Last visit was: 01 May 2026, 21:36 It is currently 01 May 2026, 21:36
Close
GMAT Club Daily Prep
Thank you for using the timer - this advanced tool can estimate your performance and suggest more practice questions. We have subscribed you to Daily Prep Questions via email.

Customized
for You

we will pick new questions that match your level based on your Timer History

Track
Your Progress

every week, we’ll send you an estimated GMAT score based on your performance

Practice
Pays

we will pick new questions that match your level based on your Timer History
Not interested in getting valuable practice questions and articles delivered to your email? No problem, unsubscribe here.
Close
Request Expert Reply
Confirm Cancel
655-705 (Hard)|   Exponents|               
User avatar
avigutman
Joined: 17 Jul 2019
Last visit: 30 Sep 2025
Posts: 1,285
Own Kudos:
1,900
 [1]
Given Kudos: 66
Location: Canada
GMAT 1: 780 Q51 V45
GMAT 2: 780 Q50 V47
GMAT 3: 770 Q50 V45
Expert
Expert reply
GMAT 3: 770 Q50 V45
Posts: 1,285
Kudos: 1,900
 [1]
1
Kudos
Add Kudos
Bookmarks
Bookmark this Post
User avatar
vv65
Joined: 01 Mar 2015
Last visit: 30 Apr 2026
Posts: 536
Own Kudos:
Given Kudos: 778
Location: India
GMAT 1: 740 Q47 V44
GMAT 1: 740 Q47 V44
Posts: 536
Kudos: 405
Kudos
Add Kudos
Bookmarks
Bookmark this Post
User avatar
woohoo921
Joined: 04 Jun 2020
Last visit: 17 Mar 2023
Posts: 493
Own Kudos:
Given Kudos: 623
Posts: 493
Kudos: 150
Kudos
Add Kudos
Bookmarks
Bookmark this Post
User avatar
chetan2u
User avatar
GMAT Expert
Joined: 02 Aug 2009
Last visit: 01 May 2026
Posts: 11,235
Own Kudos:
45,064
 [1]
Given Kudos: 335
Status:Math and DI Expert
Location: India
Concentration: Human Resources, General Management
GMAT Focus 1: 735 Q90 V89 DI81
Products:
Expert
Expert reply
Active GMAT Club Expert! Tag them with @ followed by their username for a faster response.
GMAT Focus 1: 735 Q90 V89 DI81
Posts: 11,235
Kudos: 45,064
 [1]
1
Kudos
Add Kudos
Bookmarks
Bookmark this Post
woohoo921
chetan2u
carcass
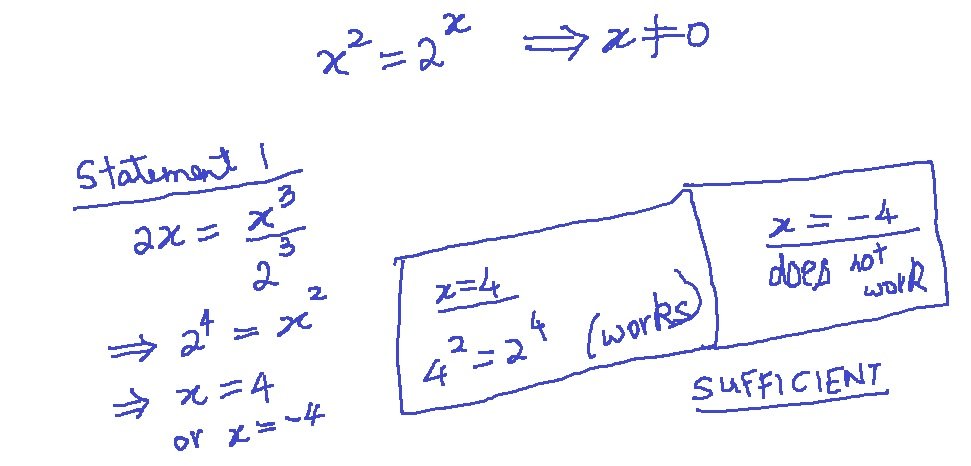
If \(x^2 = 2^x\), what is the value of x ?


(1) \(2x = (\frac{x}{2})^3\)

(2) \(x = 2^x-2\)

Hi..

If \(x^2 = 2^x\), what is the value of x ?


(1) \(2x = (\frac{x}{2})^3\)
\(x*(\frac{x^2}{8}-2)=0\)
we get x as 0, 4 or -4..
when we substitute value in \(x^2 = 2^x\), ONLY x = 4 is possible..
sufficient


(2) \(x = 2^{x-2}\)
or \(x=2^{x-2}\)...
2^x has to be multiple of 2 and so also x should be in power of 2 that is 2,4,8,16...AND x will fit in only at x=4 as \(2^{4-2}\)
ONLY when x is 4 both sides are 4.
.
suff

D

carcass i believe statement II should be \(x=2^{x-2}\).. here possible value is 4 SAME as statement I.. pl relook into Q

chetan2u

Thank you for your helpful explanation. I am just a bit confused on expressing x=2^(x−2) in different ways...
To confirm, does 2^(x-2) = (2^x)*(2^-2) ?

Thank you!

