Last visit was: 24 Apr 2026, 12:12 It is currently 24 Apr 2026, 12:12
Close
GMAT Club Daily Prep
Thank you for using the timer - this advanced tool can estimate your performance and suggest more practice questions. We have subscribed you to Daily Prep Questions via email.

Customized
for You

we will pick new questions that match your level based on your Timer History

Track
Your Progress

every week, we’ll send you an estimated GMAT score based on your performance

Practice
Pays

we will pick new questions that match your level based on your Timer History
Not interested in getting valuable practice questions and articles delivered to your email? No problem, unsubscribe here.
Close
Request Expert Reply
Confirm Cancel
User avatar
jasonfodor
Joined: 23 Jul 2015
Last visit: 23 Aug 2020
Posts: 30
Own Kudos:
16
 [1]
Given Kudos: 4
Products:
Posts: 30
Kudos: 16
 [1]
Kudos
Add Kudos
1
Bookmarks
Bookmark this Post
Most Helpful Reply
User avatar
KarishmaB
Joined: 16 Oct 2010
Last visit: 23 Apr 2026
Posts: 16,442
Own Kudos:
79,404
 [9]
Given Kudos: 485
Location: Pune, India
Expert
Expert reply
Active GMAT Club Expert! Tag them with @ followed by their username for a faster response.
Posts: 16,442
Kudos: 79,404
 [9]
4
Kudos
Add Kudos
5
Bookmarks
Bookmark this Post
General Discussion
User avatar
EMPOWERgmatRichC
User avatar
Major Poster
Joined: 19 Dec 2014
Last visit: 31 Dec 2023
Posts: 21,777
Own Kudos:
Given Kudos: 450
Status:GMAT Assassin/Co-Founder
Affiliations: EMPOWERgmat
Location: United States (CA)
GMAT 1: 800 Q51 V49
GRE 1: Q170 V170
Expert
Expert reply
GMAT 1: 800 Q51 V49
GRE 1: Q170 V170
Posts: 21,777
Kudos: 13,047
Kudos
Add Kudos
Bookmarks
Bookmark this Post
User avatar
SamirAbrahao
Joined: 27 Apr 2016
Last visit: 26 Sep 2016
Posts: 91
Own Kudos:
Given Kudos: 12
Location: Brazil
GMAT 1: 610 Q37 V36
GPA: 2.7
WE:Information Technology (Education)
GMAT 1: 610 Q37 V36
Posts: 91
Kudos: 27
Kudos
Add Kudos
Bookmarks
Bookmark this Post
jasonfodor
re-wording a question.

say it says solve for x^2
(1) x = Sq root (5x-1)

the answer says to take square both sides and get x^2=5x-1, than set it up as a quadratic equation and solve.

normally, everything under the square root has to be positive, so you'd basically get x^2 = l 5x - 1 l
so technically it "should" be insufficient, however, since x^2 can only be be 0 or positive, than l 5x-1 l can't be negative, so it is sufficient.

say if the question was to solve for x and (1) 4 = sq root (5x - 1), than you'd have two solutions (x=1 and x= -3/5), but you can eliminate the negative as X can only be positive.


is my thinking correct?

x² can only be positive, but X could still be either positive or negative. The thing here is that delta (b - 4AC) is positive, which means X has two possible values (or roots). I've seen pratice questions where the difference between the roots was asked, not the root values themselves. You should double check what the question is actually asking. I believe the only case in which X has only 1 value is when delta is 0.
avatar
pearljiandani
Joined: 21 Oct 2019
Last visit: 03 Jul 2024
Posts: 23
Own Kudos:
Given Kudos: 22
Location: India
GMAT 1: 720 Q49 V39
GPA: 3.64
GMAT 1: 720 Q49 V39
Posts: 23
Kudos: 9
Kudos
Add Kudos
Bookmarks
Bookmark this Post
VeritasKarishma
jasonfodor
re-wording a question.

say it says solve for x^2
(1) x = Sq root (5x-1)

the answer says to take square both sides and get x^2=5x-1, than set it up as a quadratic equation and solve.

normally, everything under the square root has to be positive, so you'd basically get x^2 = l 5x - 1 l
so technically it "should" be insufficient, however, since x^2 can only be be 0 or positive, than l 5x-1 l can't be negative, so it is sufficient.

say if the question was to solve for x and (1) 4 = sq root (5x - 1), than you'd have two solutions (x=1 and x= -3/5), but you can eliminate the negative as X can only be positive.


is my thinking correct?

