Last visit was: 23 Apr 2026, 16:51 It is currently 23 Apr 2026, 16:51
Close
GMAT Club Daily Prep
Thank you for using the timer - this advanced tool can estimate your performance and suggest more practice questions. We have subscribed you to Daily Prep Questions via email.

Customized
for You

we will pick new questions that match your level based on your Timer History

Track
Your Progress

every week, we’ll send you an estimated GMAT score based on your performance

Practice
Pays

we will pick new questions that match your level based on your Timer History
Not interested in getting valuable practice questions and articles delivered to your email? No problem, unsubscribe here.
Close
Request Expert Reply
Confirm Cancel
User avatar
stilite
Joined: 26 Aug 2009
Last visit: 27 Dec 2009
Posts: 14
Own Kudos:
Given Kudos: 3
Posts: 14
Kudos: 4
Kudos
Add Kudos
Bookmarks
Bookmark this Post
User avatar
madeinafrica
User avatar
Current Student
Joined: 20 Jul 2009
Last visit: 19 Nov 2012
Posts: 131
Own Kudos:
Given Kudos: 6
Affiliations: ?
Location: Africa/Europe
Concentration: Entrepreneurship, Finance, Strategy
Schools:Kellogg; Ross ($$); Tuck
Posts: 131
Kudos: 76
Kudos
Add Kudos
Bookmarks
Bookmark this Post
User avatar
mnpqxyzt
Joined: 03 Sep 2009
Last visit: 17 Oct 2009
Posts: 18
Own Kudos:
Given Kudos: 1
Posts: 18
Kudos: 35
Kudos
Add Kudos
Bookmarks
Bookmark this Post
User avatar
stilite
Joined: 26 Aug 2009
Last visit: 27 Dec 2009
Posts: 14
Own Kudos:
Given Kudos: 3
Posts: 14
Kudos: 4
Kudos
Add Kudos
Bookmarks
Bookmark this Post
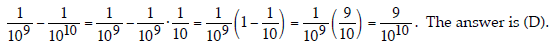
Here is the answer,... but I simply do not see where the "1" is coming from in the thrid break-down.

How is the (1/10*9 x 1/10)

all of a sudden (1 - 1/10)

??
Attachments

ScreenHunter_10 Sep. 08 18.26.gif
ScreenHunter_10 Sep. 08 18.26.gif [ 3.84 KiB | Viewed 1751 times ]

User avatar
Jivana
Joined: 20 Mar 2008
Last visit: 26 Apr 2011
Posts: 339
Own Kudos:
Given Kudos: 5
Posts: 339
Kudos: 441
Kudos
Add Kudos
Bookmarks
Bookmark this Post
stilite
Here is the answer,... but I simply do not see where the "1" is coming from in the thrid break-down.

How is the (1/10*9 x 1/10)

all of a sudden (1 - 1/10)

??

You are factoring out the 1/10^9 from both the fractions, that's why those number become, 1 - 1/10. If you were to multiply the two fractions with the 1/10^9 number you will get your original back. Try it out.
User avatar
stilite
Joined: 26 Aug 2009
Last visit: 27 Dec 2009
Posts: 14
Own Kudos:
Given Kudos: 3
Posts: 14
Kudos: 4
Kudos
Add Kudos
Bookmarks
Bookmark this Post
Thank you everyone,...I see now. What I didn't understand is that the factoring was at the first stage of the full (original) equation. The answer I have **in the atachment** was throwing me off as it is not clearly laid out (in my opinion).

It looks like the author has not clearly shown the "factoring out" of the 1/10^9 in the second part...but in the third. His "second" factor of the answer should not even be there.



Archived Topic
Hi there,
This topic has been closed and archived due to inactivity or violation of community quality standards. No more replies are possible here.
Where to now? Join ongoing discussions on thousands of quality questions in our Problem Solving (PS) Forum
Still interested in this question? Check out the "Best Topics" block above for a better discussion on this exact question, as well as several more related questions.
Thank you for understanding, and happy exploring!
Moderator:
Math Expert
109785 posts