Last visit was: 21 Apr 2026, 01:58 It is currently 21 Apr 2026, 01:58
Close
GMAT Club Daily Prep
Thank you for using the timer - this advanced tool can estimate your performance and suggest more practice questions. We have subscribed you to Daily Prep Questions via email.

Customized
for You

we will pick new questions that match your level based on your Timer History

Track
Your Progress

every week, we’ll send you an estimated GMAT score based on your performance

Practice
Pays

we will pick new questions that match your level based on your Timer History
Not interested in getting valuable practice questions and articles delivered to your email? No problem, unsubscribe here.
Close
Request Expert Reply
Confirm Cancel
User avatar
Bunuel
User avatar
Math Expert
Joined: 02 Sep 2009
Last visit: 21 Apr 2026
Posts: 109,715
Own Kudos:
810,340
 [8]
Given Kudos: 105,795
Products:
Expert
Expert reply
Active GMAT Club Expert! Tag them with @ followed by their username for a faster response.
Posts: 109,715
Kudos: 810,340
 [8]
Kudos
Add Kudos
8
Bookmarks
Bookmark this Post
Most Helpful Reply
User avatar
Bunuel
User avatar
Math Expert
Joined: 02 Sep 2009
Last visit: 21 Apr 2026
Posts: 109,715
Own Kudos:
Given Kudos: 105,795
Products:
Expert
Expert reply
Active GMAT Club Expert! Tag them with @ followed by their username for a faster response.
Posts: 109,715
Kudos: 810,340
Kudos
Add Kudos
Bookmarks
Bookmark this Post
General Discussion
User avatar
Archit3110
User avatar
Major Poster
Joined: 18 Aug 2017
Last visit: 20 Apr 2026
Posts: 8,625
Own Kudos:
5,190
 [1]
Given Kudos: 243
Status:You learn more from failure than from success.
Location: India
Concentration: Sustainability, Marketing
GMAT Focus 1: 545 Q79 V79 DI73
GMAT Focus 2: 645 Q83 V82 DI81
GPA: 4
WE:Marketing (Energy)
Products:
GMAT Focus 2: 645 Q83 V82 DI81
Posts: 8,625
Kudos: 5,190
 [1]
1
Kudos
Add Kudos
Bookmarks
Bookmark this Post
User avatar
Ayeka
Joined: 26 May 2024
Last visit: 20 Apr 2026
Posts: 528
Own Kudos:
402
 [1]
Given Kudos: 158
Location: India
Schools: ISB
GMAT Focus 1: 645 Q82 V83 DI80
GPA: 4.2
Schools: ISB
GMAT Focus 1: 645 Q82 V83 DI80
Posts: 528
Kudos: 402
 [1]
1
Kudos
Add Kudos
Bookmarks
Bookmark this Post
Hermione cauldron has 27 beans
Every 6 hours, her beans increase by 200% or by 3 times
After 6 hours, 27*3=81
After 12 hours, 81*3=243
After 18 hours, 243*3=729
After 24 hours, 729*3=2,187
After 30 hours, 2187*3=6,561 ..........
After 36 hours, 6561*3=19,683

Ron has 729 beans
Every 18 hours, his beans increase by 800% or by 9 times
After 6 & 12 hours, 729 (no change happens)
After 18 hours, 729*9=6,561
After 24 hours, 6561
After 30 hours, 6561 ..........
After 36 hours, 6561*9=59,049

At 30 hour mark, both have exactly same beans for the first time, 6561.

C
User avatar
adityamntr
Joined: 15 Jul 2023
Last visit: 21 Feb 2026
Posts: 111
Own Kudos:
Given Kudos: 13
Location: India
Concentration: General Management, Strategy
Posts: 111
Kudos: 81
Kudos
Add Kudos
Bookmarks
Bookmark this Post
Bunuel
At the start of Potions class, Hermione and Ron are each given a magical cauldron. Hermione’s cauldron contains 27 magic beans, and Ron’s contains 729. At the end of every 6 hours, the number of beans in Hermione’s cauldron instantly increases by 200 percent, and at the end of every 18 hours, the number of beans in Ron’s cauldron instantly increases by 800 percent. If no beans are taken from either cauldron, after how many hours from the start of the class will the two cauldrons first contain the same number of beans?