Hi

\(2^{x-2}=2^x*2^{(-2)}=2^x*\frac{1}{2^2}=\frac{2^x}{2^2}\)
User avatar
achloes
Joined: 16 Oct 2020
Last visit: 19 May 2025
Posts: 244
Own Kudos:
Given Kudos: 2,382
GMAT 1: 460 Q28 V26
GMAT 2: 550 Q39 V27
GMAT 3: 610 Q39 V35
GMAT 4: 650 Q42 V38
GMAT 5: 720 Q48 V41
GMAT 5: 720 Q48 V41
Posts: 244
Kudos: 221
Kudos
Add Kudos
Bookmarks
Bookmark this Post
avigutman gmatophobia vv65

Would you mind checking if my approach is sound? I'm unsure mainly because it does not seem to produce 0 or negative values for x.

Free info: x^2 = 2^x

S1. 2x = x^3/2^3

Isolating x...
x^2 = (2^3)(2)
x^2 = 2^4

Powering both sides by 1/2 to find x...
x = 2^2 = 4

SUFFICIENT

S2. x = 2^(x-2)
x = 2^x/2^2

Replacing 2^x with x^2...
x = x^2/2^2

Isolating x...
x = 2^2 = 4

SUFFICIENT
User avatar
avigutman
Joined: 17 Jul 2019
Last visit: 30 Sep 2025
Posts: 1,285
Own Kudos:
1,900
 [2]
Given Kudos: 66
Location: Canada
GMAT 1: 780 Q51 V45
GMAT 2: 780 Q50 V47
GMAT 3: 770 Q50 V45
Expert
Expert reply
GMAT 3: 770 Q50 V45
Posts: 1,285
Kudos: 1,900
 [2]
2
Kudos
Add Kudos
Bookmarks
Bookmark this Post
achloes
avigutman gmatophobia vv65

Would you mind checking if my approach is sound? I'm unsure mainly because it does not seem to produce 0 or negative values for x.

Free info: x^2 = 2^x

S1. 2x = x^3/2^3

Isolating x...
x^2 = (2^3)(2)
x^2 = 2^4

Powering both sides by 1/2 to find x...
x = 2^2 = 4

SUFFICIENT

S2. x = 2^(x-2)
x = 2^x/2^2

Replacing 2^x with x^2...
x = x^2/2^2

Isolating x...
x = 2^2 = 4

SUFFICIENT
Hi achloes, I highlighted your errors above.
In general, I advise students to use arithmetic language when they manipulate equations and inequalities. So, use "dividing the equation by a factor of x" rather than "isolating x". That way you're more likely to realize that you can't perform that operation without acknowledging the possibility that x=0.
Your other error was not accounting for the possibility that x is negative when you took the square root of the equation.
If we know that x^2=9, for example, we can only infer that x is 3 units away from zero, but there's no way for us to know which side. In other words:
x^2 = 9 ---> |x| = 3
User avatar
achloes
Joined: 16 Oct 2020
Last visit: 19 May 2025
Posts: 244
Own Kudos:
Given Kudos: 2,382
GMAT 1: 460 Q28 V26
GMAT 2: 550 Q39 V27
GMAT 3: 610 Q39 V35
GMAT 4: 650 Q42 V38
GMAT 5: 720 Q48 V41
GMAT 5: 720 Q48 V41
Posts: 244
Kudos: 221
Kudos
Add Kudos
Bookmarks
Bookmark this Post
avigutman
achloes
avigutman gmatophobia vv65

Would you mind checking if my approach is sound? I'm unsure mainly because it does not seem to produce 0 or negative values for x.

Free info: x^2 = 2^x

S1. 2x = x^3/2^3

Isolating x...
x^2 = (2^3)(2)
x^2 = 2^4

Powering both sides by 1/2 to find x...
x = 2^2 = 4

SUFFICIENT

S2. x = 2^(x-2)
x = 2^x/2^2

Replacing 2^x with x^2...
x = x^2/2^2

Isolating x...
x = 2^2 = 4

SUFFICIENT
Hi achloes, I highlighted your errors above.
In general, I advise students to use arithmetic language when they manipulate equations and inequalities. So, use "dividing the equation by a factor of x" rather than "isolating x". That way you're more likely to realize that you can't perform that operation without acknowledging the possibility that x=0.
Your other error was not accounting for the possibility that x is negative when you took the square root of the equation.
If we know that x^2=9, for example, we can only infer that x is 3 units away from zero, but there's no way for us to know which side. In other words:
x^2 = 9 ---> |x| = 3

Flawless explanation - thank you!
User avatar
vv65
Joined: 01 Mar 2015
Last visit: 30 Apr 2026
Posts: 536
Own Kudos:
405
 [2]
Given Kudos: 778
Location: India
GMAT 1: 740 Q47 V44
GMAT 1: 740 Q47 V44
Posts: 536
Kudos: 405
 [2]
2
Kudos
Add Kudos
Bookmarks
Bookmark this Post
achloes
Would you mind checking if my approach is sound? I'm unsure mainly because it does not seem to produce 0 or negative values for x.
Your answer for this question was right; that was luck. AviGutman has already explained the possibilities you neglected.

We must always remember these points:
x^2 = 4 does not always mean x=2. It could mean x = -2.
2x = xy does not always mean y=2. It could mean x=0.
Neglecting these possibilities will often (usually?) lead to a wrong answer.
User avatar
bumpbot
User avatar
Non-Human User
Joined: 09 Sep 2013
Last visit: 04 Jan 2021
Posts: 39,012
Own Kudos:
Posts: 39,012
Kudos: 1,122
Kudos
Add Kudos
Bookmarks
Bookmark this Post
Automated notice from GMAT Club BumpBot:

A member just gave Kudos to this thread, showing it’s still useful. I’ve bumped it to the top so more people can benefit. Feel free to add your own questions or solutions.

This post was generated automatically.
   1   2 
Moderators:
Math Expert
110001 posts
498 posts
215 posts