Last visit was: 23 Apr 2026, 18:20 It is currently 23 Apr 2026, 18:20
Close
GMAT Club Daily Prep
Thank you for using the timer - this advanced tool can estimate your performance and suggest more practice questions. We have subscribed you to Daily Prep Questions via email.

Customized
for You

we will pick new questions that match your level based on your Timer History

Track
Your Progress

every week, we’ll send you an estimated GMAT score based on your performance

Practice
Pays

we will pick new questions that match your level based on your Timer History
Not interested in getting valuable practice questions and articles delivered to your email? No problem, unsubscribe here.
Close
Request Expert Reply
Confirm Cancel
User avatar
nishtil
Joined: 10 Jan 2011
Last visit: 08 Feb 2015
Posts: 69
Own Kudos:
366
 [84]
Given Kudos: 25
Location: India
GMAT Date: 07-16-2012
GPA: 3.4
WE:Consulting (Consulting)
Products:
Posts: 69
Kudos: 366
 [84]
7
Kudos
Add Kudos
77
Bookmarks
Bookmark this Post
Most Helpful Reply
User avatar
fameatop
Joined: 24 Aug 2009
Last visit: 09 Jun 2017
Posts: 382
Own Kudos:
2,550
 [39]
Given Kudos: 275
Concentration: Finance
Schools:Harvard, Columbia, Stern, Booth, LSB,
Posts: 382
Kudos: 2,550
 [39]
21
Kudos
Add Kudos
18
Bookmarks
Bookmark this Post
User avatar
Bunuel
User avatar
Math Expert
Joined: 02 Sep 2009
Last visit: 23 Apr 2026
Posts: 109,785
Own Kudos:
Given Kudos: 105,853
Products:
Expert
Expert reply
Active GMAT Club Expert! Tag them with @ followed by their username for a faster response.
Posts: 109,785
Kudos: 810,873
 [36]
20
Kudos
Add Kudos
16
Bookmarks
Bookmark this Post
General Discussion
User avatar
sanjoo
Joined: 06 Aug 2011
Last visit: 24 Dec 2016
Posts: 266
Own Kudos:
680
 [17]
Given Kudos: 82
Posts: 266
Kudos: 680
 [17]
15
Kudos
Add Kudos
2
Bookmarks
Bookmark this Post
Nice way bunuel..!!

and i did it in this way..

first even and last even ..2 and 100 respectively, 100+2=102/2=51..51 is average of first 50 even integers=num of terms*average =50*51=2550..so sum of first 50 integers is 2550

first odd and last odd of first 50 intergers is =99 and 1..99+1=100/2=50.. so 50*50=2500..sum of first 50 odd integers is 2500..

2550-2500=50... ans c.
User avatar
premnath
Joined: 24 Jul 2011
Last visit: 18 Oct 2012
Posts: 56
Own Kudos:
443
 [8]
Given Kudos: 5
Location: India
Concentration: Strategy, General Management
GMAT 1: 670 Q49 V33
WE:Asset Management (Manufacturing)
GMAT 1: 670 Q49 V33
Posts: 56
Kudos: 443
 [8]
8
Kudos
Add Kudos
Bookmarks
Bookmark this Post
nishtil
If X is the sum of first 50 positive even integers and Y is the sum of first 50 positive odd integers, what is the value of x-y?

A. 0
B. 25
C. 50
D. 75
E. 100

-----------------------------------------------
Please try to explain your answers


Let's use this process,

x= 2+ 4+ 6+ ...... (up to 50th term)
y= 1+ 3 +5+ .......(up to 50th term)
-------------------------------------------------
(x-y)= 1+1+1+ .......... up to 50th term = 50
User avatar
jmuduke08
Joined: 21 Jul 2012
Last visit: 25 Mar 2015
Posts: 58
Own Kudos:
Given Kudos: 32
Posts: 58
Kudos: 10
Kudos
Add Kudos
Bookmarks
Bookmark this Post
fameatop
Shortcut way without even a single calculation:-

Sum of first 'n' even integers is given by - n(n+1)
Sum of first 'n' odd integers is given by - n^2

x = n(n+1) = 50 x 51
y= n^2 = 50 x 50
x-y = 50 (51-50) = 50 (1) = 50
Answer C

Hope It helps

do these above formulas always hold true? And what is the formula for the first 100 positive integers?
User avatar
Bunuel
User avatar
Math Expert
Joined: 02 Sep 2009
Last visit: 23 Apr 2026
Posts: 109,785
Own Kudos:
810,873
 [4]
Given Kudos: 105,853
Products:
Expert
Expert reply
Active GMAT Club Expert! Tag them with @ followed by their username for a faster response.
Posts: 109,785
Kudos: 810,873
 [4]
2
Kudos
Add Kudos
2
Bookmarks
Bookmark this Post
jmuduke08
fameatop
Shortcut way without even a single calculation:-

Sum of first 'n' even integers is given by - n(n+1)
Sum of first 'n' odd integers is given by - n^2

x = n(n+1) = 50 x 51
y= n^2 = 50 x 50
x-y = 50 (51-50) = 50 (1) = 50
Answer C

Hope It helps

do these above formulas always hold true? And what is the formula for the first 100 positive integers?