A. 18
B. 27
C. 30
D. 36
E. 54

Gift
12 Days of Christmas Competition
This question is part of our holiday event
Win $40,000 in prizes: courses, tests, and more
let h be hour after beans are same.
solve for the eqn
27 * 3 ^ (h/6) = 729 * 9 ^ (h/18)
= 3 ^ (h/6) = 27 * 3 ^ (h/9)
h/6 = 3 + h/9
solving eqn we get h = 54
User avatar
forestmayank
Joined: 05 Nov 2025
Last visit: 31 Mar 2026
Posts: 103
Own Kudos:
Given Kudos: 6
Posts: 103
Kudos: 87
Kudos
Add Kudos
Bookmarks
Bookmark this Post
R's beans = 729, becomes 9 times every 18 hours
H's beans = 27, become 3 times every 6 hours OR 3x3x3 = 27 times every 18 hours

In the first 18 hours,
H's beans = 27 x 27
R's beans = 9 x 729 OR 27 x 27 x 9

After 36 hours
H's beans = 27 x 27 x 27
R's beans = 27 x 27 x 9 x 9 OR 27 x 27 x 27 x 3

After 54 hours
H's beans = 27 x 27 x 27 x 27
R's beans = 27 x 27 x 27 x 3 x 9 which is equal to H's beans

Hence, Answer Option E
User avatar
Kinshook
User avatar
Major Poster
Joined: 03 Jun 2019
Last visit: 20 Apr 2026
Posts: 5,985
Own Kudos:
5,855
 [1]
Given Kudos: 163
Location: India
GMAT 1: 690 Q50 V34
WE:Engineering (Transportation)
Products:
GMAT 1: 690 Q50 V34
Posts: 5,985
Kudos: 5,855
 [1]
1
Kudos
Add Kudos
Bookmarks
Bookmark this Post
Initial stage:
Hermione's cauldron contains number of magic beans = 27
Ron's cauldron contains number of magic beans = 729

Every 6 hours, the number of magic beans in Hermione's cauldron becomes = 3 times (100%+200% = 300%)
Every 12 hours, the number of magic beans in Hermione's cauldron becomes = 3*3 = 9 times
Every 18 hours, the number of magic beans in Hermione's cauldron become = 3*3*3 = 27 times

Every 18 hours, the number of magic beans in Ron's cauldron becomes = 9 times (100% + 800%)

After 18 hours : -
The number of magic beans in Hermione's cauldron = 27*27 = 3^6
The number of magic beans in Ron's cauldron = 729*9 = 3^8

After 18+6=24 hours: -
The number of magic beans in Hermione's cauldron = 3^6*3 = 3^7

After 24+6=18+6*2=30 hours:-
The number of magic beans in Hermione's cauldron = 3^7*3 = 3^8

After 30 hours, the number of magic beans in the two cauldrons contain the same number of beans.

IMO C
avatar
ManifestDreamMBA
Joined: 17 Sep 2024
Last visit: 21 Feb 2026
Posts: 1,387
Own Kudos:
897
 [1]
Given Kudos: 243
Posts: 1,387
Kudos: 897
 [1]
1
Kudos
Add Kudos
Bookmarks
Bookmark this Post
HR
Initial27 = 3^3729 = 3^6
Increase Rate 39 = 3^2
Duration618

After 18hrs
H = 3^3 * 3^3 = 3^6
R = 3^6 * 9 = 3^8

After 27hrs
H = 27 * 3^4 = 3^7. (It has increased 4 times so far 27/6 < 5)
R = 3^6 * 3^2 = 3^8 (It has increased only once, 27/18 < 2)

