Last visit was: 19 Nov 2025, 12:16 It is currently 19 Nov 2025, 12:16
Close
GMAT Club Daily Prep
Thank you for using the timer - this advanced tool can estimate your performance and suggest more practice questions. We have subscribed you to Daily Prep Questions via email.

Customized
for You

we will pick new questions that match your level based on your Timer History

Track
Your Progress

every week, we’ll send you an estimated GMAT score based on your performance

Practice
Pays

we will pick new questions that match your level based on your Timer History
Not interested in getting valuable practice questions and articles delivered to your email? No problem, unsubscribe here.
Close
Request Expert Reply
Confirm Cancel
User avatar
Bunuel
User avatar
Math Expert
Joined: 02 Sep 2009
Last visit: 19 Nov 2025
Posts: 105,390
Own Kudos:
Given Kudos: 99,977
Products:
Expert
Expert reply
Active GMAT Club Expert! Tag them with @ followed by their username for a faster response.
Posts: 105,390
Kudos: 778,337
 [49]
Kudos
Add Kudos
48
Bookmarks
Bookmark this Post
Most Helpful Reply
User avatar
gmatophobia
User avatar
Quant Chat Moderator
Joined: 22 Dec 2016
Last visit: 19 Nov 2025
Posts: 3,170
Own Kudos:
10,419
 [12]
Given Kudos: 1,861
Location: India
Concentration: Strategy, Leadership
Posts: 3,170
Kudos: 10,419
 [12]
8
Kudos
Add Kudos
4
Bookmarks
Bookmark this Post
General Discussion
User avatar
mmdfl
Joined: 06 Aug 2022
Last visit: 13 Dec 2024
Posts: 104
Own Kudos:
277
 [1]
Given Kudos: 165
Location: Brazil
Concentration: Technology, Economics
Posts: 104
Kudos: 277
 [1]
Kudos
Add Kudos
1
Bookmarks
Bookmark this Post
User avatar
Paras96
Joined: 11 Sep 2022
Last visit: 30 Dec 2023
Posts: 460
Own Kudos:
Given Kudos: 2
Location: India
Paras: Bhawsar
GMAT 1: 590 Q47 V24
GMAT 2: 580 Q49 V21
GMAT 3: 700 Q49 V35
GPA: 3.2
WE:Project Management (Other)
GMAT 3: 700 Q49 V35
Posts: 460
Kudos: 322
Kudos
Add Kudos
Bookmarks
Bookmark this Post
1/a△(1/b△1/c)
=1/a△[1/bc(1/c+1/b)]
=1/a△[1/(b+c)]
=(1/a(b+c))/(1/a+1/(b+c))
=1/(a+b+c)

Hence C
User avatar
BrushMyQuant
Joined: 05 Apr 2011
Last visit: 21 Oct 2025
Posts: 2,284
Own Kudos:
2,552
 [4]
Given Kudos: 100
Status:Tutor - BrushMyQuant
Location: India
Concentration: Finance, Marketing
Schools: XLRI (A)
GMAT 1: 700 Q51 V31
GPA: 3
WE:Information Technology (Computer Software)
Expert
Expert reply
Schools: XLRI (A)
GMAT 1: 700 Q51 V31
Posts: 2,284
Kudos: 2,552
 [4]
1
Kudos
Add Kudos
3
Bookmarks
Bookmark this Post
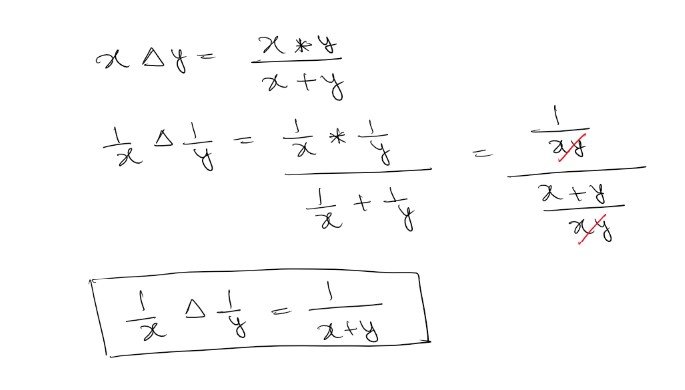
\(x△y = \frac{xy}{x + y}\) and we need to find the value of \(\frac{1}{a}△(\frac{1}{b}△\frac{1}{c})\) ?

\(\frac{1}{b}△\frac{1}{c}\) = \(\frac{\frac{1}{b} * \frac{1}{c}}{ \frac{1}{b} + \frac{1}{c}}\) = \(\frac{\frac{1}{bc}}{\frac{b+c}{bc}}\) = \(\frac{1}{b+c}\)

Similarly, \(\frac{1}{a}\) △ \((\frac{1}{b}△\frac{1}{c})\) = \(\frac{1 }{ a + b + c}\)

So, Answer will be C
Hope it helps!

Watch the following video to learn the Basics of Functions and Custom Characters

User avatar
Khwarizmi
Joined: 19 Feb 2023
Last visit: 10 Jan 2024
Posts: 20
Own Kudos:
5
 [2]
Given Kudos: 42
Posts: 20
Kudos: 5
 [2]
2
Kudos
Add Kudos
Bookmarks
Bookmark this Post
I wonder if this belongs in the sub-500 difficulty level.
User avatar
Bunuel
User avatar
Math Expert
Joined: 02 Sep 2009
Last visit: 19 Nov 2025
Posts: 105,390
Own Kudos:
778,337
 [1]
Given Kudos: 99,977
Products:
Expert
Expert reply
Active GMAT Club Expert! Tag them with @ followed by their username for a faster response.
Posts: 105,390
Kudos: 778,337
 [1]
1
Kudos
Add Kudos
Bookmarks
Bookmark this Post
Khwarizmi
I wonder if this belongs in the sub-500 difficulty level.

We do not assign the difficulty level manually. The difficulty level of a question on the site is determined automatically based on various parameters collected from users' attempts, such as the percentage of correct answers and the time taken to answer the question. You can find the difficulty level of a question and its related statistics in the first post. So, the difficulty level of this question is Sub 500 Level based on the timer attempts from the users.
User avatar
bumpbot
User avatar
Non-Human User
Joined: 09 Sep 2013
Last visit: 04 Jan 2021
Posts: 38,589
Own Kudos:
Posts: 38,589
Kudos: 1,079
Kudos
Add Kudos
Bookmarks
Bookmark this Post
Hello from the GMAT Club BumpBot!

Thanks to another GMAT Club member, I have just discovered this valuable topic, yet it had no discussion for over a year. I am now bumping it up - doing my job. I think you may find it valuable (esp those replies with Kudos).

Want to see all other topics I dig out? Follow me (click follow button on profile). You will receive a summary of all topics I bump in your profile area as well as via email.
Moderators:
Math Expert
105390 posts
Tuck School Moderator
805 posts