Last visit was: 22 Apr 2026, 23:24 It is currently 22 Apr 2026, 23:24
Close
GMAT Club Daily Prep
Thank you for using the timer - this advanced tool can estimate your performance and suggest more practice questions. We have subscribed you to Daily Prep Questions via email.

Customized
for You

we will pick new questions that match your level based on your Timer History

Track
Your Progress

every week, we’ll send you an estimated GMAT score based on your performance

Practice
Pays

we will pick new questions that match your level based on your Timer History
Not interested in getting valuable practice questions and articles delivered to your email? No problem, unsubscribe here.
Close
Request Expert Reply
Confirm Cancel
User avatar
Bunuel
User avatar
Math Expert
Joined: 02 Sep 2009
Last visit: 22 Apr 2026
Posts: 109,763
Own Kudos:
Given Kudos: 105,850
Products:
Expert
Expert reply
Active GMAT Club Expert! Tag them with @ followed by their username for a faster response.
Posts: 109,763
Kudos: 810,702
Kudos
Add Kudos
Bookmarks
Bookmark this Post
User avatar
GMATWhizTeam
User avatar
GMATWhiz Representative
Joined: 07 May 2019
Last visit: 17 Mar 2026
Posts: 3,374
Own Kudos:
Given Kudos: 70
Location: India
GMAT 1: 740 Q50 V41
GMAT 2: 760 Q51 V40
Expert
Expert reply
GMAT 2: 760 Q51 V40
Posts: 3,374
Kudos: 2,193
Kudos
Add Kudos
Bookmarks
Bookmark this Post
User avatar
Archit3110
User avatar
Major Poster
Joined: 18 Aug 2017
Last visit: 22 Apr 2026
Posts: 8,627
Own Kudos:
Given Kudos: 243
Status:You learn more from failure than from success.
Location: India
Concentration: Sustainability, Marketing
GMAT Focus 1: 545 Q79 V79 DI73
GMAT Focus 2: 645 Q83 V82 DI81
GPA: 4
WE:Marketing (Energy)
Products:
GMAT Focus 2: 645 Q83 V82 DI81
Posts: 8,627
Kudos: 5,190
Kudos
Add Kudos
Bookmarks
Bookmark this Post
User avatar
cathygeorge123
Joined: 28 May 2014
Last visit: 14 Apr 2022
Posts: 61
Own Kudos:
70
 [1]
Given Kudos: 164
Location: Singapore
Concentration: Strategy
GMAT 1: 590 Q44 V27
Products:
GMAT 1: 590 Q44 V27
Posts: 61
Kudos: 70
 [1]
1
Kudos
Add Kudos
Bookmarks
Bookmark this Post
Bunuel
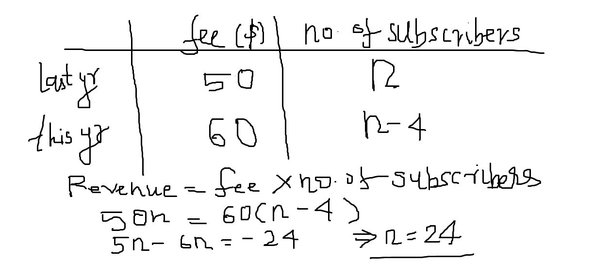
Last year, a magazine charged a $50 subscription fee. This year, the price will be increased by $10. If the magazine could lose 4 subscribers this year and still collect the same revenue as it did last year, how many subscribers did the magazine have last year?

A. 20
B. 21
C. 22
D. 23
E. 24

Please refer to my attachment :

P.S : A quick tip Guys, whenever you see things you can cancel on both sides( e.g a 10 common..), just SLASH them away!
Attachments

revenue.jpg
revenue.jpg [ 84.9 KiB | Viewed 6554 times ]

avatar
Mia961
Joined: 12 Feb 2020
Last visit: 27 May 2020
Posts: 6
Own Kudos:
Given Kudos: 16
Posts: 6
Kudos: 2
Kudos
Add Kudos
Bookmarks
Bookmark this Post
Bunuel
Last year, a magazine charged a $50 subscription fee. This year, the price will be increased by $10. If the magazine could lose 4 subscribers this year and still collect the same revenue as it did last year, how many subscribers did the magazine have last year?

A. 20
B. 21
C. 22
D. 23
E. 24

1st year:
Fee: $50/customer
# of costumers: a Customer
Revenue: R1= 50a

1st year:
Fee: ($50 + $10) /customer = $60 /customer
# of costumers: (a-4) Customer
Revenue: R2= 60(a-4)

R1=R2
50a=60(a-4)
50a=60a-60*4
10a=60*4

a=24

Answer E
User avatar
bumpbot
User avatar
Non-Human User
Joined: 09 Sep 2013
Last visit: 04 Jan 2021
Posts: 38,961
Own Kudos:
Posts: 38,961
Kudos: 1,117
Kudos
Add Kudos
Bookmarks
Bookmark this Post
Automated notice from GMAT Club BumpBot:

A member just gave Kudos to this thread, showing it’s still useful. I’ve bumped it to the top so more people can benefit. Feel free to add your own questions or solutions.

This post was generated automatically.
Moderators:
Math Expert
109763 posts
Tuck School Moderator
853 posts