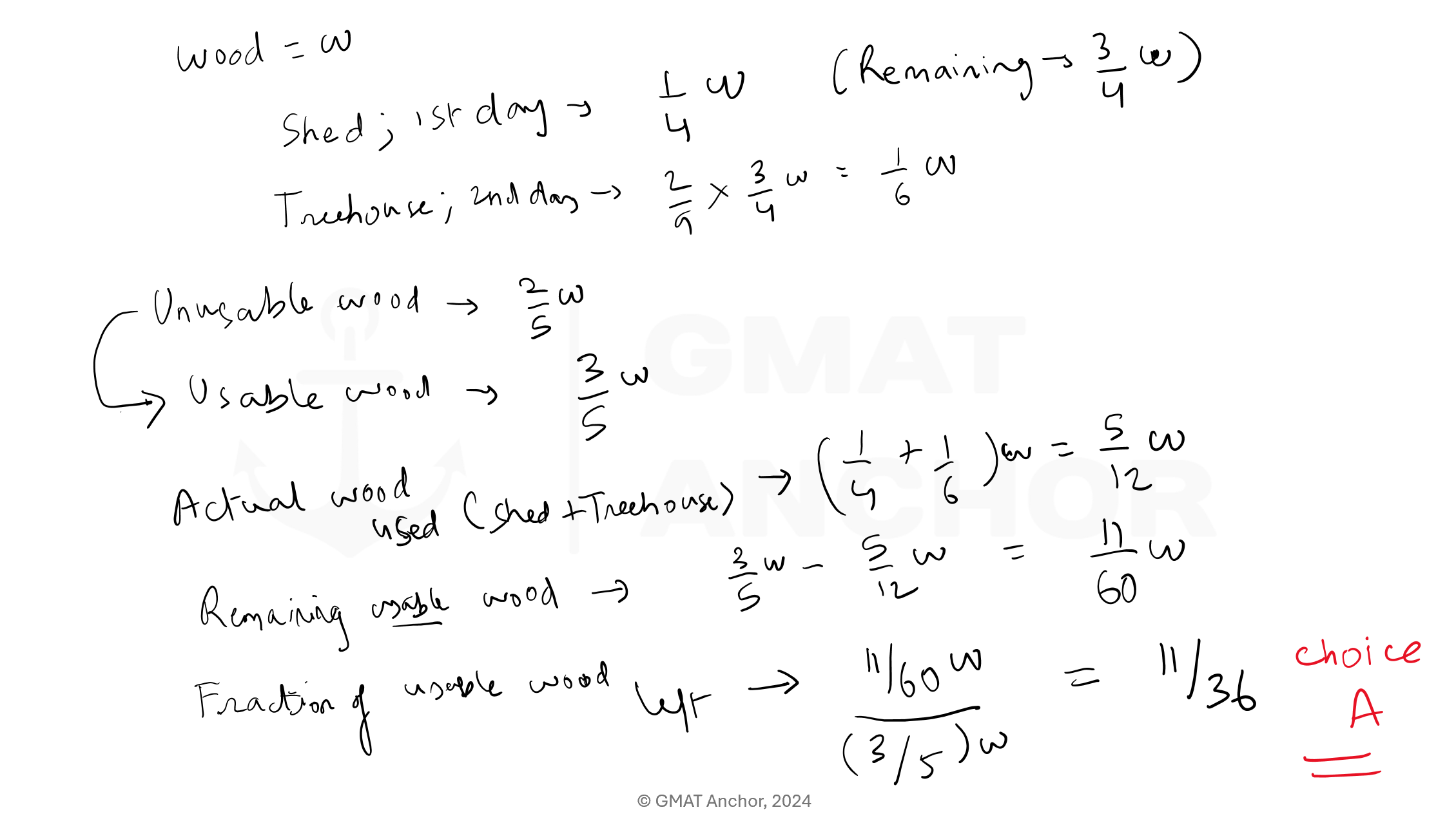
let the amount of wood be 'w'

amount of wood consumed on first and second day is (1/4)w + 2/9*(3/4)w = (1/4)w + (1/6)w = (5/12)w
it is mentioned that (2/5)w is useless. which means usable wood is (3/5)w

question asks for: what fraction of usable wood remains, i.e-> x / (3/5)w = ? Where x is the remaining usable wood

To find x: we must subtract used usable wood and unused wood from total wood to give remaining usable wood., i.e

x = w - (5/12)w - (2/5)w = (11/60)w

Finally, fraction of usable wood left = 11/60 * 5/3 = 11/36
Solved many times and got 11/60 and got other wrong answers (changing the logic of the question) and then I finally read that it asks for the FRACTION of the usable wood. I keep making such mistakes in Quant, any suggestions? Thanks.
Sarthak, keep practicing HQ questions. Whenever you do make mistakes, evaluate. Then go through your evaluation again. Mostly, mistakes can be conceptual (where you need to go back to source material and clear things up), calculative (you messed up your working and need to be more alert), and the third but the most underrated yet a silent killer is language, as is the one you ended up facing in this particular circumstance. Know what the question asks of you.
This question right now has a 20% correct rate, which would've easily fallen down much more if it was an OG question and 11/60 was an option.

