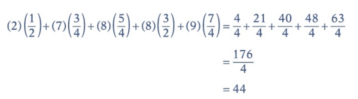
Official ExplanationThe mean of the distribution of the variable Y is the sum of all the values of Y divided by the number of values of Y. However, before you begin the summing process, you need to understand how the information is presented in the question. Information about the variable is given in a table, where any repetitions of values have been summarized in the column labeled “Frequency.” Reading from the table, you can see that the value 1/2 occurs twice, the value 3/4 occurs seven times, and so on. To sum all the values of Y, you could add the value 1/2 twice, add the value 3/4 seven times, and continue the addition process in this manner. It is easier, however, to multiply the values by their corresponding frequencies and then sum the individual products, as shown below.

To find the average, you need to divide the sum, 44, by the number of values of Y. The number of values can be found by looking at the column of frequencies in the table. The sum of the numbers in this column, 2 + 7 + 8 + 8 + 9, or 34, is the number of values of Y. Thus, the mean of the distribution is 44/34, which, as a decimal, equals 1.2941.... Rounded to the nearest 0.01, the correct answer is 1.29.
Attachment:
GMAT-Club-Forum-o4zbeqn1.jpeg [ 34.62 KiB | Viewed 737 times ]