Last visit was: 23 Apr 2026, 21:24 It is currently 23 Apr 2026, 21:24
Close
GMAT Club Daily Prep
Thank you for using the timer - this advanced tool can estimate your performance and suggest more practice questions. We have subscribed you to Daily Prep Questions via email.

Customized
for You

we will pick new questions that match your level based on your Timer History

Track
Your Progress

every week, we’ll send you an estimated GMAT score based on your performance

Practice
Pays

we will pick new questions that match your level based on your Timer History
Not interested in getting valuable practice questions and articles delivered to your email? No problem, unsubscribe here.
Close
Request Expert Reply
Confirm Cancel
User avatar
thegame12
Joined: 15 Oct 2017
Last visit: 12 May 2018
Posts: 27
Own Kudos:
4
 [1]
Given Kudos: 18
Products:
Posts: 27
Kudos: 4
 [1]
1
Kudos
Add Kudos
Bookmarks
Bookmark this Post
User avatar
generis
User avatar
Senior SC Moderator
Joined: 22 May 2016
Last visit: 18 Jun 2022
Posts: 5,258
Own Kudos:
37,727
 [1]
Given Kudos: 9,464
Expert
Expert reply
Posts: 5,258
Kudos: 37,727
 [1]
1
Kudos
Add Kudos
Bookmarks
Bookmark this Post
avatar
vinod94
Joined: 25 Dec 2017
Last visit: 28 Mar 2019
Posts: 3
Own Kudos:
2
 [2]
Given Kudos: 3
Posts: 3
Kudos: 2
 [2]
2
Kudos
Add Kudos
Bookmarks
Bookmark this Post
User avatar
generis
User avatar
Senior SC Moderator
Joined: 22 May 2016
Last visit: 18 Jun 2022
Posts: 5,258
Own Kudos:
37,727
 [1]
Given Kudos: 9,464
Expert
Expert reply
Posts: 5,258
Kudos: 37,727
 [1]
1
Kudos
Add Kudos
Bookmarks
Bookmark this Post
thegame12
Hello everyone,

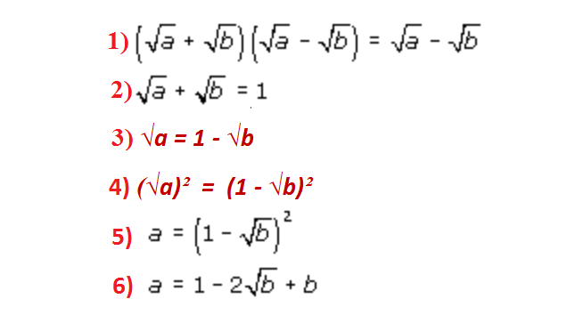
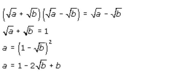
i don't get it how we can't switch from the 3rd equation to the last one. √b²=b, no ?
thegame12 , in my earlier reply, I misunderstood your question.

vinod94 , whose answer is very close, noticed the real question. +1 for that.

The third step to fourth step, however, comes from an algebraic identity called "the Square of a Difference," not the "Square of a Sum."*
Both are important algebraic identities with which testers should be familiar.

If an expression looks like \((a - b)^2\) (the square of a difference), chances are good that the expression is an important algebraic identity

In this case, \((1 -\sqrt{b})^2\) is an instance of the general "Square of a Difference" identity.

General identity for the square of a difference:

\((a - b)^2 = a^2 - 2ab + b^2\)

\((a - b)^2 = (a - b)(a - b)\) FOIL
\(a^2 - (ab) - (ba) + b^2 =\)
\(a^2 - 2ab + b^2\)


In this case, replace \(1\) for \(a\), and \(\sqrt{b}\) for \(b\)
The answer will take the form of \(a^2 - 2ab + b^2\)

\((1 - \sqrt{b})^2 = 1 - 2\sqrt{b} + b\)

\((1 - \sqrt{b})^2 = (1 -\sqrt{b})(1 -\sqrt{b})\) FOIL

\(1^2 - (1)(\sqrt{b})-(1)(\sqrt{b}) + (\sqrt{b})(\sqrt{b}) =\)

\(1 - 2\sqrt{b} + b^2\)


Often a problem will have an algebraic identity "hiding."
If you recognize the identity, you can plug occasionally mind-boggling values into the identity and solve.
Three of the most important identities are listed below.