Anyway, tally your mistakes in the above proposed categories over a week of practicing quant. Find out where you're lacking. If it is 1, go hit theory books. If it is 2 or 3, do what I said in line 1 then repeat.

Not being from a quant background, more so, not even taking math post 10th grade, I struggled to get Q15-16/21 up until a month ago. But now I can confidently get Q20/21. Just follow the above religiously. Best of luck.
User avatar
sarthak1701
Joined: 11 Sep 2024
Last visit: 14 Apr 2026
Posts: 108
Own Kudos:
Given Kudos: 18
GMAT Focus 1: 575 Q77 V81 DI78
GMAT Focus 1: 575 Q77 V81 DI78
Posts: 108
Kudos: 65
Kudos
Add Kudos
Bookmarks
Bookmark this Post
Thanks Damian for the detailed reply! It’s definitely the language and silly mistakes. On my most recent mock I got 9 incorrect in Quant, analysing it, I could’ve easily got 7 of those correct but got them wrong due to silly mistakes/language and time pressure. Quant is what preventing me from scoring over 645. Gonna practice religiously now. Thanks again!

Posted from my mobile device
User avatar
Hoehenheim
Joined: 06 Mar 2024
Last visit: 20 Mar 2025
Posts: 98
Own Kudos:
52
 [1]
Given Kudos: 116
Posts: 98
Kudos: 52
 [1]
Kudos
Add Kudos
Bookmarks
Bookmark this Post
sarthak1701
Thanks Damian for the detailed reply! It’s definitely the language and silly mistakes. On my most recent mock I got 9 incorrect in Quant, analysing it, I could’ve easily got 7 of those correct but got them wrong due to silly mistakes/language and time pressure. Quant is what preventing me from scoring over 645. Gonna practice religiously now. Thanks again!

Posted from my mobile device
Unfortunately my lumber skills are not on par with Damian :-P, but you're welcome nonetheless.
User avatar
sarthak1701
Joined: 11 Sep 2024
Last visit: 14 Apr 2026
Posts: 108
Own Kudos:
Given Kudos: 18
GMAT Focus 1: 575 Q77 V81 DI78
GMAT Focus 1: 575 Q77 V81 DI78
Posts: 108
Kudos: 65
Kudos
Add Kudos
Bookmarks
Bookmark this Post
I wood say you can definitely get there!

Posted from my mobile device
User avatar
zlishz
Joined: 29 Nov 2023
Last visit: 21 Jun 2025
Posts: 53
Own Kudos:
Given Kudos: 39
Location: India
GPA: 3.55
Posts: 53
Kudos: 61
Kudos
Add Kudos
Bookmarks
Bookmark this Post
Bunuel
­Damian needs 1/4 of the wood in the shed on the first day and 2/9 of the remaining wood on the second day to make a tree-house in his backyard. Given that 2/5 of the wood in the shed is unusable due to fungal damage what fraction of useable wood is left once he has completed the tree-house?

A. 11/36
B. 1/3
C. 13/36
D. 7/18
E. 17/37
chetan2u Bunuel

Please tell me where am I going wrong.

Total wood is 1.
(2/5) is unusable so (3/5) is useable for building the tree house.
Now, on Day 1, he needs (1/4)th of the wood, so
(1/4)*(3/5) = (3/20)
Remaining useable wood =(3/5)-(3/20) = (45/100)

On day 2, he needs (2/9)of the remaining wood, so, we have,
(2/9)* (45/100) = (1/10)
Reaming useable wood = (45/100)-(1/10)= (35/100)

We have been asked what fraction of the useable wood is left once the house is built
(35/100) is left out of (3/5) of useable wood
which is equal to (35/100) * (5/3) = (7/12)
User avatar
sarthak1701
Joined: 11 Sep 2024
Last visit: 14 Apr 2026
Posts: 108
Own Kudos:
Given Kudos: 18
GMAT Focus 1: 575 Q77 V81 DI78
GMAT Focus 1: 575 Q77 V81 DI78
Posts: 108
Kudos: 65
Kudos
Add Kudos
Bookmarks
Bookmark this Post
Hoehenheim
sarthak1701
Thanks Damian for the detailed reply! It’s definitely the language and silly mistakes. On my most recent mock I got 9 incorrect in Quant, analysing it, I could’ve easily got 7 of those correct but got them wrong due to silly mistakes/language and time pressure. Quant is what preventing me from scoring over 645. Gonna practice religiously now. Thanks again!

