Last visit was: 22 Apr 2026, 15:18 It is currently 22 Apr 2026, 15:18
Close
GMAT Club Daily Prep
Thank you for using the timer - this advanced tool can estimate your performance and suggest more practice questions. We have subscribed you to Daily Prep Questions via email.

Customized
for You

we will pick new questions that match your level based on your Timer History

Track
Your Progress

every week, we’ll send you an estimated GMAT score based on your performance

Practice
Pays

we will pick new questions that match your level based on your Timer History
Not interested in getting valuable practice questions and articles delivered to your email? No problem, unsubscribe here.
Close
Request Expert Reply
Confirm Cancel
User avatar
guddo
Joined: 25 May 2021
Last visit: 22 Apr 2026
Posts: 1,012
Own Kudos:
11,313
 [24]
Given Kudos: 32
Posts: 1,012
Kudos: 11,313
 [24]
2
Kudos
Add Kudos
22
Bookmarks
Bookmark this Post
User avatar
Bunuel
User avatar
Math Expert
Joined: 02 Sep 2009
Last visit: 22 Apr 2026
Posts: 109,754
Own Kudos:
810,664
 [1]
Given Kudos: 105,823
Products:
Expert
Expert reply
Active GMAT Club Expert! Tag them with @ followed by their username for a faster response.
Posts: 109,754
Kudos: 810,664
 [1]
1
Kudos
Add Kudos
Bookmarks
Bookmark this Post
User avatar
VivekSri
Joined: 01 May 2022
Last visit: 05 Feb 2026
Posts: 468
Own Kudos:
Given Kudos: 117
Location: India
WE:Engineering (Consulting)
Posts: 468
Kudos: 769
Kudos
Add Kudos
Bookmarks
Bookmark this Post
User avatar
gmatophobia
User avatar
Quant Chat Moderator
Joined: 22 Dec 2016
Last visit: 19 Apr 2026
Posts: 3,173
Own Kudos:
11,450
 [1]
Given Kudos: 1,862
Location: India
Concentration: Strategy, Leadership
Posts: 3,173
Kudos: 11,450
 [1]
Kudos
Add Kudos
1
Bookmarks
Bookmark this Post
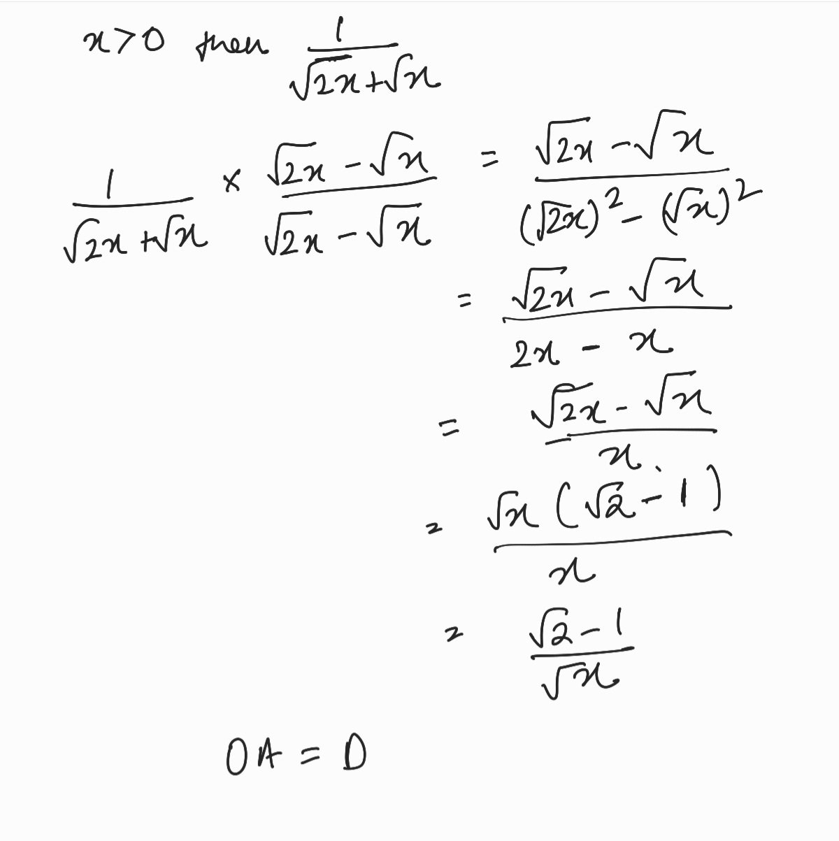
guddo
If x > 0, then \(\frac{1}{\sqrt{2x} + \sqrt{x}} = \)

A. \(\frac{1}{\sqrt{3x}}\)

B. \(\frac{1}{2\sqrt{2x}}\)

C. \(\frac{1}{x\sqrt{2}}\)

D. \(\frac{\sqrt{2} - 1}{\sqrt{x}}\)

E. \(\frac{1 + \sqrt{2}}{\sqrt{x}}\)


Attachment:
2024-01-25_19-36-46.png

Assume x = 1

\(\frac{1}{\sqrt{2x} + \sqrt{x}} = \frac{1}{\sqrt{2*1} + \sqrt{1}} = \frac{1}{\sqrt{2} + \sqrt{1}}\)

Multiplying numerator and denominator by (\(\sqrt{2}-\sqrt{1}\))

\(\frac{1* (\sqrt{2}-\sqrt{1})}{(\sqrt{2} + \sqrt{1})* (\sqrt{2}-\sqrt{1})}\)

\(\frac{\sqrt{2}-\sqrt{1}}{2-1}\)

\(\sqrt{2}-\sqrt{1}\)

Answer choice elimination

A. \(\frac{1}{\sqrt{3x}}\)

x = 1 ⇒

\(\frac{1}{\sqrt{3}}\) ⇒ Eliminate

B. \(\frac{1}{2\sqrt{2x}}\)

x = 1 ⇒

\(\frac{1}{\sqrt{2\sqrt{2}}}\) ⇒ Eliminate

C. \(\frac{1}{x\sqrt{2}}\)

x = 1 ⇒

\(\frac{1}{\sqrt{2}}\) ⇒ Eliminate

D. \(\frac{\sqrt{2} - 1}{\sqrt{x}}\)

x = 1 ⇒

\(\frac{\sqrt{2} - 1}{\sqrt{1}}\) ⇒ Keep

E. \(\frac{1 + \sqrt{2}}{\sqrt{x}}\)

x = 1 ⇒

\(\frac{1 + \sqrt{2}}{\sqrt{1}}\) ⇒ Eliminate
User avatar
bumpbot
User avatar
Non-Human User
Joined: 09 Sep 2013
Last visit: 04 Jan 2021
Posts: 38,966
Own Kudos:
Posts: 38,966
Kudos: 1,117
Kudos
Add Kudos
Bookmarks
Bookmark this Post
Automated notice from GMAT Club BumpBot:

A member just gave Kudos to this thread, showing it’s still useful. I’ve bumped it to the top so more people can benefit. Feel free to add your own questions or solutions.

This post was generated automatically.
Moderators:
Math Expert
109754 posts
Tuck School Moderator
853 posts