Last visit was: 23 Apr 2026, 20:08 It is currently 23 Apr 2026, 20:08
Close
GMAT Club Daily Prep
Thank you for using the timer - this advanced tool can estimate your performance and suggest more practice questions. We have subscribed you to Daily Prep Questions via email.

Customized
for You

we will pick new questions that match your level based on your Timer History

Track
Your Progress

every week, we’ll send you an estimated GMAT score based on your performance

Practice
Pays

we will pick new questions that match your level based on your Timer History
Not interested in getting valuable practice questions and articles delivered to your email? No problem, unsubscribe here.
Close
Request Expert Reply
Confirm Cancel
User avatar
Bunuel
User avatar
Math Expert
Joined: 02 Sep 2009
Last visit: 23 Apr 2026
Posts: 109,785
Own Kudos:
810,875
 [1]
Given Kudos: 105,853
Products:
Expert
Expert reply
Active GMAT Club Expert! Tag them with @ followed by their username for a faster response.
Posts: 109,785
Kudos: 810,875
 [1]
Kudos
Add Kudos
1
Bookmarks
Bookmark this Post
User avatar
amanvermagmat
User avatar
Retired Moderator
Joined: 22 Aug 2013
Last visit: 28 Mar 2025
Posts: 1,142
Own Kudos:
Given Kudos: 480
Location: India
Posts: 1,142
Kudos: 2,973
Kudos
Add Kudos
Bookmarks
Bookmark this Post
User avatar
GMATBusters
User avatar
GMAT Tutor
Joined: 27 Oct 2017
Last visit: 23 Apr 2026
Posts: 1,922
Own Kudos:
6,856
 [1]
Given Kudos: 241
WE:General Management (Education)
Expert
Expert reply
Posts: 1,922
Kudos: 6,856
 [1]
1
Kudos
Add Kudos
Bookmarks
Bookmark this Post
User avatar
KSBGC
Joined: 31 Oct 2013
Last visit: 10 Mar 2022
Posts: 1,240
Own Kudos:
Given Kudos: 635
Concentration: Accounting, Finance
GPA: 3.68
WE:Analyst (Accounting)
Posts: 1,240
Kudos: 1,509
Kudos
Add Kudos
Bookmarks
Bookmark this Post
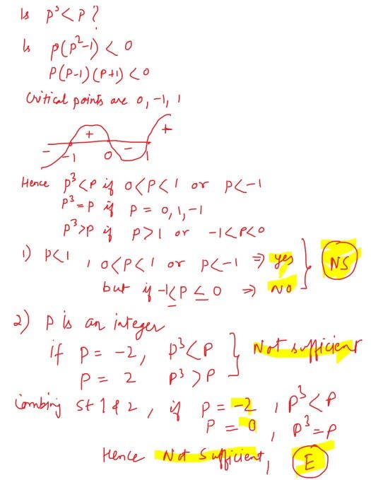
Bunuel
Is p^3 < p?

(1) p < 1

(2) p is an integer

we are looking whetherp^3\(\) is less than p or not.

statement 1: it states that p<1. thus, p could be 0 , -2, - 100, -1/2. If we just consider p=0, p^3\(\) and p will be same. Thus, statement 1 is not sufficient.

statement 2: p is and integer.
o is also an integer. in that case p^3 and p will be same. Integer can be negative or positive. thus answer will vary.

statement 1+2: still not sufficient. statement 1 tells us the range and statement 2 tells us that p is an integer. because of 0, we won't get the perfect answer.

thus , the correct answer is E.
avatar
krish76
Joined: 16 Jan 2018
Last visit: 17 Feb 2020
Posts: 44
Own Kudos:
Given Kudos: 16
Concentration: Finance, Technology
GMAT 1: 600 Q40 V33
Products:
GMAT 1: 600 Q40 V33
Posts: 44
Kudos: 31
Kudos
Add Kudos
Bookmarks
Bookmark this Post
question becomes -

is P^3 -P <1

or is (p-0)(p-1)(p- (-1)) < 0

drawing number line says this is true only when P is b/n 0 and 1 (not inclusive) and P is <-1 (non inclusive)

1) P < 1 clearly NS ( as the equation is > 0 b/n -1 and 0 and -ve b/n 0 and 1)
2) P is an integer again NS

(1) + (2) -
equation doesn't hold true If P is -1 ( equation is > 0) .
equation holds true for integers to left of -1 i.e. P(p-1)(p+1) is < 0

Answer (E)
User avatar
Mo2men
Joined: 26 Mar 2013
Last visit: 09 May 2023
Posts: 2,426
Own Kudos:
Given Kudos: 641
Concentration: Operations, Strategy
Schools: Erasmus (II)
Products:
Schools: Erasmus (II)
Posts: 2,426
Kudos: 1,508
Kudos
Add Kudos
Bookmarks
Bookmark this Post
Bunuel
Is p^3 < p?

(1) p < 1

(2) p is an integer


(1) p < 1

Let p = 0................Answer is No

Let p = -2...............Answer is Yes

Insufficient

(2) p is an integer

Let p = 0................Answer is No

Let p = -2...............Answer is Yes

Insufficient

Combine 1 & 2

Same examples lead to no clear cut

Answer: E
Moderators:
Math Expert
109785 posts
498 posts
212 posts