Last visit was: 24 Apr 2026, 20:42 It is currently 24 Apr 2026, 20:42
Close
GMAT Club Daily Prep
Thank you for using the timer - this advanced tool can estimate your performance and suggest more practice questions. We have subscribed you to Daily Prep Questions via email.

Customized
for You

we will pick new questions that match your level based on your Timer History

Track
Your Progress

every week, we’ll send you an estimated GMAT score based on your performance

Practice
Pays

we will pick new questions that match your level based on your Timer History
Not interested in getting valuable practice questions and articles delivered to your email? No problem, unsubscribe here.
Close
Request Expert Reply
Confirm Cancel
User avatar
Bunuel
User avatar
Math Expert
Joined: 02 Sep 2009
Last visit: 24 Apr 2026
Posts: 109,818
Own Kudos:
811,088
 [5]
Given Kudos: 105,873
Products:
Expert
Expert reply
Active GMAT Club Expert! Tag them with @ followed by their username for a faster response.
Posts: 109,818
Kudos: 811,088
 [5]
Kudos
Add Kudos
5
Bookmarks
Bookmark this Post
User avatar
BrushMyQuant
Joined: 05 Apr 2011
Last visit: 03 Apr 2026
Posts: 2,286
Own Kudos:
Given Kudos: 100
Status:Tutor - BrushMyQuant
Location: India
Concentration: Finance, Marketing
Schools: XLRI (A)
GMAT 1: 700 Q51 V31
GPA: 3
WE:Information Technology (Computer Software)
Expert
Expert reply
Schools: XLRI (A)
GMAT 1: 700 Q51 V31
Posts: 2,286
Kudos: 2,680
Kudos
Add Kudos
Bookmarks
Bookmark this Post
User avatar
dcn1102
Joined: 21 Jun 2021
Last visit: 30 Apr 2023
Posts: 15
Own Kudos:
Given Kudos: 6
Location: India
GMAT 1: 610 Q48 V28
GPA: 2.87
GMAT 1: 610 Q48 V28
Posts: 15
Kudos: 9
Kudos
Add Kudos
Bookmarks
Bookmark this Post
User avatar
HarshavardhanR
Joined: 16 Mar 2023
Last visit: 24 Apr 2026
Posts: 489
Own Kudos:
576
 [1]
Given Kudos: 67
Status:Independent GMAT Tutor
Affiliations: Ex - Director, Subject Matter Expertise at e-GMAT
Products:
Expert
Expert reply
Active GMAT Club Expert! Tag them with @ followed by their username for a faster response.
Posts: 489
Kudos: 576
 [1]
1
Kudos
Add Kudos
Bookmarks
Bookmark this Post


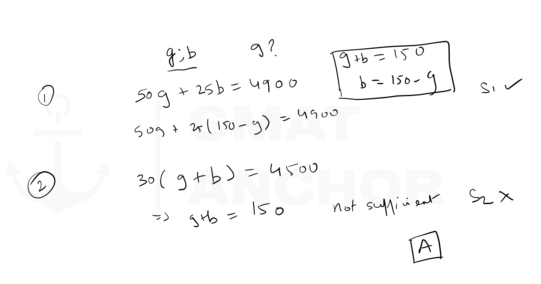
Harsha
Attachment:
GMAT-Club-Forum-oviwlzcz.png
GMAT-Club-Forum-oviwlzcz.png [ 119.86 KiB | Viewed 882 times ]
User avatar
bumpbot
User avatar
Non-Human User
Joined: 09 Sep 2013
Last visit: 04 Jan 2021
Posts: 38,976
Own Kudos:
Posts: 38,976
Kudos: 1,117
Kudos
Add Kudos
Bookmarks
Bookmark this Post
Automated notice from GMAT Club BumpBot:

A member just gave Kudos to this thread, showing it’s still useful. I’ve bumped it to the top so more people can benefit. Feel free to add your own questions or solutions.

This post was generated automatically.
Moderators:
Math Expert
109818 posts
498 posts
212 posts