Last visit was: 21 Apr 2026, 01:53 It is currently 21 Apr 2026, 01:53
Close
GMAT Club Daily Prep
Thank you for using the timer - this advanced tool can estimate your performance and suggest more practice questions. We have subscribed you to Daily Prep Questions via email.

Customized
for You

we will pick new questions that match your level based on your Timer History

Track
Your Progress

every week, we’ll send you an estimated GMAT score based on your performance

Practice
Pays

we will pick new questions that match your level based on your Timer History
Not interested in getting valuable practice questions and articles delivered to your email? No problem, unsubscribe here.
Close
Request Expert Reply
Confirm Cancel
User avatar
Hovkial
Joined: 23 Apr 2019
Last visit: 24 Nov 2022
Posts: 802
Own Kudos:
2,599
 [50]
Given Kudos: 202
Status:PhD trained. Education research, management.
Posts: 802
Kudos: 2,599
 [50]
4
Kudos
Add Kudos
45
Bookmarks
Bookmark this Post
Most Helpful Reply
User avatar
chetan2u
User avatar
GMAT Expert
Joined: 02 Aug 2009
Last visit: 18 Apr 2026
Posts: 11,230
Own Kudos:
44,981
 [10]
Given Kudos: 335
Status:Math and DI Expert
Location: India
Concentration: Human Resources, General Management
GMAT Focus 1: 735 Q90 V89 DI81
Products:
Expert
Expert reply
GMAT Focus 1: 735 Q90 V89 DI81
Posts: 11,230
Kudos: 44,981
 [10]
10
Kudos
Add Kudos
Bookmarks
Bookmark this Post
User avatar
Purnank
Joined: 05 Jan 2024
Last visit: 18 Apr 2026
Posts: 680
Own Kudos:
613
 [8]
Given Kudos: 167
Location: India
Concentration: General Management, Strategy
GMAT Focus 1: 635 Q88 V76 DI80
Products:
GMAT Focus 1: 635 Q88 V76 DI80
Posts: 680
Kudos: 613
 [8]
7
Kudos
Add Kudos
1
Bookmarks
Bookmark this Post
General Discussion
User avatar
Mohammadmo
Joined: 29 Jun 2019
Last visit: 03 Nov 2022
Posts: 346
Own Kudos:
250
 [1]
Given Kudos: 16
Posts: 346
Kudos: 250
 [1]
Kudos
Add Kudos
1
Bookmarks
Bookmark this Post
X/30 = X-8 /18
5X-40=3X
2X=40 ==》X=20
20+26=46
Option B

Posted from my mobile device
User avatar
arpitkansal
Joined: 17 Jun 2018
Last visit: 23 Aug 2021
Posts: 41
Own Kudos:
46
 [1]
Given Kudos: 478
Location: Canada
Schools: IMD '20
GMAT 1: 690 Q48 V36
GPA: 2.84
WE:Engineering (Real Estate)
Schools: IMD '20
GMAT 1: 690 Q48 V36
Posts: 41
Kudos: 46
 [1]
Kudos
Add Kudos
1
Bookmarks
Bookmark this Post
chetan2u :need help with this question please.
User avatar
Anugmat740
Joined: 31 Aug 2021
Last visit: 19 Oct 2024
Posts: 95
Own Kudos:
117
 [1]
Given Kudos: 156
Posts: 95
Kudos: 117
 [1]
1
Kudos
Add Kudos
Bookmarks
Bookmark this Post
chetan2u

arpitkansal
chetan2u :need help with this question please.
When x walks down 26 steps, she reaches in 30 seconds and when x walks down 34 steps, she takes 18 seconds.
She walks 34-26 or 8 steps more, and she saves 30-18=12 seconds.

So who is travelling these 8 steps in 12 seconds—The Escalator.

Now let’s take any of the scenario
26 steps and escalator takes 30 secs.
If the escalator covers 8 steps in 12 seconds, it will cover 30*8/12=20 steps in 30 secs.
In these 30 seconds, the escalator covers 20 steps while x covers 26 steps, so total of 20+26 or 46 steps.

B
­chetan2u Do questions related to escalators appear on the GMAT?­
User avatar
chetan2u
User avatar
GMAT Expert
Joined: 02 Aug 2009
Last visit: 18 Apr 2026
Posts: 11,230
Own Kudos:
Given Kudos: 335
Status:Math and DI Expert
Location: India
Concentration: Human Resources, General Management
GMAT Focus 1: 735 Q90 V89 DI81
Products:
Expert
Expert reply
GMAT Focus 1: 735 Q90 V89 DI81
Posts: 11,230
Kudos: 44,981
Kudos
Add Kudos
Bookmarks
Bookmark this Post
Anugmat740
chetan2u

arpitkansal
chetan2u :need help with this question please.
When x walks down 26 steps, she reaches in 30 seconds and when x walks down 34 steps, she takes 18 seconds.
She walks 34-26 or 8 steps more, and she saves 30-18=12 seconds.

So who is travelling these 8 steps in 12 seconds—The Escalator.

Now let’s take any of the scenario
26 steps and escalator takes 30 secs.
If the escalator covers 8 steps in 12 seconds, it will cover 30*8/12=20 steps in 30 secs.
In these 30 seconds, the escalator covers 20 steps while x covers 26 steps, so total of 20+26 or 46 steps.

B
­chetan2u Do questions related to escalators appear on the GMAT?­

No, you are not likely to see such a question.

Posted from my mobile device
User avatar
thevnesehitman
Joined: 07 Oct 2024
Last visit: 19 Feb 2025
Posts: 4
Own Kudos:
Given Kudos: 168
Posts: 4
Kudos: 1
Kudos
Add Kudos
Bookmarks
Bookmark this Post
Speed of escalator is constant so:
(X-26)/30 = (X-34)/18
X=46
User avatar
sk1999
Joined: 08 Apr 2024
Last visit: 14 Aug 2025
Posts: 34
Own Kudos:
40
 [1]
Given Kudos: 33
Location: India
Concentration: Entrepreneurship, Finance
GPA: 7.878
Posts: 34
Kudos: 40
 [1]
1
Kudos
Add Kudos
Bookmarks
Bookmark this Post
Can somebody please explain using another approach?
User avatar
MaiMai0102
Joined: 24 Oct 2022
Last visit: 01 Mar 2026
Posts: 2
Own Kudos:
3
 [1]
Given Kudos: 2
Posts: 2
Kudos: 3
 [1]
1
Kudos
Add Kudos
Bookmarks
Bookmark this Post
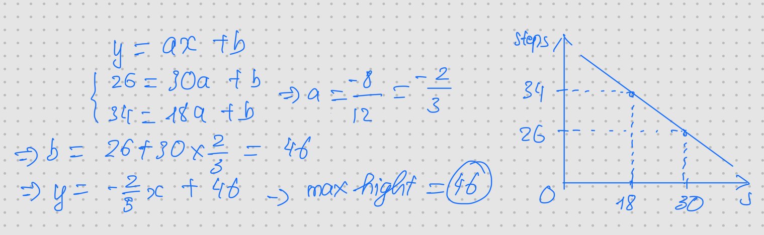
I use coordinate
Attachments

IMG_1570.jpeg
IMG_1570.jpeg [ 346.28 KiB | Viewed 997 times ]

Moderators:
Math Expert
109715 posts
Tuck School Moderator
853 posts