Last visit was: 21 Apr 2026, 22:32 It is currently 21 Apr 2026, 22:32
Close
GMAT Club Daily Prep
Thank you for using the timer - this advanced tool can estimate your performance and suggest more practice questions. We have subscribed you to Daily Prep Questions via email.

Customized
for You

we will pick new questions that match your level based on your Timer History

Track
Your Progress

every week, we’ll send you an estimated GMAT score based on your performance

Practice
Pays

we will pick new questions that match your level based on your Timer History
Not interested in getting valuable practice questions and articles delivered to your email? No problem, unsubscribe here.
Close
Request Expert Reply
Confirm Cancel
User avatar
Bunuel
User avatar
Math Expert
Joined: 02 Sep 2009
Last visit: 21 Apr 2026
Posts: 109,739
Own Kudos:
Given Kudos: 105,815
Products:
Expert
Expert reply
Active GMAT Club Expert! Tag them with @ followed by their username for a faster response.
Posts: 109,739
Kudos: 810,499
 [10]
1
Kudos
Add Kudos
9
Bookmarks
Bookmark this Post
User avatar
BrentGMATPrepNow
User avatar
Major Poster
Joined: 12 Sep 2015
Last visit: 31 Oct 2025
Posts: 6,733
Own Kudos:
36,441
 [1]
Given Kudos: 799
Location: Canada
Expert
Expert reply
Posts: 6,733
Kudos: 36,441
 [1]
1
Kudos
Add Kudos
Bookmarks
Bookmark this Post
User avatar
Abhishek009
User avatar
Board of Directors
Joined: 11 Jun 2011
Last visit: 17 Dec 2025
Posts: 5,904
Own Kudos:
Given Kudos: 463
Status:QA & VA Forum Moderator
Location: India
GPA: 3.5
WE:Business Development (Commercial Banking)
Posts: 5,904
Kudos: 5,447
Kudos
Add Kudos
Bookmarks
Bookmark this Post
User avatar
GMATWhizTeam
User avatar
GMATWhiz Representative
Joined: 07 May 2019
Last visit: 17 Mar 2026
Posts: 3,374
Own Kudos:
Given Kudos: 70
Location: India
GMAT 1: 740 Q50 V41
GMAT 2: 760 Q51 V40
Expert
Expert reply
GMAT 2: 760 Q51 V40
Posts: 3,374
Kudos: 2,193
Kudos
Add Kudos
Bookmarks
Bookmark this Post
Bunuel
A 400 milliliter solution is 20% alcohol by volume. If 100 milliliters of water is added, what is the new concentration of alcohol, as a percent of volume?

(A) 5%
(B) 10%
(C) 12%
(D) 12.5%
(E) 16%

Solution


    • Total volume of the solution = 400 ml
    • 20% of the solution by volume is alcohol.
      o So, volume of alcohol \(= \frac{20}{100}*400 = 80\) ml
    • Since 100 ml water is added, so new total volume of the solution \(= 400 + 100 = 500\) ml
    • Therefore, alcohol % by volume = (volume of alcohol/ total volume of the solution) \(*100 = \frac{80}{500}*100 = 16\)%
Thus, the correct answer is Option E.
User avatar
ScottTargetTestPrep
User avatar
Target Test Prep Representative
Joined: 14 Oct 2015
Last visit: 21 Apr 2026
Posts: 22,276
Own Kudos:
Given Kudos: 302
Status:Founder & CEO
Affiliations: Target Test Prep
Location: United States (CA)
Expert
Expert reply
Active GMAT Club Expert! Tag them with @ followed by their username for a faster response.
Posts: 22,276
Kudos: 26,527
Kudos
Add Kudos
Bookmarks
Bookmark this Post
Bunuel
A 400 milliliter solution is 20% alcohol by volume. If 100 milliliters of water is added, what is the new concentration of alcohol, as a percent of volume?

(A) 5%
(B) 10%
(C) 12%
(D) 12.5%
(E) 16%
Solution:

If a 400-milliliter solution is 20% alcohol by volume, it has 400 x 0.2 = 80 milliliters of alcohol. Thus the concentration of alcohol, when 100 milliliters of water is added, is:

80 / (400 + 100) = 80/500 = 16/100 = 16%

Alternate Solution:

To a 400-ml solution of 20% alcohol, we add 100 ml of water, which has 0% alcohol, and we obtain 500 ml of a solution with x% alcohol. Creating an equation, we have:

400 (0.20) + 100 (0) = 500x

80 + 0 = 500x

0.16 = x

Converted to a percent, we see that x = 16%.


Answer: E
avatar
DIPU226
Joined: 22 May 2021
Last visit: 27 May 2022
Posts: 2
Given Kudos: 40
Posts: 2
Kudos: 0
Kudos
Add Kudos
Bookmarks
Bookmark this Post
hey GMATBusters kindly help in these question with alligation
User avatar
GMATBusters
User avatar
GMAT Tutor
Joined: 27 Oct 2017
Last visit: 21 Apr 2026
Posts: 1,921
Own Kudos:
6,854
 [1]
Given Kudos: 241
WE:General Management (Education)
Expert
Expert reply
Posts: 1,921
Kudos: 6,854
 [1]
1
Kudos
Add Kudos
Bookmarks
Bookmark this Post
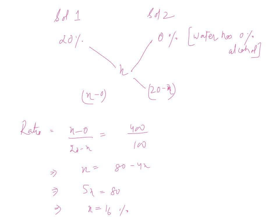
Hi

you can do this question by alligation as described in the sketch, Feel free to tag me again for any doubt.



DIPU226
hey GMATBusters kindly help in these question with alligation
Attachment:
Alligation.JPG
Alligation.JPG [ 37.15 KiB | Viewed 6576 times ]
User avatar
bumpbot
User avatar
Non-Human User
Joined: 09 Sep 2013
Last visit: 04 Jan 2021
Posts: 38,957
Own Kudos:
Posts: 38,957
Kudos: 1,117
Kudos
Add Kudos
Bookmarks
Bookmark this Post
Automated notice from GMAT Club BumpBot:

A member just gave Kudos to this thread, showing it’s still useful. I’ve bumped it to the top so more people can benefit. Feel free to add your own questions or solutions.

This post was generated automatically.
Moderators:
Math Expert
109739 posts
Tuck School Moderator
853 posts