Last visit was: 21 Apr 2026, 01:56 It is currently 21 Apr 2026, 01:56
Close
GMAT Club Daily Prep
Thank you for using the timer - this advanced tool can estimate your performance and suggest more practice questions. We have subscribed you to Daily Prep Questions via email.

Customized
for You

we will pick new questions that match your level based on your Timer History

Track
Your Progress

every week, we’ll send you an estimated GMAT score based on your performance

Practice
Pays

we will pick new questions that match your level based on your Timer History
Not interested in getting valuable practice questions and articles delivered to your email? No problem, unsubscribe here.
Close
Request Expert Reply
Confirm Cancel
User avatar
rakman123
Joined: 13 Jun 2023
Last visit: 16 Feb 2025
Posts: 24
Own Kudos:
1,394
 [255]
Given Kudos: 726
Posts: 24
Kudos: 1,394
 [255]
12
Kudos
Add Kudos
243
Bookmarks
Bookmark this Post
Most Helpful Reply
User avatar
SaquibHGMATWhiz
User avatar
GMATWhiz Representative
Joined: 23 May 2022
Last visit: 12 Jun 2024
Posts: 623
Own Kudos:
777
 [41]
Given Kudos: 6
Location: India
GMAT 1: 760 Q51 V40
Expert
Expert reply
GMAT 1: 760 Q51 V40
Posts: 623
Kudos: 777
 [41]
32
Kudos
Add Kudos
8
Bookmarks
Bookmark this Post
User avatar
KarishmaB
Joined: 16 Oct 2010
Last visit: 20 Apr 2026
Posts: 16,438
Own Kudos:
79,368
 [35]
Given Kudos: 484
Location: Pune, India
Expert
Expert reply
Active GMAT Club Expert! Tag them with @ followed by their username for a faster response.
Posts: 16,438
Kudos: 79,368
 [35]
17
Kudos
Add Kudos
18
Bookmarks
Bookmark this Post
General Discussion
User avatar
gmatophobia
User avatar
Quant Chat Moderator
Joined: 22 Dec 2016
Last visit: 19 Apr 2026
Posts: 3,173
Own Kudos:
11,438
 [15]
Given Kudos: 1,862
Location: India
Concentration: Strategy, Leadership
Posts: 3,173
Kudos: 11,438
 [15]
7
Kudos
Add Kudos
8
Bookmarks
Bookmark this Post
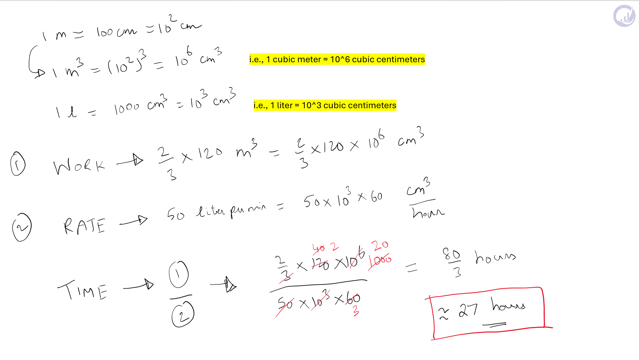
rakman123
Water flows into an empty swimming pool at a constant rate of 50 liters per minute. If the pool's total capacity is 120 cubic meters, approximately how many hours does it take until the pool is filled to 2/3 of its total capacity? (1 liter = 1,000 cubic centimeters)

A) 7
B) 13
C) 27
D) 40
E) 53

Given:

1L = 1000 cubic centimeters

1 meter = 100 cms

1L = \(\frac{1000}{100 * 100 * 100}\) cubic meters = \(10^{-3}\) cubic meter

\(\frac{2}{3}\)rd pools capacity = \(\frac{2}{3} * 120 = 80\) cubic meter

Rate at which water flows = 50 liters per minute = \(50 * 10^{-3}\) cubic meter per minute

Time taken to fill 80 cubic meter = \(\frac{80 }{ 50 * 10^{-3}}\) mintues

Number of hours = \(\frac{80 }{ 50 * 10^{-3}* 60}\)

= \(\frac{80 * 1000}{ 50 * 60}\)

= \(\frac{40 *2}{ 3}\)

= \(40 *\frac{2}{ 3}\)

= \(40 *0.66\)

= 26.66 hours \(\approx 27 \)hours

Option C
User avatar
rakman123
Joined: 13 Jun 2023
Last visit: 16 Feb 2025
Posts: 24
Own Kudos:
Given Kudos: 726
Posts: 24
Kudos: 1,394
Kudos
Add Kudos
Bookmarks
Bookmark this Post
KarishmaB - looping you in for your feedback
User avatar
lg800
Joined: 21 Mar 2023
Last visit: 24 Mar 2025
Posts: 15
Own Kudos:
5
 [3]
Given Kudos: 27
Location: United States (NY)
GPA: 3.9
Posts: 15
Kudos: 5
 [3]
3
Kudos
Add Kudos
Bookmarks
Bookmark this Post
The cubic centimeter / cubic meter part is throwing me for a loop. Could someone explain how to convert with cubes?
User avatar
JeffTargetTestPrep
User avatar
Target Test Prep Representative
Joined: 04 Mar 2011
Last visit: 05 Jan 2024
Posts: 2,974
Own Kudos:
8,708
 [6]
Given Kudos: 1,646
Status:Head GMAT Instructor
Affiliations: Target Test Prep
Expert
Expert reply
Posts: 2,974
Kudos: 8,708
 [6]
3
Kudos
Add Kudos
3
Bookmarks
Bookmark this Post
rakman123
Water flows into an empty swimming pool at a constant rate of 50 liters per minute. If the pool's total capacity is 120 cubic meters, approximately how many hours does it take until the pool is filled to 2/3 of its total capacity? (1 liter = 1,000 cubic centimeters)