Here are the key points about squares and square roots:

1.
\(x^2 = 4\)

The equation has 2 roots: x = 2 or -2.
Logical since either value of 2 or -2 will give 4 when squared.

2.
\(\sqrt{4} = 2\) only

Now, this is a bit odd, right? If you square -2, you will get 4 too. Hence \(\sqrt{4}\) should be 2 or -2. But it isn't. And here is the reason: When we write \(\sqrt{x}\), this is the principal square root of the number. x has two roots, the positive square root (or principle square root) written as \(\sqrt{x}\) and negative square root written as \(-\sqrt{x}\). So whenever we write \(\sqrt{x}\), it means we are talking about positive square root only. And that is the reason \(\sqrt{4} = 2\) only.

3.
\((\sqrt{x})^2 = x\)

We don't have to worry about positive negative here since x is under square root. It will be positive only.
\(\sqrt{-4}\) is not defined.

4.
\(\sqrt{x^2} = |x|\)

Again, this has to do with the principal square root concept. Square root of x^2 should be x (which could have been either positive or negative such as
\(\sqrt{(-2)^2}\) which is fine. But when you take \(\sqrt{4}\), you get only 2. Hence you need to put the absolute value sign around x. Doesn't matter whether originally x was positive or negative - after coming out of the square root, it will be positive only.


Hi VeritasKarishma,

In this case, if we have \sqrt{(x+y)^2} where x=5 and y=6 then should we take it as \sqrt{11^2} or \sqrt{121} - As per your rules stated above, in the first case, answer would be +11/-11 whereas in the second case if i solve for 11^2 and get 121 and then take the root, then the answer would be only +11.

Could you please help here?
User avatar
KarishmaB
Joined: 16 Oct 2010
Last visit: 23 Apr 2026
Posts: 16,442
Own Kudos:
79,404
 [1]
Given Kudos: 485
Location: Pune, India
Expert
Expert reply
Active GMAT Club Expert! Tag them with @ followed by their username for a faster response.
Posts: 16,442
Kudos: 79,404
 [1]
1
Kudos
Add Kudos
Bookmarks
Bookmark this Post
pearljiandani
VeritasKarishma
jasonfodor
re-wording a question.

say it says solve for x^2
(1) x = Sq root (5x-1)

the answer says to take square both sides and get x^2=5x-1, than set it up as a quadratic equation and solve.

normally, everything under the square root has to be positive, so you'd basically get x^2 = l 5x - 1 l
so technically it "should" be insufficient, however, since x^2 can only be be 0 or positive, than l 5x-1 l can't be negative, so it is sufficient.

say if the question was to solve for x and (1) 4 = sq root (5x - 1), than you'd have two solutions (x=1 and x= -3/5), but you can eliminate the negative as X can only be positive.


is my thinking correct?

Here are the key points about squares and square roots:

1.
\(x^2 = 4\)

The equation has 2 roots: x = 2 or -2.
Logical since either value of 2 or -2 will give 4 when squared.

2.
\(\sqrt{4} = 2\) only

Now, this is a bit odd, right? If you square -2, you will get 4 too. Hence \(\sqrt{4}\) should be 2 or -2. But it isn't. And here is the reason: When we write \(\sqrt{x}\), this is the principal square root of the number. x has two roots, the positive square root (or principle square root) written as \(\sqrt{x}\) and negative square root written as \(-\sqrt{x}\). So whenever we write \(\sqrt{x}\), it means we are talking about positive square root only. And that is the reason \(\sqrt{4} = 2\) only.

3.
\((\sqrt{x})^2 = x\)

We don't have to worry about positive negative here since x is under square root. It will be positive only.
\(\sqrt{-4}\) is not defined.

4.
\(\sqrt{x^2} = |x|\)

Again, this has to do with the principal square root concept. Square root of x^2 should be x (which could have been either positive or negative such as
\(\sqrt{(-2)^2}\) which is fine. But when you take \(\sqrt{4}\), you get only 2. Hence you need to put the absolute value sign around x. Doesn't matter whether originally x was positive or negative - after coming out of the square root, it will be positive only.


