Last visit was: 19 Nov 2025, 19:19 It is currently 19 Nov 2025, 19:19
Close
GMAT Club Daily Prep
Thank you for using the timer - this advanced tool can estimate your performance and suggest more practice questions. We have subscribed you to Daily Prep Questions via email.

Customized
for You

we will pick new questions that match your level based on your Timer History

Track
Your Progress

every week, we’ll send you an estimated GMAT score based on your performance

Practice
Pays

we will pick new questions that match your level based on your Timer History
Not interested in getting valuable practice questions and articles delivered to your email? No problem, unsubscribe here.
Close
Request Expert Reply
Confirm Cancel
User avatar
Bunuel
User avatar
Math Expert
Joined: 02 Sep 2009
Last visit: 19 Nov 2025
Posts: 105,390
Own Kudos:
Given Kudos: 99,977
Products:
Expert
Expert reply
Active GMAT Club Expert! Tag them with @ followed by their username for a faster response.
Posts: 105,390
Kudos: 778,379
 [52]
3
Kudos
Add Kudos
49
Bookmarks
Bookmark this Post
Most Helpful Reply
avatar
PRamesh2008
Joined: 30 Mar 2021
Last visit: 17 Jul 2022
Posts: 109
Own Kudos:
92
 [18]
Given Kudos: 48
Location: India
Products:
Posts: 109
Kudos: 92
 [18]
13
Kudos
Add Kudos
5
Bookmarks
Bookmark this Post
User avatar
av1901
Joined: 28 May 2022
Last visit: 13 Sep 2025
Posts: 427
Own Kudos:
466
 [17]
Given Kudos: 83
Status:Dreaming and Working
Affiliations: None
WE:Brand Management (Manufacturing)
Products:
Posts: 427
Kudos: 466
 [17]
10
Kudos
Add Kudos
7
Bookmarks
Bookmark this Post
General Discussion
avatar
mariaraashidkoul
Joined: 01 Apr 2022
Last visit: 24 Apr 2022
Posts: 8
Own Kudos:
6
 [1]
Given Kudos: 7
Posts: 8
Kudos: 6
 [1]
1
Kudos
Add Kudos
Bookmarks
Bookmark this Post
B)One for n = 7

Solve for all values of x -> 20/3,17/2,11
Then solve for all values of x+1->20/3,15/2,17/3,10

