Last visit was: 25 Apr 2026, 10:50 It is currently 25 Apr 2026, 10:50
Close
GMAT Club Daily Prep
Thank you for using the timer - this advanced tool can estimate your performance and suggest more practice questions. We have subscribed you to Daily Prep Questions via email.

Customized
for You

we will pick new questions that match your level based on your Timer History

Track
Your Progress

every week, we’ll send you an estimated GMAT score based on your performance

Practice
Pays

we will pick new questions that match your level based on your Timer History
Not interested in getting valuable practice questions and articles delivered to your email? No problem, unsubscribe here.
Close
Request Expert Reply
Confirm Cancel
User avatar
mikemcgarry
User avatar
Magoosh GMAT Instructor
Joined: 28 Dec 2011
Last visit: 06 Aug 2018
Posts: 4,474
Own Kudos:
30,885
 [3]
Given Kudos: 130
Expert
Expert reply
Posts: 4,474
Kudos: 30,885
 [3]
Kudos
Add Kudos
3
Bookmarks
Bookmark this Post
avatar
Anamika2014
Joined: 18 Aug 2014
Last visit: 09 Oct 2014
Posts: 6
Own Kudos:
77
 [4]
Given Kudos: 17
Location: India
Concentration: General Management, Finance
GMAT Date: 10-08-2014
GPA: 3.23
WE:Analyst (Retail Banking)
Posts: 6
Kudos: 77
 [4]
4
Kudos
Add Kudos
Bookmarks
Bookmark this Post
avatar
seabhi
Joined: 22 Aug 2013
Last visit: 11 Nov 2015
Posts: 61
Own Kudos:
Given Kudos: 60
Schools: ISB '15
Schools: ISB '15
Posts: 61
Kudos: 184
Kudos
Add Kudos
Bookmarks
Bookmark this Post
User avatar
mikemcgarry
User avatar
Magoosh GMAT Instructor
Joined: 28 Dec 2011
Last visit: 06 Aug 2018
Posts: 4,474
Own Kudos:
Given Kudos: 130
Expert
Expert reply
Posts: 4,474
Kudos: 30,885
Kudos
Add Kudos
Bookmarks
Bookmark this Post
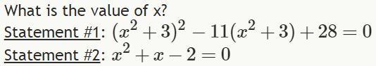
seabhi
Can't find the options.
Dear seabhi,
I'm happy to respond. :-) Both my problem and Anamika2014's good solution use GMAT Club's system for writing math formulas. I believe they are converted to some kind of picture file. Many math problems on this site have formulas written the same way, so I think it would be worthwhile to check the settings on your computer and figure out why you are unable to view them.

In the meantime, I took a picture of the question as it shows up on my screen. Here it is:
Attachment:
DS Statements, algebra.JPG
DS Statements, algebra.JPG [ 18.35 KiB | Viewed 4959 times ]
I don't know whether you will be able to see that. That is what you should see in my post at the top as well, and if you don't, there's some kind of problem. It may be that it is simply taking the images time to load, and you have to wait a bit for them. It may be that your browser is not supporting this image format. If your connection speed is slow, that might create a problem. If you are viewing this post at work, some companies have software that blocks images. There are many things that might contributed to this problem. I would suggest looking at GMAT Club outside of work, on the newest possible computer connected at to a high speed internet, if all that is possible.

Let me know if you can't see the picture in this post either. You might also try to see the problem here:
https://magoosh.com/gmat/2013/simplifyin ... -the-gmat/

Mike :-)
User avatar
bumpbot
User avatar
Non-Human User
Joined: 09 Sep 2013
Last visit: 04 Jan 2021
Posts: 38,985
Own Kudos:
Posts: 38,985
Kudos: 1,117
Kudos
Add Kudos
Bookmarks
Bookmark this Post
Automated notice from GMAT Club BumpBot:

A member just gave Kudos to this thread, showing it’s still useful. I’ve bumped it to the top so more people can benefit. Feel free to add your own questions or solutions.

This post was generated automatically.
Moderators:
Math Expert
109828 posts
498 posts
212 posts