Last visit was: 23 May 2026, 18:44 It is currently 23 May 2026, 18:44
Close
GMAT Club Daily Prep
Thank you for using the timer - this advanced tool can estimate your performance and suggest more practice questions. We have subscribed you to Daily Prep Questions via email.

Customized
for You

we will pick new questions that match your level based on your Timer History

Track
Your Progress

every week, we’ll send you an estimated GMAT score based on your performance

Practice
Pays

we will pick new questions that match your level based on your Timer History
Not interested in getting valuable practice questions and articles delivered to your email? No problem, unsubscribe here.
Close
Request Expert Reply
Confirm Cancel
Events & Promotions
User avatar
Donnie84
Joined: 04 Jan 2014
Last visit: 25 Jun 2025
Posts: 496
Own Kudos:
Given Kudos: 15
GMAT 1: 660 Q48 V32
GMAT 2: 630 Q48 V28
GMAT 3: 680 Q48 V35
GMAT 3: 680 Q48 V35
Posts: 496
Kudos: 281
Kudos
Add Kudos
Bookmarks
Bookmark this Post
User avatar
BrushMyQuant
Joined: 05 Apr 2011
Last visit: 22 May 2026
Posts: 2,287
Own Kudos:
Given Kudos: 100
Status:Tutor - BrushMyQuant
Location: India
Concentration: Finance, Marketing
Schools: XLRI (A)
GMAT 1: 700 Q51 V31
GPA: 3
WE:Information Technology (Computer Software)
Expert
Expert reply
Schools: XLRI (A)
GMAT 1: 700 Q51 V31
Posts: 2,287
Kudos: 2,702
Kudos
Add Kudos
Bookmarks
Bookmark this Post
User avatar
Prachimandloi12
Joined: 17 Oct 2024
Last visit: 04 Feb 2025
Posts: 2
Own Kudos:
2
 [1]
Given Kudos: 1
Posts: 2
Kudos: 2
 [1]
1
Kudos
Add Kudos
Bookmarks
Bookmark this Post
User avatar
Prachimandloi12
Joined: 17 Oct 2024
Last visit: 04 Feb 2025
Posts: 2
Own Kudos:
2
 [1]
Given Kudos: 1
Posts: 2
Kudos: 2
 [1]
1
Kudos
Add Kudos
Bookmarks
Bookmark this Post
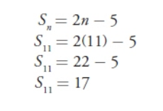
I have 1 doubt like they are asking for the 11th term you find the sum of 11 terms ..

It may be goes like :

11th term = S10-S11

So S10 = 2*10-5=15
S11 = 2*11-5 =17

So 11th term would be 2
User avatar
Sajjad1994
User avatar
GRE Forum Moderator
Joined: 02 Nov 2016
Last visit: 23 May 2026
Posts: 16,708
Own Kudos:
Given Kudos: 6,358
GPA: 3.62
Products:
Posts: 16,708
Kudos: 52,277
Kudos
Add Kudos
Bookmarks
Bookmark this Post
OE

Plug 11 directly into the formula to solve.



The 11th term in the sequence is 17.
Attachment:
GMAT-Club-Forum-d0ucz4b5.png
GMAT-Club-Forum-d0ucz4b5.png [ 19.25 KiB | Viewed 339 times ]