Last visit was: 22 Apr 2026, 18:18 It is currently 22 Apr 2026, 18:18
Close
GMAT Club Daily Prep
Thank you for using the timer - this advanced tool can estimate your performance and suggest more practice questions. We have subscribed you to Daily Prep Questions via email.

Customized
for You

we will pick new questions that match your level based on your Timer History

Track
Your Progress

every week, we’ll send you an estimated GMAT score based on your performance

Practice
Pays

we will pick new questions that match your level based on your Timer History
Not interested in getting valuable practice questions and articles delivered to your email? No problem, unsubscribe here.
Close
Request Expert Reply
Confirm Cancel
User avatar
Bunuel
User avatar
Math Expert
Joined: 02 Sep 2009
Last visit: 22 Apr 2026
Posts: 109,754
Own Kudos:
Given Kudos: 105,823
Products:
Expert
Expert reply
Active GMAT Club Expert! Tag them with @ followed by their username for a faster response.
Posts: 109,754
Kudos: 810,671
 [11]
3
Kudos
Add Kudos
8
Bookmarks
Bookmark this Post
User avatar
Archit3110
User avatar
Major Poster
Joined: 18 Aug 2017
Last visit: 22 Apr 2026
Posts: 8,627
Own Kudos:
5,190
 [2]
Given Kudos: 243
Status:You learn more from failure than from success.
Location: India
Concentration: Sustainability, Marketing
GMAT Focus 1: 545 Q79 V79 DI73
GMAT Focus 2: 645 Q83 V82 DI81
GPA: 4
WE:Marketing (Energy)
Products:
GMAT Focus 2: 645 Q83 V82 DI81
Posts: 8,627
Kudos: 5,190
 [2]
2
Kudos
Add Kudos
Bookmarks
Bookmark this Post
User avatar
gmatophobia
User avatar
Quant Chat Moderator
Joined: 22 Dec 2016
Last visit: 19 Apr 2026
Posts: 3,173
Own Kudos:
11,450
 [1]
Given Kudos: 1,862
Location: India
Concentration: Strategy, Leadership
Posts: 3,173
Kudos: 11,450
 [1]
1
Kudos
Add Kudos
Bookmarks
Bookmark this Post
User avatar
Wai22
Joined: 03 May 2022
Last visit: 09 Feb 2023
Posts: 12
Own Kudos:
6
 [1]
Given Kudos: 56
Location: India
Schools: HEC Essec "25
GPA: 3.23
Schools: HEC Essec "25
Posts: 12
Kudos: 6
 [1]
1
Kudos
Add Kudos
Bookmarks
Bookmark this Post
gmatophobia
Bunuel
12 jurors must be picked from a pool of n potential jurors. It m of the potential jurors are rejected by the defense council and the prosecuting attorney, how many different possible juries could be picked from the remaining potential jurors?

Statement 1

If one less potential juror had been rejected, it would be possible to create 13 different juries

n-m+1 C 12 = 13

n - m + 1 = 13

n - m = 12

Hence we have 12 jurors left and we need 12 jurors. They can be selected in 1 way.


Option D

would you kindly elaborate how you deduced n-m+1 to be 13 from (n-m+1)C(12) =13.... ?
User avatar
pudu
Joined: 12 Mar 2023
Last visit: 06 Mar 2024
Posts: 229
Own Kudos:
Given Kudos: 16
Location: India
Posts: 229
Kudos: 123
Kudos
Add Kudos
Bookmarks
Bookmark this Post
gmatophobia
Bunuel
12 jurors must be picked from a pool of n potential jurors. It m of the potential jurors are rejected by the defense council and the prosecuting attorney, how many different possible juries could be picked from the remaining potential jurors?

(1) If one less potential juror had been rejected, it would be possible to create 13 different juries

(2) n = m + 12

Statement 1

If one less potential juror had been rejected, it would be possible to create 13 different juries

n-m+1 C 12 = 13

n - m + 1 = 13

n - m = 12

Hence we have 12 jurors left and we need 12 jurors. They can be selected in 1 way.

Statement 1

n = m + 12

n - m = 12

Hence we have 12 jurors left and we need 12 jurors. They can be selected in 1 way.

Option D


How it is possible to take statement 1 like this? there is no information about the size of the jury... then how we can assume each jury contains 1 juro?
User avatar
HarshavardhanR
Joined: 16 Mar 2023
Last visit: 22 Apr 2026
Posts: 488
Own Kudos:
574
 [1]
Given Kudos: 67
Status:Independent GMAT Tutor
Affiliations: Ex - Director, Subject Matter Expertise at e-GMAT
Products:
Expert
Expert reply
Active GMAT Club Expert! Tag them with @ followed by their username for a faster response.
Posts: 488
Kudos: 574
 [1]
1
Kudos
Add Kudos
Bookmarks
Bookmark this Post
Attachment:
GMAT-Club-Forum-fvq0ea8t.png
GMAT-Club-Forum-fvq0ea8t.png [ 110.45 KiB | Viewed 1248 times ]

Harsha
User avatar
Abhijeet089
Joined: 16 Mar 2025
Last visit: 16 Mar 2026
Posts: 5
Own Kudos:
3
 [1]
Given Kudos: 34
Posts: 5
Kudos: 3
 [1]
1
Kudos
Add Kudos
Bookmarks
Bookmark this Post
could you please tell how we take n-m+1 =13 here after we get (n-m+1) C 12 = 13 ?
thank you
HarshavardhanR
Attachment:
GMAT-Club-Forum-fvq0ea8t.png