Difference of Squares:
\((a^2 - b^2) = (a + b)(a - b)\)
Foil RHS to get LHS

Square of a Sum:
\((a + b)^2 = a^2 + 2ab + b^2\)
\((a + b)^2 = (a + b)(a + b)\)
FOIL RHS here to get RHS immediately above

Square of a Difference:
\((a - b)^2 = a^2 - 2ab + b^2\)
\((a - b)^2 = (a - b)(a - b)\) FOIL RHS here to get RHS immediately above

*If you haven't already, please see
Bunuel Algebraic Identities
• great article by GMAT Club expert Mike McGarry, mikemcgarry , Three Algebra Formulas Essential for the GMAT
mmagyar , two problems involving difference of squares
User avatar
ccooley
User avatar
Manhattan Prep Instructor
Joined: 04 Dec 2015
Last visit: 06 Jun 2020
Posts: 931
Own Kudos:
1,658
 [1]
Given Kudos: 115
GMAT 1: 790 Q51 V49
GRE 1: Q170 V170
Expert
Expert reply
GMAT 1: 790 Q51 V49
GRE 1: Q170 V170
Posts: 931
Kudos: 1,658
 [1]
1
Kudos
Add Kudos
Bookmarks
Bookmark this Post
thegame12
Hello everyone,

i don't get it how we can't switch from the 3rd equation to the last one. √b2=b, no ?

Interesting question. First of all, I'd say that you can switch from the third equation to the last one. You'd use FOIL (or a special quadratic that you have memorized). The earlier posters showed how that works.

If you want to double check that on your own, try plugging some numbers into both equations. If you get different results from the two equations, then you'd know that they weren't actually the same. But if you always get the same result from both of them, that would make you think that they're probably the same.

For example, try plugging in b = 0.

\(a = (1-\sqrt{0})^2 = 1^2 = 1\)

\(a = 1-2\sqrt{0}+0 = 1-2(0)+0 = 1\)

Okay, it's the same in that case. How about b = 1?

\(a = (1-\sqrt{1})^2 = 0^2 = 0\)

\(a = 1-2\sqrt{1}+1 = 1-2(1)+1 = 0\)

It's the same in that case too. What if b = 100?

\(a = (1-\sqrt{100})^2 = (-9)^2 = 81\)

\(a = 1-2\sqrt{100}+100 = 1-2(10)+100 = 81\)

It's still the same.

There's something slightly odd going on here though, which is what I think you may be asking about. Notice that I'm not plugging in any negative values for b. If I did that, I would have a problem. But the problem isn't that the two equations are different. It's just that (on the GMAT) you can't take the square root of a negative number at all. So, we don't really need to worry about negative numbers here. The GMAT will never give you expressions like these ones and ask you to use negative values with them.

Another, similar issue - but not the issue on this problem - happens when you do \(\sqrt{x^2}\). The GMAT has a rule that says that we only look at positive square roots. So, \(\sqrt{100}\) is just 10, not '10 or -10', like you may have learned in school. Since we don't know whether \(x\) is positive or negative, we can't just say that \(\sqrt{x^2} = x\). (The problem is that \(x\) might be a negative number, which would make the equation wrong.) Instead, you have to take the absolute value of x to make sure it comes out positive: \(\sqrt{x^2} = |x|\)

Archived Topic
Hi there,
This topic has been closed and archived due to inactivity or violation of community quality standards. No more replies are possible here.
Where to now? Join ongoing discussions on thousands of quality questions in our Quantitative Questions Forum
Still interested in this question? Check out the "Best Topics" block above for a better discussion on this exact question, as well as several more related questions.
Thank you for understanding, and happy exploring!