A) 7
B) 13
C) 27
D) 40
E) 53

2/3 of the pool’s capacity is 2/3 × 120 = 80 m³.

time = work/rate

time = (80 m³)/(50 liters/1 min) = (80 m³)(1 min/50 liters)

Since 1 m = 100 cm, it must be true that 1 m³ = 1,000,000 cm³.

So,

time = (80 m³)(1 min/50 liters)(1 liter/1,000 cm³)(1,000,000 cm³/1 m³)

We see that the units of measurement are canceled except for min.

time = 1,600 min

Since 1 h = 60 min, we have:

time = (1,600 min)(1 h/60 min) = 80/3 h ≈ 27 h

Answer: C
User avatar
averagedude23
Joined: 23 Sep 2023
Last visit: 10 May 2024
Posts: 14
Own Kudos:
246
 [8]
Given Kudos: 67
Location: United States (GA)
Concentration: Entrepreneurship
GMAT Focus 1: 675 Q81 V90 DI79
GPA: 3.9
Products:
GMAT Focus 1: 675 Q81 V90 DI79
Posts: 14
Kudos: 246
 [8]
7
Kudos
Add Kudos
Bookmarks
Bookmark this Post
This one took my mind for a spin lol.
User avatar
GMATGuruNY
Joined: 04 Aug 2010
Last visit: 02 Apr 2026
Posts: 1,347
Own Kudos:
3,903
 [4]
Given Kudos: 9
Schools:Dartmouth College
Expert
Expert reply
Posts: 1,347
Kudos: 3,903
 [4]
2
Kudos
Add Kudos
2
Bookmarks
Bookmark this Post
rakman123
Water flows into an empty swimming pool at a constant rate of 50 liters per minute. If the pool's total capacity is 120 cubic meters, approximately how many hours does it take until the pool is filled to 2/3 of its total capacity? (1 liter = 1,000 cubic centimeters)

A. 7
B. 13
C. 27
D. 40
E. 53

1 meter = \(10^2\) cm
Cubing both sides, we get:
1 cubic meter = \(10^6\) cubic cm

Given conversion rates:
\(10^3\) cubic cm = 1 liter
50 liters = 1 minute

To convert 80 cubic meters -- 2/3 of the pool's capacity -- into hours, we may proceed as follows:

\(\frac{80-cubic-meters}{1} * \frac{10^6-cubic-cm}{1-cubic-meter} * \frac{1-liter}{10^3-cubic-cm} * \frac{1-min}{50-liters} * \frac{1-hour}{60-min} = \frac{800}{5*6} = \frac{80}{3}≈ 27\)

­­
User avatar
Jake7Wimmer
Joined: 25 Apr 2023
Last visit: 24 Jan 2025
Posts: 24
Own Kudos:
47
 [2]
Given Kudos: 8
GMAT Focus 1: 625 Q79 V83 DI81
GMAT 1: 650 Q48 V32
GMAT 2: 650 Q47 V32
GMAT Focus 1: 625 Q79 V83 DI81
GMAT 2: 650 Q47 V32
Posts: 24
Kudos: 47
 [2]
2
Kudos
Add Kudos
Bookmarks
Bookmark this Post
I always find these questions mess me up! The conversions always through me off
User avatar
Bunuel
User avatar
Math Expert
Joined: 02 Sep 2009
Last visit: 21 Apr 2026
Posts: 109,715
Own Kudos:
810,340
 [2]
Given Kudos: 105,795
Products:
Expert
Expert reply
Active GMAT Club Expert! Tag them with @ followed by their username for a faster response.
Posts: 109,715
Kudos: 810,340
 [2]
Kudos
Add Kudos
2
Bookmarks
Bookmark this Post
Jake7Wimmer
I always find these questions mess me up! The conversions always through me off
­
Check out Conversion problems to practice from our Special Questions Directory.

Hope it helps.­
User avatar
ruis
Joined: 17 Sep 2023
Last visit: 03 Nov 2024
Posts: 135
Own Kudos:
756
 [2]
Given Kudos: 528
Posts: 135
Kudos: 756
 [2]
1
Kudos
Add Kudos
1
Bookmarks
Bookmark this Post
My aaproach was:
50liters per minute is equivalent to 100liters every 2 minutes (1/30 hours).
100liers is 100,000 cubic cm (100 * 1000)
Now, if water flows at 100k cubic cm per 1/30 hour then 1M cubic cm / 1/3 hour.