Posted from my mobile device
Unfortunately my lumber skills are not on par with Damian :-P, but you're welcome nonetheless.
Damn, just realized you are not Damian! Lol! See this is what I mean. Anyway, thanks!
User avatar
HarshavardhanR
Joined: 16 Mar 2023
Last visit: 22 Apr 2026
Posts: 488
Own Kudos:
575
 [3]
Given Kudos: 67
Status:Independent GMAT Tutor
Affiliations: Ex - Director, Subject Matter Expertise at e-GMAT
Products:
Expert
Expert reply
Active GMAT Club Expert! Tag them with @ followed by their username for a faster response.
Posts: 488
Kudos: 575
 [3]
3
Kudos
Add Kudos
Bookmarks
Bookmark this Post


Harsha
Attachment:
GMAT-Club-Forum-jsrehf2l.png
GMAT-Club-Forum-jsrehf2l.png [ 243.73 KiB | Viewed 1854 times ]
User avatar
shivampaul
Joined: 27 Mar 2024
Last visit: 03 Feb 2026
Posts: 20
Own Kudos:
Given Kudos: 24
GMAT Focus 1: 685 Q86 V82 DI84
Products:
GMAT Focus 1: 685 Q86 V82 DI84
Posts: 20
Kudos: 2
Kudos
Add Kudos
Bookmarks
Bookmark this Post
I've solved the same way. Waiting on a reply from someone who can explain the issue in this approach.
zlishz

chetan2u Bunuel

Please tell me where am I going wrong.

Total wood is 1.
(2/5) is unusable so (3/5) is useable for building the tree house.
Now, on Day 1, he needs (1/4)th of the wood, so
(1/4)*(3/5) = (3/20)
Remaining useable wood =(3/5)-(3/20) = (45/100)

On day 2, he needs (2/9)of the remaining wood, so, we have,
(2/9)* (45/100) = (1/10)
Reaming useable wood = (45/100)-(1/10)= (35/100)

We have been asked what fraction of the useable wood is left once the house is built
(35/100) is left out of (3/5) of useable wood
which is equal to (35/100) * (5/3) = (7/12)
User avatar
Bunuel
User avatar
Math Expert
Joined: 02 Sep 2009
Last visit: 22 Apr 2026
Posts: 109,763
Own Kudos:
810,698
 [1]
Given Kudos: 105,850
Products:
Expert
Expert reply
Active GMAT Club Expert! Tag them with @ followed by their username for a faster response.
Posts: 109,763
Kudos: 810,698
 [1]
1
Kudos
Add Kudos
Bookmarks
Bookmark this Post
shivampaul
I've solved the same way. Waiting on a reply from someone who can explain the issue in this approach.

That setup mistake is treating 1/4 and 2/9 as fractions of the usable pile. They are fractions of the total pile, and “remaining wood” on day 2 also means total remaining pile. All usage comes out of the usable stock.

­Damian needs 1/4 of the wood in the shed on the first day and 2/9 of the remaining wood on the second day to make a tree-house in his backyard. Given that 2/5 of the wood in the shed is unusable due to fungal damage what fraction of useable wood is left once he has completed the tree-house?

A. 11/36
B. 1/3
C. 13/36
D. 7/18
E. 17/37

Pick a smart total: 180 units.

Unusable at start: 2/5 of 180 = 72
Usable at start: 180 - 72 = 108

Day 1 uses 1/4 of total: 1/4 of 180 = 45
Usable left: 108 - 45 = 63
Total left: 180 - 45 = 135

Day 2 uses 2/9 of remaining total: 2/9 of 135 = 30
Usable left: 63 - 30 = 33

Fraction of usable wood left = 33/108 = 11/36

Answer: A.
User avatar
ravi1522
Joined: 05 Jan 2023
Last visit: 22 Apr 2026
Posts: 172
Own Kudos:
Given Kudos: 5
Location: India
Concentration: General Management, General Management
GMAT Focus 1: 595 Q80 V83 DI76
GMAT 1: 530 Q38 V24
GPA: 7.2
WE:Design (Real Estate)
Products:
GMAT Focus 1: 595 Q80 V83 DI76
GMAT 1: 530 Q38 V24
Posts: 172
Kudos: 113
Kudos
Add Kudos
Bookmarks
Bookmark this Post
Hello
lets assume total woods as 180 (LCM of 4,9,5)
wood required on 1st day =1/4 *180=45
wood required on 2nd day =2/9 *(180-45)=30
Useable wood =3/5 *180=108
Fraction of usable wood left = (108-75)/108 = 11/36

Hence option A is correct
Moderators:
Math Expert
109763 posts
Tuck School Moderator
853 posts