Hi VeritasKarishma,

In this case, if we have \sqrt{(x+y)^2} where x=5 and y=6 then should we take it as \sqrt{11^2} or \sqrt{121} - As per your rules stated above, in the first case, answer would be +11/-11 whereas in the second case if i solve for 11^2 and get 121 and then take the root, then the answer would be only +11.

Could you please help here?

When you take the square root of a square, you get absolute value.

\(\sqrt{(x)^2} = |x|\)

This means that if x = 11, \(\sqrt{(x)^2} = 11\)
and
if x = -11, \(\sqrt{(x)^2} = 11\)


Mind you, if you are given that
\(\sqrt{(x)^2} = 11 = |x|\), this means that x can be 11 or -11.
Because when you solve |x| = 11, you get 11 or -11.

Pay attention to what you are given and what is asked.
avatar
pearljiandani
Joined: 21 Oct 2019
Last visit: 03 Jul 2024
Posts: 23
Own Kudos:
Given Kudos: 22
Location: India
GMAT 1: 720 Q49 V39
GPA: 3.64
GMAT 1: 720 Q49 V39
Posts: 23
Kudos: 9
Kudos
Add Kudos
Bookmarks
Bookmark this Post
When you take the square root of a square, you get absolute value.

\(\sqrt{(x)^2} = |x|\)

This means that if x = 11, \(\sqrt{(x)^2} = 11\)
and
if x = -11, \(\sqrt{(x)^2} = 11\)


Mind you, if you are given that
\(\sqrt{(x)^2} = 11 = |x|\), this means that x can be 11 or -11.
Because when you solve |x| = 11, you get 11 or -11.

Pay attention to what you are given and what is asked. [/quote]

Hi VeritasKarishma,

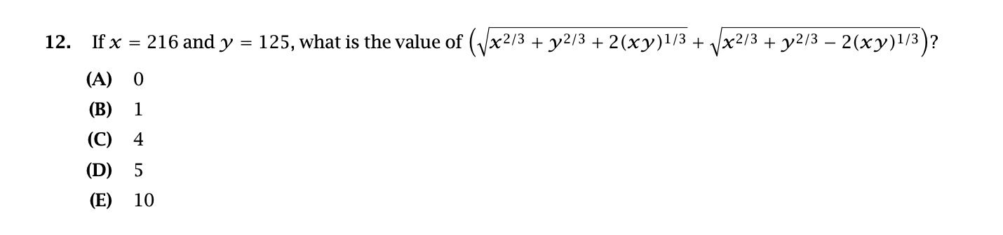
I'm still a little confused. Here is the question that I came across (attached)

After solving till the second last step, I'm left with root of 11^2 + root of 1^2. As per the principal root rule, I got 11 + 1 = 12 as the answer, however, the question says that the answer is 10. While they're using a different method, can you please help me understand where I'm going wrong with my method?

Thanks,
Pearl
Attachments

Screen Shot 2021-03-03 at 4.11.21 PM.png
Screen Shot 2021-03-03 at 4.11.21 PM.png [ 101.26 KiB | Viewed 6963 times ]

Screen Shot 2021-03-03 at 4.09.02 PM.png
Screen Shot 2021-03-03 at 4.09.02 PM.png [ 37.4 KiB | Viewed 6974 times ]

User avatar
KarishmaB
Joined: 16 Oct 2010
Last visit: 23 Apr 2026
Posts: 16,442
Own Kudos:
79,404
 [1]
Given Kudos: 485
Location: Pune, India
Expert
Expert reply
Active GMAT Club Expert! Tag them with @ followed by their username for a faster response.
Posts: 16,442
Kudos: 79,404
 [1]
1
Kudos
Add Kudos
Bookmarks
Bookmark this Post
pearljiandani
When you take the square root of a square, you get absolute value.

\(\sqrt{(x)^2} = |x|\)

This means that if x = 11, \(\sqrt{(x)^2} = 11\)
and
if x = -11, \(\sqrt{(x)^2} = 11\)


Mind you, if you are given that
\(\sqrt{(x)^2} = 11 = |x|\), this means that x can be 11 or -11.
Because when you solve |x| = 11, you get 11 or -11.

Pay attention to what you are given and what is asked.