2/3 of 120 is 80 which is 80M cubic cm
80*1/3 = 80/3 hours.

I found it easier to work with millions­
User avatar
nikchau
Joined: 18 May 2024
Last visit: 10 Jun 2025
Posts: 4
Own Kudos:
Given Kudos: 16
Location: India
Posts: 4
Kudos: 14
Kudos
Add Kudos
Bookmarks
Bookmark this Post
My 30sec answer approach: Since all answers are upto 2 digits only, Do not let the 10^(whatever value) conversion through you off.

Instead of solving 80,000,000/(50x60), you may solve for 80/(5x6) or 8/3 i.e 2.7 and then convert it into 2 digits by multiplying it with appropriate no of power of 10.
User avatar
mcelroytutoring
Joined: 10 Jul 2015
Last visit: 19 Mar 2026
Posts: 1,206
Own Kudos:
2,675
 [3]
Given Kudos: 282
Status:Expert GMAT, GRE, and LSAT Tutor / Coach
Affiliations: Harvard University, A.B. with honors in Government, 2002
Location: United States (CO)
Age: 45 (10 years and counting on GMAT Club!)
GMAT 1: 770 Q47 V48
GMAT 2: 730 Q44 V47
GMAT 3: 750 Q50 V42
GMAT 4: 730 Q48 V42 (Online)
GRE 1: Q168 V169
GRE 2: Q170 V170
Expert
Expert reply
GMAT 4: 730 Q48 V42 (Online)
GRE 1: Q168 V169
GRE 2: Q170 V170
Posts: 1,206
Kudos: 2,675
 [3]
2
Kudos
Add Kudos
1
Bookmarks
Bookmark this Post
Attached is a visual that should help.

Note that using the alternative direct proportion formula A1/B1 = A2/B2 is often a better option than the traditional y = kx, which is why I have chosen to use that formula here instead.
Attachments

Screen Shot 2024-10-08 at 7.25.35 PM.png
Screen Shot 2024-10-08 at 7.25.35 PM.png [ 1.23 MiB | Viewed 25728 times ]

User avatar
Dbrunik
Joined: 13 Apr 2024
Last visit: 20 Apr 2026
Posts: 259
Own Kudos:
Given Kudos: 267
Location: United States (MN)
Concentration: Finance, Technology
GMAT Focus 1: 625 Q84 V82 DI77
GMAT Focus 1: 625 Q84 V82 DI77
Posts: 259
Kudos: 136
Kudos
Add Kudos
Bookmarks
Bookmark this Post
100*100*100*80=80,000,000

KarishmaB
rakman123
Water flows into an empty swimming pool at a constant rate of 50 liters per minute. If the pool's total capacity is 120 cubic meters, approximately how many hours does it take until the pool is filled to 2/3 of its total capacity? (1 liter = 1,000 cubic centimeters)

A) 7
B) 13
C) 27
D) 40
E) 53
Work done is in terms of m^3 and time taken is to be given in terms of hours. You can convert rate into m^3/hr or work done and time into litres and mins. Converting from a bigger unit to a smaller is easier usually.

\(1 liter = 1,000 cm^3\)

\(Work-done = \frac{2}{3} * 120 m^3 = 80 m*m*m = 80 * 100 cm*100 cm*100 cm = 80 * 1000 * 1000 cm^3 = 80,000 litres\\
\)
\(Time-taken = \frac{80,000}{50} = 1600 mins = \frac{1600}{60} hrs = 26.7\)

Answer (C)­

Check this post for discussion on units conversion:
https://anaprep.com/arithmetic-unit-conversion/
User avatar
HelpNeededASAP
Joined: 14 Dec 2025
Last visit: 11 Feb 2026
Posts: 1
Given Kudos: 7
Posts: 1
Kudos: 0
Kudos
Add Kudos
Bookmarks
Bookmark this Post
What a curve ball!! I wasn't expecting to convert the cubic meters to cubic cms. I guess you're required to know that information. I was under the assumption that it would be given to you in the question stem.
rakman123
Water flows into an empty swimming pool at a constant rate of 50 liters per minute. If the pool's total capacity is 120 cubic meters, approximately how many hours does it take until the pool is filled to 2/3 of its total capacity? (1 liter = 1,000 cubic centimeters)

A. 7
B. 13
C. 27
D. 40
E. 53
User avatar
HarshavardhanR
Joined: 16 Mar 2023
Last visit: 20 Apr 2026
Posts: 482
Own Kudos:
569
 [1]
Given Kudos: 67
Status:Independent GMAT Tutor
Affiliations: Ex - Director, Subject Matter Expertise at e-GMAT
Products:
Expert
Expert reply
Posts: 482
Kudos: 569
 [1]
1
Kudos
Add Kudos
Bookmarks
Bookmark this Post

Harsha
Attachment:
GMAT-Club-Forum-rrkeerxx.png
GMAT-Club-Forum-rrkeerxx.png [ 181.82 KiB | Viewed 3963 times ]
Moderators:
Math Expert
109715 posts
Tuck School Moderator
853 posts