Last visit was: 21 Apr 2026, 08:58 It is currently 21 Apr 2026, 08:58
Close
GMAT Club Daily Prep
Thank you for using the timer - this advanced tool can estimate your performance and suggest more practice questions. We have subscribed you to Daily Prep Questions via email.

Customized
for You

we will pick new questions that match your level based on your Timer History

Track
Your Progress

every week, we’ll send you an estimated GMAT score based on your performance

Practice
Pays

we will pick new questions that match your level based on your Timer History
Not interested in getting valuable practice questions and articles delivered to your email? No problem, unsubscribe here.
Close
Request Expert Reply
Confirm Cancel
User avatar
Bunuel
User avatar
Math Expert
Joined: 02 Sep 2009
Last visit: 21 Apr 2026
Posts: 109,729
Own Kudos:
Given Kudos: 105,798
Products:
Expert
Expert reply
Active GMAT Club Expert! Tag them with @ followed by their username for a faster response.
Posts: 109,729
Kudos: 810,408
 [42]
3
Kudos
Add Kudos
39
Bookmarks
Bookmark this Post
User avatar
Bunuel
User avatar
Math Expert
Joined: 02 Sep 2009
Last visit: 21 Apr 2026
Posts: 109,729
Own Kudos:
810,408
 [2]
Given Kudos: 105,798
Products:
Expert
Expert reply
Active GMAT Club Expert! Tag them with @ followed by their username for a faster response.
Posts: 109,729
Kudos: 810,408
 [2]
Kudos
Add Kudos
2
Bookmarks
Bookmark this Post
User avatar
anish777
Joined: 18 Feb 2021
Last visit: 09 Jan 2025
Posts: 103
Own Kudos:
32
 [1]
Given Kudos: 143
Location: India
GMAT Focus 1: 635 Q88 V79 DI77
GPA: 7.98
GMAT Focus 1: 635 Q88 V79 DI77
Posts: 103
Kudos: 32
 [1]
1
Kudos
Add Kudos
Bookmarks
Bookmark this Post
User avatar
Bunuel
User avatar
Math Expert
Joined: 02 Sep 2009
Last visit: 21 Apr 2026
Posts: 109,729
Own Kudos:
Given Kudos: 105,798
Products:
Expert
Expert reply
Active GMAT Club Expert! Tag them with @ followed by their username for a faster response.
Posts: 109,729
Kudos: 810,408
Kudos
Add Kudos
Bookmarks
Bookmark this Post
anish777
I am confused here. It says that |x|>2, that means x can have values that are less than -2 or greater than 2. If that's the case, consider x=-5. Will the equation stand with x=-5 ? I don't think that will.
Then how come |x|>2 becomes the right answer.
Bunuel can you please check this once ?
­Check other similar questions from Trickiest Inequality Questions Type: Confusing Ranges (part of our Special Questions Directory).

Hope it helps.­
User avatar
VivekSri
Joined: 01 May 2022
Last visit: 05 Feb 2026
Posts: 468
Own Kudos:
Given Kudos: 117
Location: India
WE:Engineering (Consulting)
Posts: 468
Kudos: 769
Kudos
Add Kudos
Bookmarks
Bookmark this Post
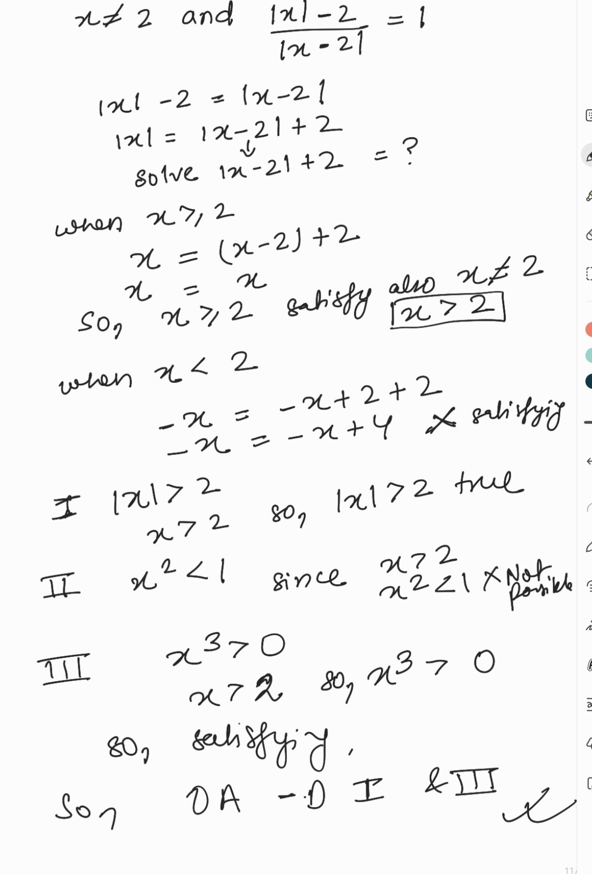
Bunuel
If \(x \neq 2\) and \(\frac{|x| - 2}{|x - 2|}= 1\), then which of the following must be true?

I. \(|x| > 2\)
II. \(x^2 < 1\)
III. \(x^3 > 0\)

A. I only
B. II only
C. III only
D. I and III only
E. None


Fresh GMAT Club Tests' Question

Experience GMAT Club Test Questions
Yes, you've landed on a GMAT Club Tests question
Craving more? Unlock our full suite of GMAT Club Tests here
Want to experience more? Get a taste of our tests with our free trial today
Rise to the challenge with GMAT Club Tests. Happy practicing!
­
Attachments

Screenshot_20240512_123531_Samsung Notes.jpg
Screenshot_20240512_123531_Samsung Notes.jpg [ 197.33 KiB | Viewed 3539 times ]

Moderators:
Math Expert
109729 posts
Tuck School Moderator
853 posts