Hi VeritasKarishma,

I'm still a little confused. Here is the question that I came across (attached)

After solving till the second last step, I'm left with root of 11^2 + root of 1^2. As per the principal root rule, I got 11 + 1 = 12 as the answer, however, the question says that the answer is 10. While they're using a different method, can you please help me understand where I'm going wrong with my method?

Thanks,
Pearl[/quote]

What is the source of this question? The solution is incorrect. Answer will be 12 (as you got).
avatar
pearljiandani
Joined: 21 Oct 2019
Last visit: 03 Jul 2024
Posts: 23
Own Kudos:
Given Kudos: 22
Location: India
GMAT 1: 720 Q49 V39
GPA: 3.64
GMAT 1: 720 Q49 V39
Posts: 23
Kudos: 9
Kudos
Add Kudos
Bookmarks
Bookmark this Post
VeritasKarishma
pearljiandani
When you take the square root of a square, you get absolute value.

\(\sqrt{(x)^2} = |x|\)

This means that if x = 11, \(\sqrt{(x)^2} = 11\)
and
if x = -11, \(\sqrt{(x)^2} = 11\)


Mind you, if you are given that
\(\sqrt{(x)^2} = 11 = |x|\), this means that x can be 11 or -11.
Because when you solve |x| = 11, you get 11 or -11.

Pay attention to what you are given and what is asked.

Hi VeritasKarishma,

I'm still a little confused. Here is the question that I came across (attached)

After solving till the second last step, I'm left with root of 11^2 + root of 1^2. As per the principal root rule, I got 11 + 1 = 12 as the answer, however, the question says that the answer is 10. While they're using a different method, can you please help me understand where I'm going wrong with my method?

Thanks,
Pearl

What is the source of this question? The solution is incorrect. Answer will be 12 (as you got).[/quote]


Thanks for the clarification VeritasKarishma , this got me questioning my fundamentals. Also, got this question from a downloaded pdf of Manhattan Review (Q12) - https://www.manhattanreview.com/downloa ... D27-M8.pdf
User avatar
siglon
Joined: 28 Nov 2021
Last visit: 11 Oct 2022
Posts: 24
Own Kudos:
Given Kudos: 21
Posts: 24
Kudos: 48
Kudos
Add Kudos
Bookmarks
Bookmark this Post
KarishmaB

Here are the key points about squares and square roots:

1.
\(x^2 = 4\)

The equation has 2 roots: x = 2 or -2.
Logical since either value of 2 or -2 will give 4 when squared.

2.
\(\sqrt{4} = 2\) only

Now, this is a bit odd, right? If you square -2, you will get 4 too. Hence \(\sqrt{4}\) should be 2 or -2. But it isn't. And here is the reason: When we write \(\sqrt{x}\), this is the principal square root of the number. x has two roots, the positive square root (or principle square root) written as \(\sqrt{x}\) and negative square root written as \(-\sqrt{x}\). So whenever we write \(\sqrt{x}\), it means we are talking about positive square root only. And that is the reason \(\sqrt{4} = 2\) only.

3.
\((\sqrt{x})^2 = x\)

We don't have to worry about positive negative here since x is under square root. It will be positive only.
\(\sqrt{-4}\) is not defined.

4.
\(\sqrt{x^2} = |x|\)

Again, this has to do with the principal square root concept. Square root of x^2 should be x (which could have been either positive or negative such as
\(\sqrt{(-2)^2}\) which is fine. But when you take \(\sqrt{4}\), you get only 2. Hence you need to put the absolute value sign around x. Doesn't matter whether originally x was positive or negative - after coming out of the square root, it will be positive only.
This is the most underrated post I have read on gmatclub! The difference between \((\sqrt{x})^2\) and \(\sqrt{x^2}\) is so important to understand for the GMAT.
User avatar
bumpbot
User avatar
Non-Human User
Joined: 09 Sep 2013
Last visit: 04 Jan 2021
Posts: 38,975
Own Kudos:
Posts: 38,975
Kudos: 1,117
Kudos
Add Kudos
Bookmarks
Bookmark this Post
Automated notice from GMAT Club BumpBot:

A member just gave Kudos to this thread, showing it’s still useful. I’ve bumped it to the top so more people can benefit. Feel free to add your own questions or solutions.

This post was generated automatically.
Moderators:
Math Expert
109818 posts
Tuck School Moderator
853 posts