Last visit was: 22 Apr 2026, 18:01 It is currently 22 Apr 2026, 18:01
Close
GMAT Club Daily Prep
Thank you for using the timer - this advanced tool can estimate your performance and suggest more practice questions. We have subscribed you to Daily Prep Questions via email.

Customized
for You

we will pick new questions that match your level based on your Timer History

Track
Your Progress

every week, we’ll send you an estimated GMAT score based on your performance

Practice
Pays

we will pick new questions that match your level based on your Timer History
Not interested in getting valuable practice questions and articles delivered to your email? No problem, unsubscribe here.
Close
Request Expert Reply
Confirm Cancel
Sub 505 (Easy)|   Arithmetic|   Fractions and Ratios|                           
User avatar
Bunuel
User avatar
Math Expert
Joined: 02 Sep 2009
Last visit: 22 Apr 2026
Posts: 109,754
Own Kudos:
Given Kudos: 105,823
Products:
Expert
Expert reply
Active GMAT Club Expert! Tag them with @ followed by their username for a faster response.
Posts: 109,754
Kudos: 810,671
 [78]
14
Kudos
Add Kudos
63
Bookmarks
Bookmark this Post
Most Helpful Reply
User avatar
Bunuel
User avatar
Math Expert
Joined: 02 Sep 2009
Last visit: 22 Apr 2026
Posts: 109,754
Own Kudos:
Given Kudos: 105,823
Products:
Expert
Expert reply
Active GMAT Club Expert! Tag them with @ followed by their username for a faster response.
Posts: 109,754
Kudos: 810,671
 [44]
28
Kudos
Add Kudos
16
Bookmarks
Bookmark this Post
User avatar
EvaJager
Joined: 22 Mar 2011
Last visit: 31 Aug 2016
Posts: 513
Own Kudos:
2,370
 [8]
Given Kudos: 43
WE:Science (Education)
Posts: 513
Kudos: 2,370
 [8]
6
Kudos
Add Kudos
2
Bookmarks
Bookmark this Post
General Discussion
User avatar
fameatop
Joined: 24 Aug 2009
Last visit: 09 Jun 2017
Posts: 382
Own Kudos:
2,550
 [3]
Given Kudos: 275
Concentration: Finance
Schools:Harvard, Columbia, Stern, Booth, LSB,
Posts: 382
Kudos: 2,550
 [3]
3
Kudos
Add Kudos
Bookmarks
Bookmark this Post
7/8 + 1/9 ---> .864+ .11--->.97
Answer B
avatar
Dhruvaj
Joined: 15 Sep 2012
Last visit: 01 Oct 2012
Posts: 3
Own Kudos:
4
 [1]
GMAT Date: 10-18-2012
Posts: 3
Kudos: 4
 [1]
1
Kudos
Add Kudos
Bookmarks
Bookmark this Post
7/8 + 1/9 = 71/72, which is surely between 3/4 to 1.

So the answer choice B.
User avatar
dexerash
Joined: 12 Mar 2012
Last visit: 05 Sep 2019
Posts: 76
Own Kudos:
116
 [2]
Given Kudos: 17
Location: India
Concentration: Technology, General Management
GMAT Date: 07-23-2012
WE:Programming (Telecommunications)
Posts: 76
Kudos: 116
 [2]
2
Kudos
Add Kudos
Bookmarks
Bookmark this Post
Bunuel


The sum \(\frac{7}{8}+\frac{1}{9}\) is between

(A) \(\frac{1}{2}\) and \(\frac{3}{4}\)

(B) \(\frac{3}{4}\) and 1

(C) 1 and \(1\frac{1}{4}\)

(D) \(1\frac{1}{4}\) and \(1\frac{1}{2}\)

(E) \(1\frac{1}{2}\) and 2


taking LCM of denominator, the expression becomes
7/8 + 1/9 = (63+8)/72 = 71/72
This is slightly lesser than 1, which satisfies option B

Hence B
User avatar
Carcass
User avatar
Board of Directors
Joined: 01 Sep 2010
Last visit: 22 Apr 2026
Posts: 4,712
Own Kudos:
37,833
 [3]
Given Kudos: 4,925
Posts: 4,712
Kudos: 37,833
 [3]
3
Kudos
Add Kudos
Bookmarks
Bookmark this Post
LCM ----> 71/72 we can notice that 72/72 is 1 so 71/72 must be a bit less than 1 but is impossible to be under 3/4 (0.75). Must be between 3/4 and 1. So B
User avatar
aeglorre
Joined: 12 Jan 2013
Last visit: 21 Sep 2014
Posts: 103
Own Kudos:
228
 [3]
Given Kudos: 47
Posts: 103
Kudos: 228
 [3]
3
Kudos
Add Kudos
Bookmarks
Bookmark this Post
Bunuel
The sum \(\frac{7}{8}+\frac{1}{9}\) is between

(A) \(\frac{1}{2}\) and \(\frac{3}{4}\)

(B) \(\frac{3}{4}\) and 1

(C) 1 and \(1\frac{1}{4}\)

(D) \(1\frac{1}{4}\) and \(1\frac{1}{2}\)

(E) \(1\frac{1}{2}\) and 2

If you know how to efficiently convert fractions to decimals, this question is pretty straightforward:

1/8 = 0.125 so 7/8 = 0.875... 1/9 = 0.111111...

