Last visit was: 27 May 2026, 02:57 It is currently 27 May 2026, 02:57
Close
GMAT Club Daily Prep
Thank you for using the timer - this advanced tool can estimate your performance and suggest more practice questions. We have subscribed you to Daily Prep Questions via email.

Customized
for You

we will pick new questions that match your level based on your Timer History

Track
Your Progress

every week, we’ll send you an estimated GMAT score based on your performance

Practice
Pays

we will pick new questions that match your level based on your Timer History
Not interested in getting valuable practice questions and articles delivered to your email? No problem, unsubscribe here.
Close
Request Expert Reply
Confirm Cancel
User avatar
gmatophobia
User avatar
Quant Chat Moderator
Joined: 22 Dec 2016
Last visit: 10 May 2026
Posts: 3,173
Own Kudos:
11,617
 [2]
Given Kudos: 1,860
Location: India
Concentration: Strategy, Leadership
Posts: 3,173
Kudos: 11,617
 [2]
1
Kudos
Add Kudos
1
Bookmarks
Bookmark this Post
User avatar
EducationAisle
Joined: 27 Mar 2010
Last visit: 26 May 2026
Posts: 3,935
Own Kudos:
3,588
 [1]
Given Kudos: 159
Location: India
Schools: ISB
GPA: 3.31
Expert
Expert reply
Active GMAT Club Expert! Tag them with @ followed by their username for a faster response.
Schools: ISB
Posts: 3,935
Kudos: 3,588
 [1]
1
Kudos
Add Kudos
Bookmarks
Bookmark this Post
User avatar
bb
User avatar
Founder
Joined: 04 Dec 2002
Last visit: 26 May 2026
Posts: 43,317
Own Kudos:
83,987
 [1]
Given Kudos: 24,728
Location: United States
GMAT 1: 750 Q49 V42
GPA: 3
Products:
Expert
Expert reply
Active GMAT Club Expert! Tag them with @ followed by their username for a faster response.
GMAT 1: 750 Q49 V42
Posts: 43,317
Kudos: 83,987
 [1]
1
Kudos
Add Kudos
Bookmarks
Bookmark this Post
User avatar
gmatophobia
User avatar
Quant Chat Moderator
Joined: 22 Dec 2016
Last visit: 10 May 2026
Posts: 3,173
Own Kudos:
11,617
 [1]
Given Kudos: 1,860
Location: India
Concentration: Strategy, Leadership
Posts: 3,173
Kudos: 11,617
 [1]
1
Kudos
Add Kudos
Bookmarks
Bookmark this Post
 
bb
Hi. Thanks for the question.

We built a calculator based on a similar formula last year. https://gmatclub.com/forum/gmat-focus-s ... 18782.html

As far as I know, every score I have seen it matches up. The formula is indeed pretty simple but not the same as what you have shown. Why does DI have 78 and everything else have 80?

The formula is pretty straightforward to figure out. It is sum of the scores minus 180. Times 2/3 and plus 205. So it is the same as what you shared with the exception of 78. it has worked for us with 80 for our calculator. I have not tried 78 or other numbers because the results matched up fairly closely.

Posted from my mobile device
­
Thanks for your input. 

The score set that I used was from someone's profile to check if the formula works :lol:

I didn't know that we already cracked the code. I was pretty surprised (and impressed) when I saw some of the scores match. Hence, I thought of sharing. 

P.S. Yes, the calculator you shared works with 78 as well   :thumbsup:
User avatar
MartyMurray
Joined: 11 Aug 2023
Last visit: 26 May 2026
Posts: 1,953
Own Kudos:
Given Kudos: 220
GMAT 1: 800 Q51 V51
Expert
Expert reply
Active GMAT Club Expert! Tag them with @ followed by their username for a faster response.
GMAT 1: 800 Q51 V51
Posts: 1,953
Kudos: 7,358
Kudos
Add Kudos
Bookmarks
Bookmark this Post
gmatophobia
­Happen to find someone post in one of the GMAT Preparation groups about this relationship between sectional score and total score 

Approximate Total Score = 

Attachment:
Screenshot 2024-03-23 221823.png

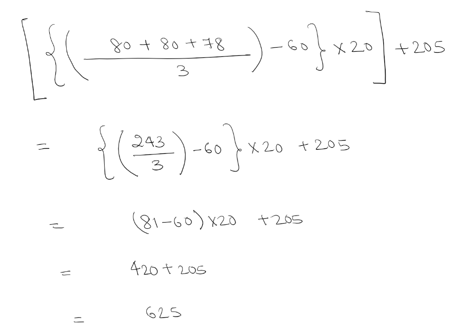
Example:

Q - 85
V - 80
DI - 78

Total Score = 

Attachment:
Screenshot 2024-03-23 222119.png
 ­
I verified the relationship with a few scores posted on the forum; the actual and predicted scores are quite close (in fact equal in some cases).

bb , MartyMurray , Experts - Did you happen to see this formula or relationship before?

P.S. - Please take this post with a pinch of salt. I couldn't make much sense of the formula nor is this officially verified. ­
­Yes, that formula is correct. I used test scores to create a table with total scores and their associated section scores, and came up with the same relationship.
User avatar
bb
User avatar
Founder
Joined: 04 Dec 2002
Last visit: 26 May 2026
Posts: 43,317
Own Kudos:
83,987
 [1]
Given Kudos: 24,728
Location: United States
GMAT 1: 750 Q49 V42
GPA: 3
Products:
Expert
Expert reply
Active GMAT Club Expert! Tag them with @ followed by their username for a faster response.
GMAT 1: 750 Q49 V42
Posts: 43,317
Kudos: 83,987
 [1]
1
Kudos
Add Kudos
Bookmarks
Bookmark this Post
Interesting we have a first report that breaks this relationship. It is the first one... the total comes out as 638.3 as the total based on 86, 81, 78­. But GMAT reports this as 645

Could the score be rounded up? 638 as 645?­
But then why is 90, 87, 77 is not rounded up in this case?

Attachment:
total-gmat-mismatch.gif
total-gmat-mismatch.gif [ 36.75 KiB | Viewed 1732 times ]
­