Last visit was: 26 Apr 2026, 04:05 It is currently 26 Apr 2026, 04:05
Close
GMAT Club Daily Prep
Thank you for using the timer - this advanced tool can estimate your performance and suggest more practice questions. We have subscribed you to Daily Prep Questions via email.

Customized
for You

we will pick new questions that match your level based on your Timer History

Track
Your Progress

every week, we’ll send you an estimated GMAT score based on your performance

Practice
Pays

we will pick new questions that match your level based on your Timer History
Not interested in getting valuable practice questions and articles delivered to your email? No problem, unsubscribe here.
Close
Request Expert Reply
Confirm Cancel
User avatar
niteshwaghray
Joined: 14 Sep 2015
Last visit: 11 May 2018
Posts: 59
Own Kudos:
469
 [3]
Given Kudos: 19
Location: India
GMAT 1: 700 Q45 V40
GPA: 3.41
1
Kudos
Add Kudos
2
Bookmarks
Bookmark this Post
User avatar
Bunuel
User avatar
Math Expert
Joined: 02 Sep 2009
Last visit: 26 Apr 2026
Posts: 109,832
Own Kudos:
811,328
 [1]
Given Kudos: 105,889
Products:
Expert
Expert reply
Active GMAT Club Expert! Tag them with @ followed by their username for a faster response.
Posts: 109,832
Kudos: 811,328
 [1]
Kudos
Add Kudos
1
Bookmarks
Bookmark this Post
User avatar
Kinshook
User avatar
Major Poster
Joined: 03 Jun 2019
Last visit: 25 Apr 2026
Posts: 5,986
Own Kudos:
Given Kudos: 163
Location: India
GMAT 1: 690 Q50 V34
WE:Engineering (Transportation)
Products:
GMAT 1: 690 Q50 V34
Posts: 5,986
Kudos: 5,860
Kudos
Add Kudos
Bookmarks
Bookmark this Post
User avatar
MBAHOUSE
User avatar
MBA House Admissions Consultant
Joined: 26 May 2022
Last visit: 23 Apr 2024
Posts: 337
Own Kudos:
Expert
Expert reply
Posts: 337
Kudos: 98
Kudos
Add Kudos
Bookmarks
Bookmark this Post
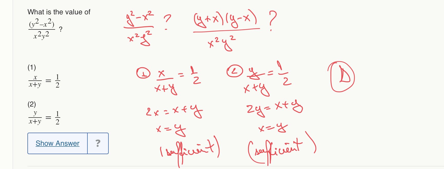
The theory involved is the difference of squares.
Attachments

C0D0D133-2689-4EC0-87AF-312D4CFFD93A.jpeg
C0D0D133-2689-4EC0-87AF-312D4CFFD93A.jpeg [ 275.43 KiB | Viewed 1452 times ]

Moderators:
Math Expert
109832 posts
498 posts
212 posts