Last visit was: 24 Apr 2026, 16:05 It is currently 24 Apr 2026, 16:05
Close
GMAT Club Daily Prep
Thank you for using the timer - this advanced tool can estimate your performance and suggest more practice questions. We have subscribed you to Daily Prep Questions via email.

Customized
for You

we will pick new questions that match your level based on your Timer History

Track
Your Progress

every week, we’ll send you an estimated GMAT score based on your performance

Practice
Pays

we will pick new questions that match your level based on your Timer History
Not interested in getting valuable practice questions and articles delivered to your email? No problem, unsubscribe here.
Close
Request Expert Reply
Confirm Cancel
User avatar
Bunuel
User avatar
Math Expert
Joined: 02 Sep 2009
Last visit: 24 Apr 2026
Posts: 109,818
Own Kudos:
811,077
 [4]
Given Kudos: 105,873
Products:
Expert
Expert reply
Active GMAT Club Expert! Tag them with @ followed by their username for a faster response.
Posts: 109,818
Kudos: 811,077
 [4]
Kudos
Add Kudos
4
Bookmarks
Bookmark this Post
avatar
reach2sangram
Joined: 05 Jul 2019
Last visit: 27 Nov 2023
Posts: 23
Own Kudos:
Given Kudos: 19
Location: India
Schools: ISB '21
Schools: ISB '21
Posts: 23
Kudos: 7
Kudos
Add Kudos
Bookmarks
Bookmark this Post
User avatar
Kinshook
User avatar
Major Poster
Joined: 03 Jun 2019
Last visit: 24 Apr 2026
Posts: 5,986
Own Kudos:
5,859
 [1]
Given Kudos: 163
Location: India
GMAT 1: 690 Q50 V34
WE:Engineering (Transportation)
Products:
GMAT 1: 690 Q50 V34
Posts: 5,986
Kudos: 5,859
 [1]
Kudos
Add Kudos
1
Bookmarks
Bookmark this Post
User avatar
unraveled
Joined: 07 Mar 2019
Last visit: 10 Apr 2025
Posts: 2,706
Own Kudos:
Given Kudos: 763
Location: India
WE:Sales (Energy)
Posts: 2,706
Kudos: 2,329
Kudos
Add Kudos
Bookmarks
Bookmark this Post
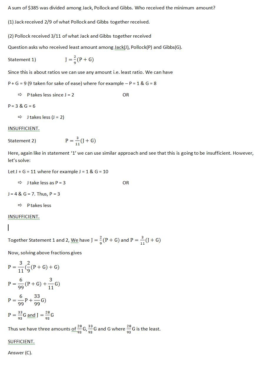
A sum of $385 was divided among Jack, Pollock and Gibbs. Who received the minimum amount?

(1) Jack received 2/9 of what Pollock and Gibbs together received.

(2) Pollock received 3/11 of what Jack and Gibbs together received

Question asks who received least amount among Jack(J), Pollock(P) and Gibbs(G).

Refer snapshot.
Attachments

File comment: Jack, Pollock & Gibbs
Jack, Pollock & Gibbs.JPG
Jack, Pollock & Gibbs.JPG [ 105.89 KiB | Viewed 3541 times ]

User avatar
TheNightKing
Joined: 18 Dec 2017
Last visit: 20 Mar 2024
Posts: 1,124
Own Kudos:
Given Kudos: 421
Location: United States (KS)
GMAT 1: 600 Q46 V27
GMAT 1: 600 Q46 V27
Posts: 1,124
Kudos: 1,381
Kudos
Add Kudos
Bookmarks
Bookmark this Post
Kinshook
Bunuel
A sum of $385 was divided among Jack, Pollock and Gibbs. Who received the minimum amount?

(1) Jack received 2/9 of what Pollock and Gibbs together received.

(2) Pollock received 3/11 of what Jack and Gibbs together received


Given: A sum of $385 was divided among Jack, Pollock and Gibbs.

Asked: Who received the minimum amount?

(1) Jack received 2/9 of what Pollock and Gibbs together received.
j = 2/9(p+g) = 2/11 (j+p+g) = 2/11 * 385 = $70
NOT SUFFICIENT

(2) Pollock received 3/11 of what Jack and Gibbs together received
p=3/11(j+g) = 3/14 *(j+p+g) = 3/14 * 385 = 3 * 55/2 = $82.5
NOT SUFFICIENT

Combining (1) & (2) together
(1) Jack received 2/9 of what Pollock and Gibbs together received.
j = 2/9(p+g) = 2/11 (j+p+g) = 2/11 * 385 = $70
(2) Pollock received 3/11 of what Jack and Gibbs together received
p=3/11(j+g) = 3/14 *(j+p+g) = 3/14 * 385 = 3 * 55/2 = $82.5
Gibbs received = 385 - 70 - 82.5 = $232.5
Jack received the minimum amount = $ 70
SUFFICIENT

IMO C

Hello Sir, Can you please explain me how did you arrive at this equation? j = 2/9(p+g) = 2/11 (j+p+g).
May be it is something simple but it's not clicking me.
User avatar
bumpbot
User avatar
Non-Human User
Joined: 09 Sep 2013
Last visit: 04 Jan 2021
Posts: 38,974
Own Kudos:
Posts: 38,974
Kudos: 1,117
Kudos
Add Kudos
Bookmarks
Bookmark this Post
Automated notice from GMAT Club BumpBot:

A member just gave Kudos to this thread, showing it’s still useful. I’ve bumped it to the top so more people can benefit. Feel free to add your own questions or solutions.

This post was generated automatically.
Moderators:
Math Expert
109818 posts
498 posts
212 posts