Harsha
User avatar
HarshavardhanR
Joined: 16 Mar 2023
Last visit: 22 Apr 2026
Posts: 488
Own Kudos:
574
 [2]
Given Kudos: 67
Status:Independent GMAT Tutor
Affiliations: Ex - Director, Subject Matter Expertise at e-GMAT
Products:
Expert
Expert reply
Active GMAT Club Expert! Tag them with @ followed by their username for a faster response.
Posts: 488
Kudos: 574
 [2]
2
Kudos
Add Kudos
Bookmarks
Bookmark this Post
Abhijeet089
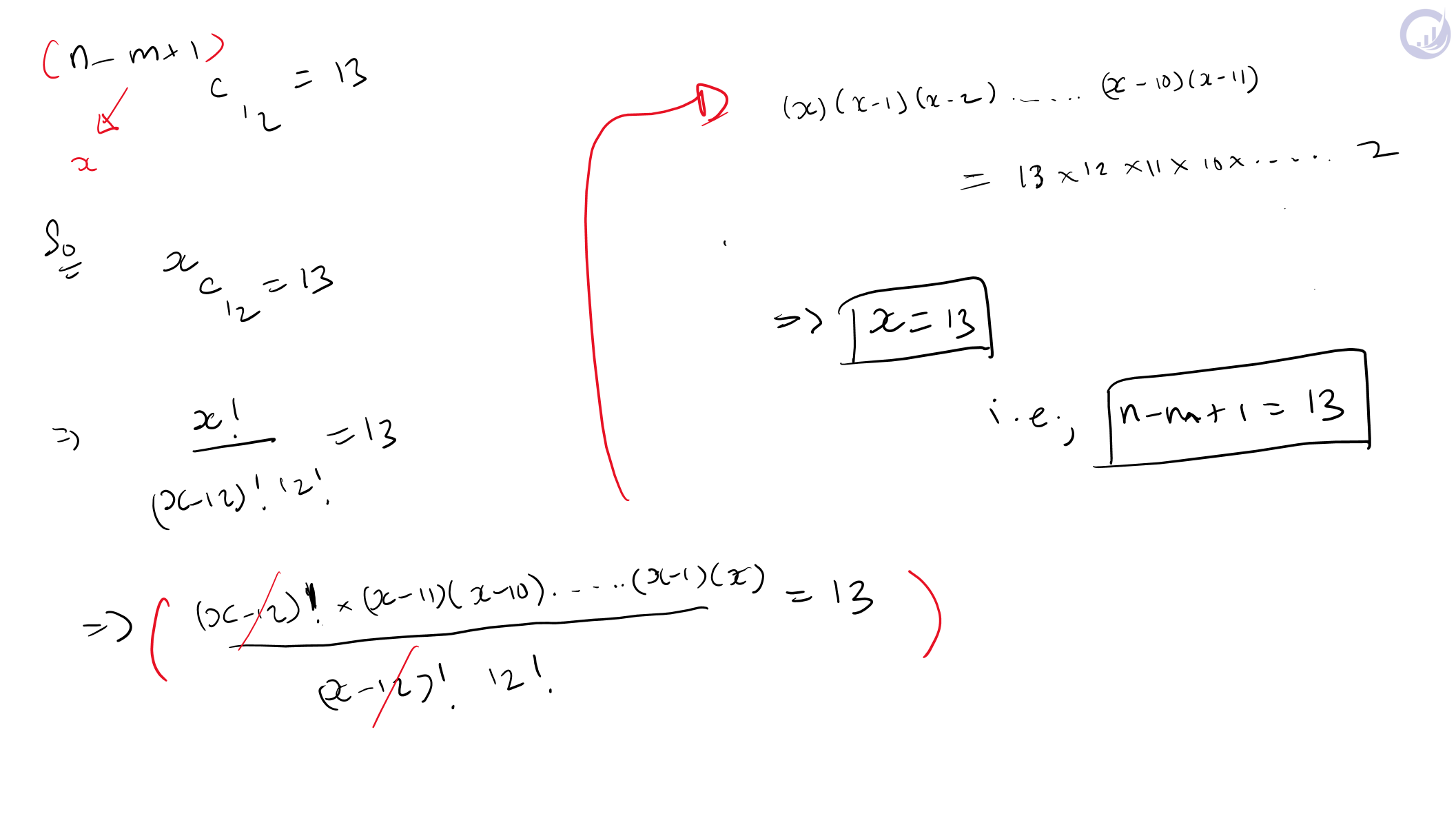
could you please tell how we take n-m+1 =13 here after we get (n-m+1) C 12 = 13 ?
thank you


Think: <what number> C 12 yields 13?

Say,

xC12 = 13.

- Can x be <12? Nope. Mathematically not possible to select 12 jurors from a number of jurors less than 12.
- Can x be 12? Nope. 12C2 = 1, not 13.
- Can x be 13? Yes. 13C12 = 13.
- Can x be 14? Nope. 14C12 = 14 x 13 / 2 = 91.
- Can x be 15? Nope. 15C12 = an even bigger number (455)


Observe. x cannot be lesser than 12. As x goes above 13, xC12 keeps increasing beyond 13. The only legit x value is x = 13.

x can only be 13.

i.e., n-m+1 = 13.

Here is another way to figure out that n-m+1 = 13.



---
Harsha
Attachment:
GMAT-Club-Forum-arptcxe9.png
GMAT-Club-Forum-arptcxe9.png [ 145.35 KiB | Viewed 763 times ]
Moderators:
Math Expert
109754 posts
498 posts
212 posts