After 30hrs
H = 3^3 * 3^5 = 3^8 (it has increased 5 times 30/5 = 5)
R = 3^6 * 3^2 = 3^8 (it has increased only once, 30/18 < 2)

Answer C
Bunuel
At the start of Potions class, Hermione and Ron are each given a magical cauldron. Hermione’s cauldron contains 27 magic beans, and Ron’s contains 729. At the end of every 6 hours, the number of beans in Hermione’s cauldron instantly increases by 200 percent, and at the end of every 18 hours, the number of beans in Ron’s cauldron instantly increases by 800 percent. If no beans are taken from either cauldron, after how many hours from the start of the class will the two cauldrons first contain the same number of beans?

A. 18
B. 27
C. 30
D. 36
E. 54

Gift
12 Days of Christmas Competition
This question is part of our holiday event
Win $40,000 in prizes: courses, tests, and more
User avatar
yuvrajbhama
Joined: 30 Jul 2025
Last visit: 05 Apr 2026
Posts: 36
Own Kudos:
20
 [1]
Given Kudos: 3
Location: India
Concentration: General Management, Nonprofit
GPA: 6.6
WE:General Management (Energy)
1
Kudos
Add Kudos
Bookmarks
Bookmark this Post
Hermione=H STARTS AT 27 INCREASE BY 200% PER 6 HRS
Ron=R STARTS AT 729 INCREASES 800% PER 18 HRS


hrs H R
6 81(27 INCREASED BY 200%) 729
12 243( INCREASED BY 200% OR MULTIPLIED BY 3) 729
18 729 6561
24 2187 6561
30 6561

30 ANSWER

Bunuel
At the start of Potions class, Hermione and Ron are each given a magical cauldron. Hermione’s cauldron contains 27 magic beans, and Ron’s contains 729. At the end of every 6 hours, the number of beans in Hermione’s cauldron instantly increases by 200 percent, and at the end of every 18 hours, the number of beans in Ron’s cauldron instantly increases by 800 percent. If no beans are taken from either cauldron, after how many hours from the start of the class will the two cauldrons first contain the same number of beans?

A. 18
B. 27
C. 30
D. 36
E. 54

Gift
12 Days of Christmas Competition
This question is part of our holiday event
Win $40,000 in prizes: courses, tests, and more
User avatar
RishabhChowdhury
Joined: 27 Jul 2024
Last visit: 19 Apr 2026
Posts: 4
Own Kudos:
3
 [1]
Given Kudos: 8
Location: India
Schools: ISB '26
GMAT Focus 1: 645 Q81 V88 DI76
GPA: 6.5
Products:
Schools: ISB '26
GMAT Focus 1: 645 Q81 V88 DI76
Posts: 4
Kudos: 3
 [1]
1
Kudos
Add Kudos
Bookmarks
Bookmark this Post
Hermoine (Let's call this H) = 27 beans = 3^3 beans
Ron (Let's called this R) = 729 beans = 81 * 9 = 9^3 = 3^6 beans

H increases by 200% every 6 hours.
So, after the 1st 6 hours, H = 2*27 + 27 = (2+1)*27 = 3*27
after the 2nd 6 hours, H = 2*(3*27) + (3*27) = (2+1)*3*27 = 3*3*27
For n intervals of 6 hours, H = (3^n) * 27 = (3^n) * (3^3) = 3^(n+3)

Similarly, for m intervals of 18 hours ---
1st interval, R = 8*729 + 729 = (8+1)*729 = 9*729
m intervals, R = (9^m) * 729 = (3^(2m)) * 3^6 = 3^(2m+6)