You will see that it collides for only one integer value, i.e. 7
User avatar
Kinshook
User avatar
Major Poster
Joined: 03 Jun 2019
Last visit: 19 Nov 2025
Posts: 5,794
Own Kudos:
5,513
 [4]
Given Kudos: 161
Location: India
GMAT 1: 690 Q50 V34
WE:Engineering (Transportation)
Products:
GMAT 1: 690 Q50 V34
Posts: 5,794
Kudos: 5,513
 [4]
4
Kudos
Add Kudos
Bookmarks
Bookmark this Post
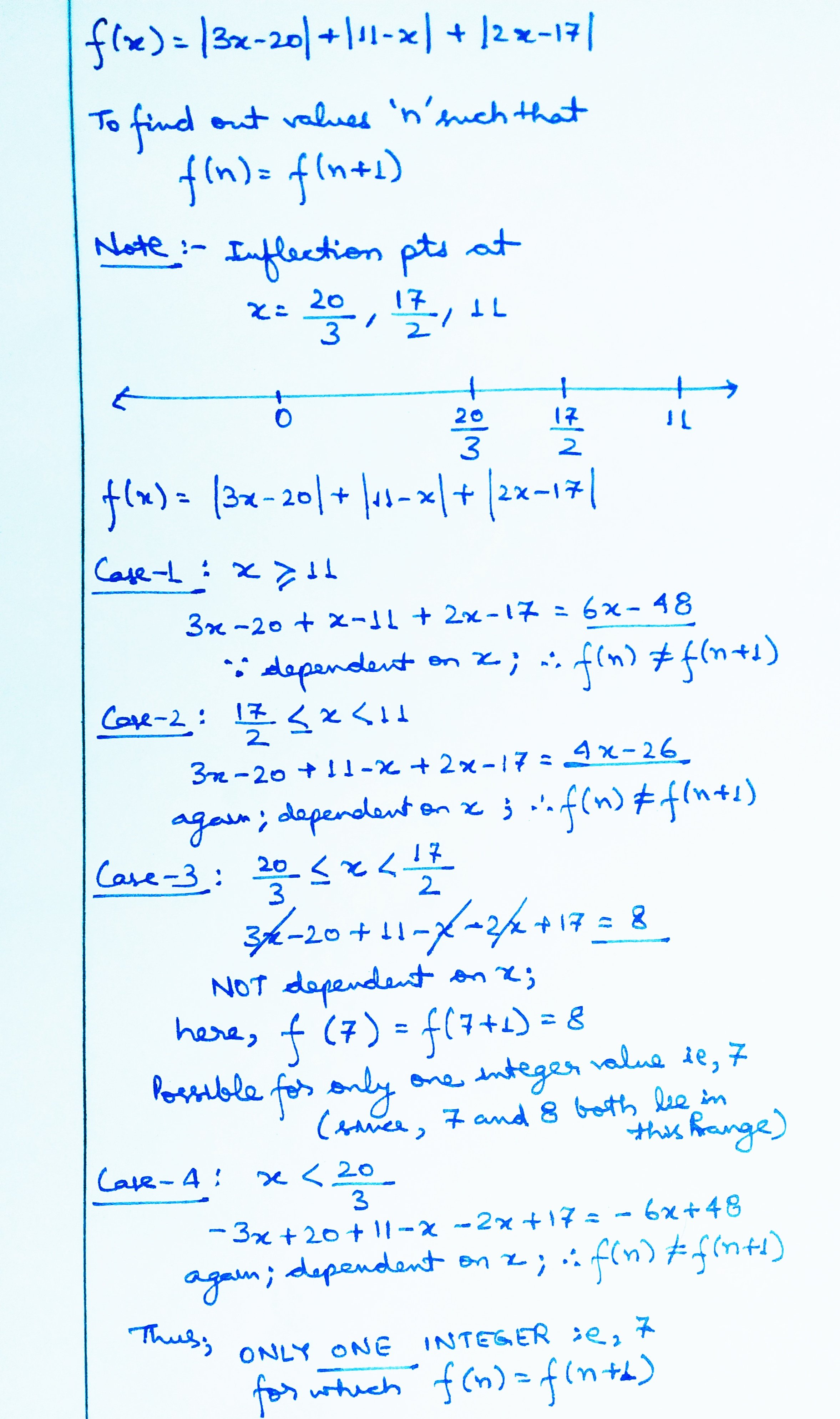
Asked: If \(f(x) = |3x - 20| + |11 - x | + |2x - 17|\), for how many integers n is \(f(n) = f(n + 1\)) ?

Values of x for which the modulus changes signs: -
x = 20/3 = 6 2/3 = 6.66
x = 11
x = 17/2 = 8.5

f(n) = f(n+1)
|3n-20| + |11-n| + |2n-17| = |2n-17|+|10-n|+ |2n-15|

f(6) = |18-20|+|11-6|+|12-17| = 2 + 5 + 5 = 12
f(7) = |21-20| + |11-7| + |14-17| = 1 + 4 + 3 = 8
f(8) = |24-20| + |11-8| + |16-17| = 4 + 3 + 1 = 8
f(9) = |27-20| + |11-9| + |18-17| = 7 + 2 + 1 = 10
f(10) = |30-20| + |11-10| + |20-17| = 10 + 1 + 3 = 14
f(11) = |33-20| + |11-11| + |22-17| = 13+0+5 = 18
f(12) = |36-20| + |11-12| + |24-17| = 16 + 1 + 7 = 24

Only f(7) = f(8) = 8

IMO B
User avatar
bumpbot
User avatar
Non-Human User
Joined: 09 Sep 2013
Last visit: 04 Jan 2021
Posts: 38,589
Own Kudos:
Posts: 38,589
Kudos: 1,079
Kudos
Add Kudos
Bookmarks
Bookmark this Post
Hello from the GMAT Club BumpBot!

Thanks to another GMAT Club member, I have just discovered this valuable topic, yet it had no discussion for over a year. I am now bumping it up - doing my job. I think you may find it valuable (esp those replies with Kudos).

Want to see all other topics I dig out? Follow me (click follow button on profile). You will receive a summary of all topics I bump in your profile area as well as via email.
Moderators:
Math Expert
105390 posts
Tuck School Moderator
805 posts