Last visit was: 26 Apr 2026, 09:29 It is currently 26 Apr 2026, 09:29
Close
GMAT Club Daily Prep
Thank you for using the timer - this advanced tool can estimate your performance and suggest more practice questions. We have subscribed you to Daily Prep Questions via email.

Customized
for You

we will pick new questions that match your level based on your Timer History

Track
Your Progress

every week, we’ll send you an estimated GMAT score based on your performance

Practice
Pays

we will pick new questions that match your level based on your Timer History
Not interested in getting valuable practice questions and articles delivered to your email? No problem, unsubscribe here.
Close
Request Expert Reply
Confirm Cancel
User avatar
mangamma
Joined: 25 Dec 2018
Last visit: 12 Jul 2023
Posts: 505
Own Kudos:
1,875
 [8]
Given Kudos: 994
Location: India
Concentration: General Management, Finance
GMAT Date: 02-18-2019
GPA: 3.4
WE:Engineering (Consulting)
Posts: 505
Kudos: 1,875
 [8]
Kudos
Add Kudos
8
Bookmarks
Bookmark this Post
User avatar
DavidTutorexamPAL
User avatar
examPAL Representative
Joined: 07 Dec 2017
Last visit: 09 Sep 2020
Posts: 1,002
Own Kudos:
2,042
 [2]
Given Kudos: 26
Posts: 1,002
Kudos: 2,042
 [2]
1
Kudos
Add Kudos
1
Bookmarks
Bookmark this Post
User avatar
GMATRockstar
Joined: 21 Apr 2014
Last visit: 12 Nov 2025
Posts: 90
Own Kudos:
813
 [3]
Given Kudos: 3
Expert
Expert reply
Posts: 90
Kudos: 813
 [3]
3
Kudos
Add Kudos
Bookmarks
Bookmark this Post
avatar
Vaibhavrahul
Joined: 21 Feb 2020
Last visit: 21 Dec 2020
Posts: 4
Given Kudos: 25
Posts: 4
Kudos: 0
Kudos
Add Kudos
Bookmarks
Bookmark this Post
If X= 10 & Y= 9 , how it is possible??

Posted from my mobile device
avatar
Vaibhavrahul
Joined: 21 Feb 2020
Last visit: 21 Dec 2020
Posts: 4
Given Kudos: 25
Posts: 4
Kudos: 0
Kudos
Add Kudos
Bookmarks
Bookmark this Post
Answer will be A
Because the 2nd condition is not sufficient.The condition of X+Y >2Y will not hold always.Thus 2nd condition is not sufficient
User avatar
chetan2u
User avatar
GMAT Expert
Joined: 02 Aug 2009
Last visit: 26 Apr 2026
Posts: 11,229
Own Kudos:
Given Kudos: 335
Status:Math and DI Expert
Location: India
Concentration: Human Resources, General Management
GMAT Focus 1: 735 Q90 V89 DI81
Products:
Expert
Expert reply
GMAT Focus 1: 735 Q90 V89 DI81
Posts: 11,229
Kudos: 45,021
Kudos
Add Kudos
Bookmarks
Bookmark this Post
mangamma
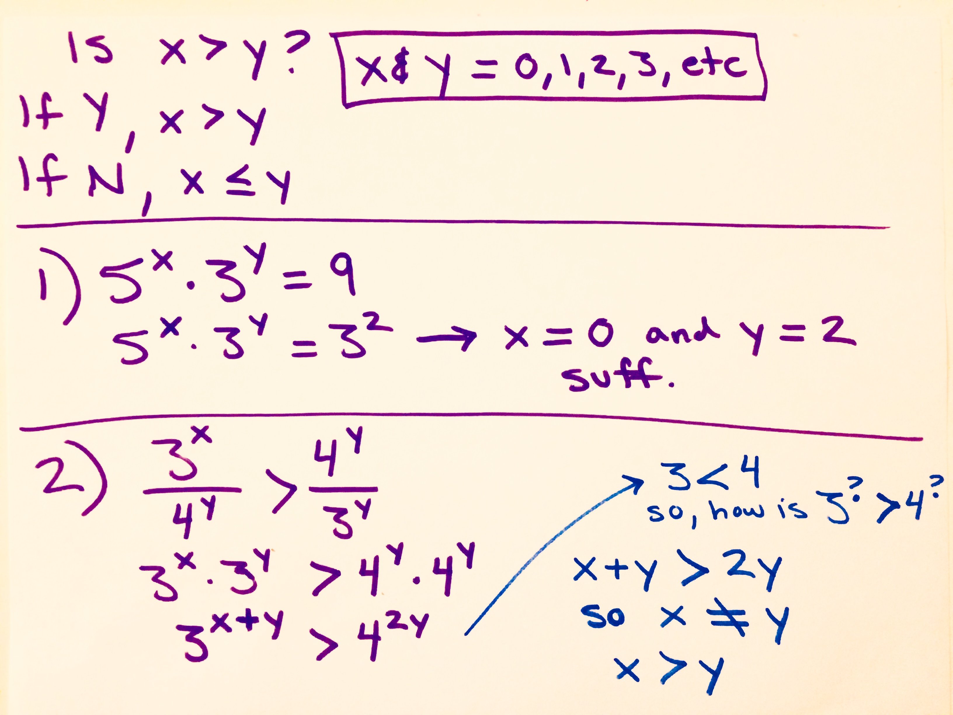
If x and y are non-negative integers, is x>y?


(1) \(5^x*3^y=9\)

(2) \(\frac{3^x}{4^y}>\frac{4^y}{3^y}\)

x and y are non-negative integers, so x and y are \(\geq{0}\)

(1) \(5^x*3^y=9\)
\(5^x*3^y=9=3^2\), so x=0 and y=2.....Is x>y? ---- NO

(2) \(\frac{3^x}{4^y}>\frac{4^y}{3^y}\)
Since all terms will be positive with whatever values of x and y....
\(3^x*3^y>4^y*4^y........3^{(x+y)}>4^{2y}\)......
Now \(4^{2y}\geq 3^{2y}\) .....Equal, when y=0 otherwise '>'
\(3^{(x+y)}>4^{2y}\geq 3^{2y}\)
\(3^{(x+y)}> 3^{2y}\)
Equating the powers
\(x+y>2y...x>y\)...YES

D, but both statements contradict.

This Question is Locked Due to Poor Quality
Hi there,
The question you've reached has been archived due to not meeting our community quality standards. No more replies are possible here.
Looking for better-quality questions? Check out the 'Similar Questions' block below for a list of similar but high-quality questions.
Want to join other relevant Problem Solving discussions? Visit our Data Sufficiency (DS) Forum for the most recent and top-quality discussions.
Thank you for understanding, and happy exploring!
Moderators:
Math Expert
109837 posts
498 posts
212 posts