For H and R to be equal, we need to equate the powers.
n+3 = 2m+6
or, n = 2m+3

For m = 1, n is = 5
Therefore, total number of hours = n intervals of 6 hours = 5 * 6 = 30.
User avatar
batman10bigman
Joined: 23 Apr 2025
Last visit: 20 Apr 2026
Posts: 44
Own Kudos:
Given Kudos: 11
Products:
Posts: 44
Kudos: 38
Kudos
Add Kudos
Bookmarks
Bookmark this Post
Bunuel
At the start of Potions class, Hermione and Ron are each given a magical cauldron. Hermione’s cauldron contains 27 magic beans, and Ron’s contains 729. At the end of every 6 hours, the number of beans in Hermione’s cauldron instantly increases by 200 percent, and at the end of every 18 hours, the number of beans in Ron’s cauldron instantly increases by 800 percent. If no beans are taken from either cauldron, after how many hours from the start of the class will the two cauldrons first contain the same number of beans?

A. 18
B. 27
C. 30
D. 36
E. 54

Gift
12 Days of Christmas Competition
This question is part of our holiday event
Win $40,000 in prizes: courses, tests, and more
Hermione: starts with 27 beans
"Number increases by 200% means it becomes 27 + 2.27 = 3.27. It triples every 6 hours
so after n periods of 6hrs (time t = 6n)
H(t) = 27.3^n

Ron: starts with 729 beans, increases by 800% every 18hrs
R(t) = 729 + 8.729 = 729.9^m

for them to have same number of beans, 6n = 18m => n = 3m
27.3^3m = 729.9^m
27.3^3m => 3^(3m+3)
729.9^m => 3^(2m+6)

3m+3 = 2m+6
m=3
t=18m = 18.3 = 54

Option E
User avatar
rickyric395
Joined: 07 Mar 2020
Last visit: 19 Apr 2026
Posts: 124
Own Kudos:
Given Kudos: 68
GMAT 1: 680 Q49 V34
Products:
GMAT 1: 680 Q49 V34
Posts: 124
Kudos: 110
Kudos
Add Kudos
Bookmarks
Bookmark this Post
54 is the answer
Attachments

1000005499.jpg
1000005499.jpg [ 400.11 KiB | Viewed 1387 times ]

User avatar
obedear
Joined: 05 Sep 2024
Last visit: 20 Apr 2026
Posts: 61
Own Kudos:
39
 [1]
Given Kudos: 11
Products:
Posts: 61
Kudos: 39
 [1]
1
Kudos
Add Kudos
Bookmarks
Bookmark this Post
C - 30 hours.

This problem requires good translation skills in order to solve. First, recognize that "increases by 200%" is equivalent to "multiply by 3," and similarly, "increases by 800%" is equivalent to "multiply by 9."

Then we discover that 27 = 3^3 and 729 = 3^6.

I created a chart and listed out the increase in every six hour interval.
Since the bases are the same, we only need to compare the rate at which the exponents are changing to find the answer. Hermione's exponent increased by one every 6 hours, and Ron's increases by 2 every 18 hours.

So after 30 hours, Hermione's beans will have increased to 3^8, and since the change happens instantenously, Ron's beans will still be at 3^8.

Therefore, the answer is 30.
User avatar
Abhishake04
Joined: 08 Jan 2025
Last visit: 20 Apr 2026
Posts: 12
Own Kudos:
Posts: 12
Kudos: 9
Kudos
Add Kudos
Bookmarks
Bookmark this Post
R has 729 Beans and H has 27 Beans. Now Let us assume T hours is taken from the start by both of them. We Know, R takes 18 hrs to get 800% increase while H takes 6hrs to get 200% increase.
Hence, Time interval for R= T/18 and H=T/6.
Now, 800% increase = 9 times and 200% increase= 3 times.
So, 27*3_power_(T/6)=729*9_power_(T/18)
3_power_(T/6)=27*3_power_(2T/18)
3_power_(T/6)=3_power_(3+T/9)
T/6=3+T/9
hence, T=54 Hrs taken from the start.
User avatar
Sumimasen
Joined: 21 Jan 2024
Last visit: 20 Apr 2026
Posts: 36
Own Kudos:
Given Kudos: 11
Products:
Posts: 36
Kudos: 33
Kudos
Add Kudos
Bookmarks
Bookmark this Post
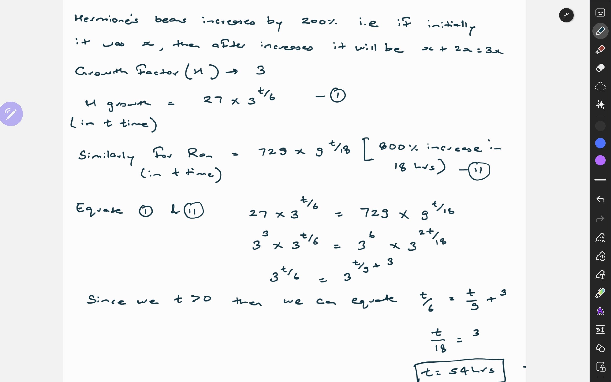
Please check solution as explained in image.
Attachments

