heygirl
I keep getting 11.73 as the answer for this one.
Here is what I did:
First I calulated 15% of 207, that is 31.05 and subtracted it from 207. Thus the amount now is 175.95.
175.95/15=11.73.But, OA is B
Anyone knows whaT I'm missing here?

I think the mistake you committed is a fairly common mistake. You calculated 15% gratuity on $207, which is not correct. Let's try to understand this.
These 15 people went for a lunch and ordered some really delicious dishes. They ate to their satisfaction and at last, asked the waiter to bring the bill. The waiter had done a lot in providing a good service to these people and as per the restaurant rules, he deserved 15% gratuity for service.
While the waiter had gone to bring the bill, these 15 guys figured out what all they had eaten till then and using the menu, totaled the amount they would need to pay. However, when the waiter arrived, he had a higher amount on the bill. Why? Because he had included a 15% gratuity also, which these 15 people had ignored in their calculations.
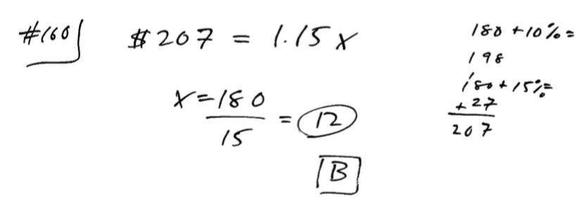
So, while these people calculated their bill amount to be, say, x, the waiter came up with a bill 1.15x.
So, now we are given that 1.15x = 207 =>x=180
Per person cost = 180/15 = 12.
The reason for telling this whole story is that you need to see what is the figure to which apply this 15%. This 15% has to be applied on figure which already existed before applying this 15%; in this case, the total amount of food they ate. The amount they paid was arrived after the application of this 15%; thus this amount existed only after application of 15% on some other number. So, you can't apply 15% to $207 because 15% was originally not applied to this number.
A similar issue can be faced in the below problem:
A scored 15% more than B. If A's score was 460, what was B's score?
Here we can't say that B's score was 460 * (1-15%). That would be incorrect. Why? You can yourself see. What is 460*0.85. It is 391. So, cross checking, Is A 15% more than B?
A=b*(1+15%) = 391*1.15 = 449.65, which is not equal to 460.
So, where is the problem? The problem is that the question said that A is 15% more than B, not that B is 15% less than A. There's is a difference.
(1)If A is 15% more than B, then A = 1.15B =>B=A/1.15 ~ 0.87A
(2) If B is 15% less than B, then B = A (1-15%) = 0.85A
So, we see that these two expressions are different. So, you have to be cautious when dealing with such statements.
It is easier to say here that we limit ourselves to (1) in the question given but how do we do this in complex scenarios just like in the original question given?
The common logic, as explained above, is that you need to think if a particular figure existed even before the application of the percentage; if yes, then it is independent of the percentage. For example, in A & B example question, we say that the score of A is 15% more than B. So, there is a score of B and when we increase it by 15%, we get score of A. But score of B exists before the application of percentage.
So, coming back to the question, the total amount they paid i.e. $207 existed only after application of 15%, not before. Thus, 15% needs to be applied to some other variable to arrive at $207.
I hope my long answer clarifies some doubts. If you have any other queries, please feel free to ask.
Cheers,
CJ