Last visit was: 24 Apr 2026, 12:59 It is currently 24 Apr 2026, 12:59
Close
GMAT Club Daily Prep
Thank you for using the timer - this advanced tool can estimate your performance and suggest more practice questions. We have subscribed you to Daily Prep Questions via email.

Customized
for You

we will pick new questions that match your level based on your Timer History

Track
Your Progress

every week, we’ll send you an estimated GMAT score based on your performance

Practice
Pays

we will pick new questions that match your level based on your Timer History
Not interested in getting valuable practice questions and articles delivered to your email? No problem, unsubscribe here.
Close
Request Expert Reply
Confirm Cancel
User avatar
kevincan
User avatar
GMAT Instructor
Joined: 04 Jul 2006
Last visit: 24 Apr 2026
Posts: 1,615
Own Kudos:
2,068
 [5]
Given Kudos: 162
GRE 1: Q170 V170
Expert
Expert reply
Active GMAT Club Expert! Tag them with @ followed by their username for a faster response.
GRE 1: Q170 V170
Posts: 1,615
Kudos: 2,068
 [5]
1
Kudos
Add Kudos
4
Bookmarks
Bookmark this Post
User avatar
Dereno
Joined: 22 May 2020
Last visit: 24 Apr 2026
Posts: 1,398
Own Kudos:
1,374
 [1]
Given Kudos: 425
Products:
Posts: 1,398
Kudos: 1,374
 [1]
Kudos
Add Kudos
1
Bookmarks
Bookmark this Post
User avatar
crimson_noise
Joined: 14 May 2024
Last visit: 23 Apr 2026
Posts: 57
Own Kudos:
Given Kudos: 14
GMAT Focus 1: 615 Q80 V85 DI77
GMAT Focus 1: 615 Q80 V85 DI77
Posts: 57
Kudos: 21
Kudos
Add Kudos
Bookmarks
Bookmark this Post
User avatar
somya9
Joined: 23 Nov 2025
Last visit: 13 Apr 2026
Posts: 11
Own Kudos:
Given Kudos: 55
Posts: 11
Kudos: 1
Kudos
Add Kudos
Bookmarks
Bookmark this Post
cannot comprehend the question , can someone please explain
User avatar
kevincan
User avatar
GMAT Instructor
Joined: 04 Jul 2006
Last visit: 24 Apr 2026
Posts: 1,615
Own Kudos:
Given Kudos: 162
GRE 1: Q170 V170
Expert
Expert reply
Active GMAT Club Expert! Tag them with @ followed by their username for a faster response.
GRE 1: Q170 V170
Posts: 1,615
Kudos: 2,068
Kudos
Add Kudos
Bookmarks
Bookmark this Post
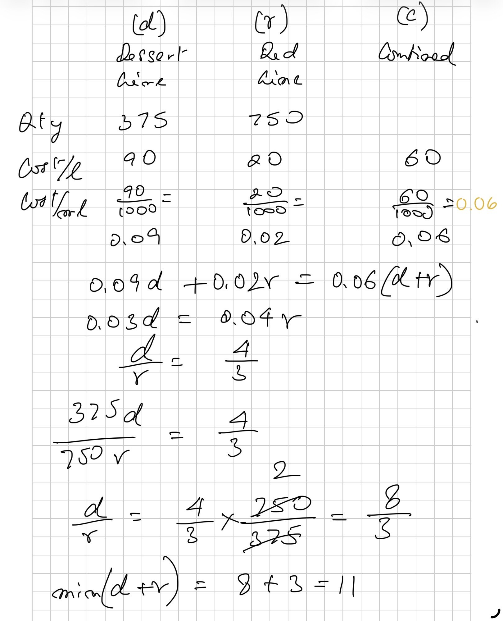
Josefina purchased bottles of dessert wine and table wine. Dessert wine costs $90 per liter and is sold in 0.375-liter bottles, while table wine costs $20 per liter and is sold in 0.75-liter bottles. If the average cost per liter of the wine Josefina purchased was $60, what is the smallest number of bottles she could have purchased?
Moderators:
Math Expert
109820 posts
Tuck School Moderator
853 posts