PS1.jpeg
PS1.jpeg [ 84.42 KiB | Viewed 1311 times ]

User avatar
Xdsa
Joined: 07 Jul 2025
Last visit: 19 Apr 2026
Posts: 57
Own Kudos:
45
 [1]
Given Kudos: 1
Posts: 57
Kudos: 45
 [1]
1
Kudos
Add Kudos
Bookmarks
Bookmark this Post
hermoine cauldron increases by 3 times after 6 hrs whereas ron cauldron increases by 9 times after 18 hrs

so at the end of 30 hrs from start both will have 6561 cauldrons

answer=30 hrs
User avatar
dolortempore
Joined: 15 Aug 2025
Last visit: 22 Jan 2026
Posts: 47
Own Kudos:
44
 [1]
Given Kudos: 9
Posts: 47
Kudos: 44
 [1]
1
Kudos
Add Kudos
Bookmarks
Bookmark this Post
For Hermione at t= 0 its 3^3 -- increases at the end of 6 hrs by 200%
and for Ron at t=0 its 3^6 --- increases at the end of 18 hrs by 800%


so after t = 18hrs
Hermione will be at 3^3(1+200/100)^3 = 3^6
and ron will have increase as 3^6(1+8)^1 = 3^8 and will stay till t=36

after t = 30hrs
Hermione will reach at 3^8 as it is increasing by 3 at every 6 hrs.

So answer will be 30hrs (C)
User avatar
pappal
Joined: 24 Nov 2022
Last visit: 17 Apr 2026
Posts: 314
Own Kudos:
Given Kudos: 94
Products:
Posts: 314
Kudos: 109
Kudos
Add Kudos
Bookmarks
Bookmark this Post
at start 18 hrs 36 hrs 54 hrs
H3^33^63^93^12
R3^63^83^103^12
since given
H--27=3^3 which increases by 200% or becomes 3 times every 6 hours or 3^3 times every 18 hrs.
R--729=3^6 which increases by 800% or becomes 9 times every 18 hrs i.e. 3^2 times every 18 hrs.
hence E
User avatar
AviNFC
Joined: 31 May 2023
Last visit: 10 Apr 2026
Posts: 306
Own Kudos:
366
 [1]
Given Kudos: 5
Posts: 306
Kudos: 366
 [1]
1
Kudos
Add Kudos
Bookmarks
Bookmark this Post
Ron after 18 hrs have 9*729
Hermoine after n times increase \(27*3^n\)

\(27*3^n = 9*729\)
n=5
total 6*5 = 30 hrs.

Ans 30
User avatar
lkj123
Joined: 17 Jul 2025
Last visit: 06 Apr 2026
Posts: 33
Own Kudos:
19
 [1]
Posts: 33
Kudos: 19
 [1]
1
Kudos
Add Kudos
Bookmarks
Bookmark this Post
Option C: 30
For H =27*3*3*3*3*3=6561 i.e. 30 hours

For R= 729*9=6561
 1   2   3   4   
Moderators:
Math Expert
109715 posts
Tuck School Moderator
853 posts