Official ExplanationFind the number combinations with the “choose” function, written as nCk or

and defined by the formula:

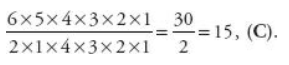
Recall that n! means the product of all positive integers from 1 through n, inclusive. From six flavors, we are choosing two, so we want 6C2, which equals

*Label the flavors A, B, C, D, E, and F, and list all combinations of two different flavors systematically: AB, AC, AD, AE, AF, BC, BD, BE, BF, CD, CE, CF, DE, DF, EF. There are 5 + 4 + 3 + 2 + 1 = 15 combinations in all, (C).
Answer: CAttachment:
GMAT-Club-Forum-kzmr6o9r.png [ 2.43 KiB | Viewed 30 times ]
Attachment:
GMAT-Club-Forum-tzkp20ry.png [ 8.91 KiB | Viewed 30 times ]
Attachment:
GMAT-Club-Forum-hwktkzff.png [ 11.17 KiB | Viewed 30 times ]