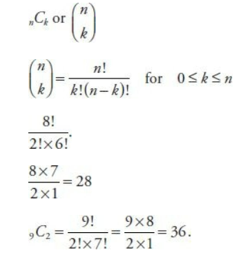
Official ExplanationWe need to choose two math classes from eight offered and two physics classes from nine offered. These can be found with the
“choose” function. Recall that n! means the product of all positive integers from 1 through n, inclusive. For math classes, we need 8C2, so n = 8 and k = 2 in the formula above: Most of the factors in the 8! expression cancel with all of the factors in 6!, and we are left with choices for math. Similarly, the number of combinations of physics classes equals The total combinations for math and physics classes equals \(28 × 36 = 1,008, (D).\)

Attachment:
GMAT-Club-Forum-su8cy1bv.png [ 69.16 KiB | Viewed 224 times ]