So 0.875 + 0.111 = 0.986.. Only B works.
User avatar
ENGRTOMBA2018
Joined: 20 Mar 2014
Last visit: 01 Dec 2021
Posts: 2,319
Own Kudos:
3,889
 [5]
Given Kudos: 816
Concentration: Finance, Strategy
GMAT 1: 750 Q49 V44
GPA: 3.7
WE:Engineering (Aerospace and Defense)
Products:
GMAT 1: 750 Q49 V44
Posts: 2,319
Kudos: 3,889
 [5]
5
Kudos
Add Kudos
Bookmarks
Bookmark this Post
ozzykhan
Is there an easy way to solve this question? The question is # 49 from OG16 and for those who don't have the new OG16, the question is

The sum of 7/8 + 1/9 is between

a.) 1/2 and 3/4
b.) 3/4 and 1
c.) 1 and 5/4
d.) 5/4 and 3/2
e.) 3/2 and 2.

The answer at the back of the OG is given in terms of estimation. Is there any other way of estimating? Probably an easy way? I did find the answer but I took about 3 minutes to answer the question. I am just trying to find a quicker way to solve these type of questions. Also, if you guys could let me know if we have any similar type of questions on GMATCLUB that would be amazing. Thank you so much!!!!!

Topics merged. Please follow forum posting guidelines.

For this question (and most of GMAT Quant question) your first instinct should NEVER be to solve the question by brute force. GMAT questions are subtly disguised problems that will most often have easier answer routes.

In this question you are asked the value of 7/8 + 1/9 = a value very close to 1 + a small value = a value very close to 1 should be the final answer. Precise values: 0.875+0.11111... = 0.986

a.) 1/2 and 3/4. Eliminated as 1/2 = 0.5 and 3/4 = 0.75 . This range is not close to 1.
b.) 3/4 and 1. Keep
c.) 1 and 5/4. Eliminated as this range is >1
d.) 5/4 and 3/2. Eliminated as this range is >1
e.) 3/2 and 2. Eliminated as this range is >1

So you see 1 option is remaining and is thus the correct answer.

Additionally, you must remember the values of common fractions:

1/2 = 0.5
1/3 = 0.33..
1/4 = 0.25
1/5 = 0.20
1/9 = 0.11....
1/10 = 0.10
3/4 = 0.75
1/8 = 0.125 etc

Hope this helps.
User avatar
mcelroytutoring
Joined: 10 Jul 2015
Last visit: 19 Mar 2026
Posts: 1,206
Own Kudos:
2,675
 [1]
Given Kudos: 282
Status:Expert GMAT, GRE, and LSAT Tutor / Coach
Affiliations: Harvard University, A.B. with honors in Government, 2002
Location: United States (CO)
Age: 45 (10 years and counting on GMAT Club!)
GMAT 1: 770 Q47 V48
GMAT 2: 730 Q44 V47
GMAT 3: 750 Q50 V42
GMAT 4: 730 Q48 V42 (Online)
GRE 1: Q168 V169
GRE 2: Q170 V170
Expert
Expert reply
GMAT 4: 730 Q48 V42 (Online)
GRE 1: Q168 V169
GRE 2: Q170 V170
Posts: 1,206
Kudos: 2,675
 [1]
1
Kudos
Add Kudos
Bookmarks
Bookmark this Post
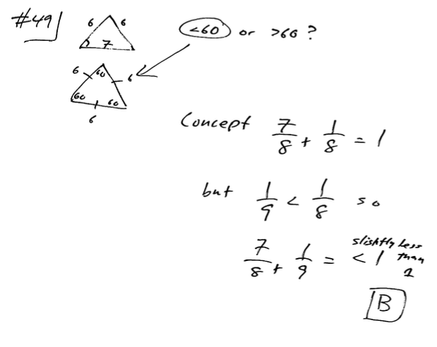
Attached is a visual that should help. This question is a good example of how you can compare numbers you do know (in this case, the sum of 7/8 and 1/8) to numbers you don't know (the sum of 7/8 and 1/9). I have also attached a geometric example with triangles. We know that a 6/6/6 triangle is 60/60/60 so a 6/6/7 triangle must have a smaller angle than 60 at its base.
Attachments

Screen Shot 2016-05-10 at 5.49.49 PM.png
Screen Shot 2016-05-10 at 5.49.49 PM.png [ 59.54 KiB | Viewed 69627 times ]

User avatar
ScottTargetTestPrep
User avatar
Target Test Prep Representative
Joined: 14 Oct 2015
Last visit: 22 Apr 2026
Posts: 22,278
Own Kudos:
Given Kudos: 302
Status:Founder & CEO
Affiliations: Target Test Prep
Location: United States (CA)
Expert
Expert reply
Active GMAT Club Expert! Tag them with @ followed by their username for a faster response.
Posts: 22,278
Kudos: 26,528
Kudos
Add Kudos
Bookmarks
Bookmark this Post
Bunuel
The sum \(\frac{7}{8}+\frac{1}{9}\) is between

(A) \(\frac{1}{2}\) and \(\frac{3}{4}\)

(B) \(\frac{3}{4}\) and 1

(C) 1 and \(1\frac{1}{4}\)

(D) \(1\frac{1}{4}\) and \(1\frac{1}{2}\)

(E) \(1\frac{1}{2}\) and 2

Let’s first determine the sum of 7/8 and 1/9.

7/8 + 1/9

Getting a common denominator of 72 gives us:

63/72 + 8/72 =71/72

Notice that 71/72 is just a bit less than 1. This will be useful when analyzing our answer choices.

A) ½ and ¾

Since 3/4 = 54/72, we can see that 71/72 is greater than ¾. Answer choice A is not correct.

B) 3/4 and 1

We see that 71/72 is greater than ¾ and less than 1. Answer choice B is correct. To be certain, let’s check the other answer choices.

C) 1 and 1 1/4

Since 71/72 is less than 1, answer choice C is not correct.

D) 1 1/4 and 1 1/2

Since 71/72 is less than 1, answer choice D is not correct.

E) 1 1/2 and 2

Since 71/72 is less than 1, answer choice E is not correct.

The answer is B.
avatar
anshul1989
Joined: 15 Oct 2016
Last visit: 26 Feb 2019
Posts: 7
Own Kudos:
6
 [1]
Given Kudos: 44
Posts: 7
Kudos: 6
 [1]
1
Kudos
Add Kudos
Bookmarks
Bookmark this Post
7/8 +1/9 ==> 71/72 ==> 0.98
hence, B
User avatar
EliteSchools
Joined: 02 Apr 2025
Last visit: 21 Apr 2026
Posts: 7
Own Kudos:
Given Kudos: 7
Posts: 7
Kudos: 5
Kudos
Add Kudos
Bookmarks
Bookmark this Post
Bunuel
The sum \(\frac{7}{8}+\frac{1}{9}\) is between

(A) \(\frac{1}{2}\) and \(\frac{3}{4}\)

(B) \(\frac{3}{4}\) and 1

(C) 1 and \(1\frac{1}{4}\)

(D) \(1\frac{1}{4}\) and \(1\frac{1}{2}\)

(E) \(1\frac{1}{2}\) and 2
7/8 =0.875
1/9 =0.111
so total = 0.875 + 0.111 = 0.986


so it is option B

given thing is between

3/4 =0.75 and 1
User avatar
JLambert
Joined: 28 May 2025
Last visit: 24 Jun 2025
Posts: 9
Own Kudos:
Given Kudos: 21
Posts: 9
Kudos: 3
Kudos
Add Kudos
Bookmarks
Bookmark this Post
1/9 is less than the 1/8 it would take to hit 1, so we know it's less than 1. That just leaves A and B. 3/4 = 6/8 which is less than 7/8, so we know it has to be higher than that. B becomes the most logical answer without you having to fully solve.
Bunuel
The sum \(\frac{7}{8}+\frac{1}{9}\) is between

(A) \(\frac{1}{2}\) and \(\frac{3}{4}\)

(B) \(\frac{3}{4}\) and 1

(C) 1 and \(1\frac{1}{4}\)

(D) \(1\frac{1}{4}\) and \(1\frac{1}{2}\)

(E) \(1\frac{1}{2}\) and 2
User avatar
totaltestprepNick
Joined: 25 Aug 2014
Last visit: 22 Apr 2026
Posts: 469
Own Kudos:
Given Kudos: 2
GMAT 1: 750 Q49 V42
GMAT 1: 750 Q49 V42
Posts: 469
Kudos: 4
Kudos
Add Kudos
Bookmarks
Bookmark this Post
Bunuel
The sum \(\frac{7}{8}+\frac{1}{9}\) is between

(A) \(\frac{1}{2}\) and \(\frac{3}{4}\)

(B) \(\frac{3}{4}\) and 1

(C) 1 and \(1\frac{1}{4}\)

(D) \(1\frac{1}{4}\) and \(1\frac{1}{2}\)

(E) \(1\frac{1}{2}\) and 2





Nick Slavkovich, GMAT/GRE tutor with 20+ years of experience

[email protected]
Moderators:
Math Expert
109754 posts
Tuck School Moderator
853 posts