Sum of n first positive integers: \(1+2+...+n=\frac{1+n}{2}*n\). So, the sum of 100 first positive integers is (1+100)/2*100.

Sum of n first positive odd numbers: \(a_1+a_2+...+a_n=1+3+...+a_n=n^2\), where \(a_n\) is the last, \(n_{th}\) term and given by: \(a_n=2n-1\). Given \(n=5\) first odd positive integers, then their sum equals to \(1+3+5+7+9=5^2=25\).

Sum of n first positive even numbers: \(a_1+a_2+...+a_n=2+4+...+a_n\)\(=n(n+1)\), where \(a_n\) is the last, \(n_{th}\) term and given by: \(a_n=2n\). Given \(n=4\) first positive even integers, then their sum equals to \(2+4+6+8=4(4+1)=20\).

For more check here: math-number-theory-88376.html

Hope it helps.
User avatar
jmuduke08
Joined: 21 Jul 2012
Last visit: 25 Mar 2015
Posts: 58
Own Kudos:
Given Kudos: 32
Posts: 58
Kudos: 10
Kudos
Add Kudos
Bookmarks
Bookmark this Post
Bunuel
jmuduke08
fameatop
Shortcut way without even a single calculation:-

Sum of first 'n' even integers is given by - n(n+1)
Sum of first 'n' odd integers is given by - n^2

x = n(n+1) = 50 x 51
y= n^2 = 50 x 50
x-y = 50 (51-50) = 50 (1) = 50
Answer C

Hope It helps

do these above formulas always hold true? And what is the formula for the first 100 positive integers?


Sum of n first positive integers: \(1+2+...+n=\frac{1+n}{2}*n\). So, the sum of 100 first positive integers is (1+100)/2*100.

Sum of n first positive odd numbers: \(a_1+a_2+...+a_n=1+3+...+a_n=n^2\), where \(a_n\) is the last, \(n_{th}\) term and given by: \(a_n=2n-1\). Given \(n=5\) first odd positive integers, then their sum equals to \(1+3+5+7+9=5^2=25\).

Sum of n first positive even numbers: \(a_1+a_2+...+a_n=2+4+...+a_n\)\(=n(n+1)\), where \(a_n\) is the last, \(n_{th}\) term and given by: \(a_n=2n\). Given \(n=4\) first positive even integers, then their sum equals to \(2+4+6+8=4(4+1)=20\).

For more check here: math-number-theory-88376.html

Hope it helps.

Bunuel, if I wanted to find the sum of the even integers between 26 and 62, inclusive, then the formula above for even integers n(n+1) would not work, because this formula is only for the first n even positive integers meaning we would need to start at 2. Is this the correct way to think about it?
User avatar
Transcendentalist
Joined: 24 Nov 2012
Last visit: 04 Dec 2023
Posts: 127
Own Kudos:
1,068
 [2]
Given Kudos: 73
Concentration: Sustainability, Entrepreneurship
GMAT 1: 770 Q50 V44
WE:Business Development (Internet and New Media)
GMAT 1: 770 Q50 V44
Posts: 127
Kudos: 1,068
 [2]
1
Kudos
Add Kudos
1
Bookmarks
Bookmark this Post
[quote=
Bunuel, if I wanted to find the sum of the even integers between 26 and 62, inclusive, then the formula above for even integers n(n+1) would not work, because this formula is only for the first n even positive integers meaning we would need to start at 2. Is this the correct way to think about it?[/quote]


Sum of x consecutive even integers = 2xn + x(x+1)/2 (n = (First term of series/2) - 1)

Sum of x consecutive odd integers = (x+n)^2 - (n)^2 (n=(first term of series - 1)/2)
User avatar
Amateur
Joined: 05 Nov 2012
Last visit: 17 Nov 2015
Posts: 116
Own Kudos:
119
 [2]
Given Kudos: 57
Posts: 116
Kudos: 119
 [2]
2
Kudos
Add Kudos
Bookmarks
Bookmark this Post
X = 2+4+6+8+.... +100
Y = 1+3+5+7+.... +99

X-Y= (2-1) + (4-3) + (6-5) + .... +(100-99) there are 50 terms
X-Y= 1 + 1 + 1 + .... +1 50 terms
=> X-Y=50
Answer C
User avatar
LalaB
User avatar
Current Student
Joined: 23 Oct 2010
Last visit: 17 Jul 2016
Posts: 227
Own Kudos:
1,378
 [1]
Given Kudos: 73
Location: Azerbaijan
Concentration: Finance
Schools: HEC '15 (A)
GMAT 1: 690 Q47 V38
Schools: HEC '15 (A)
GMAT 1: 690 Q47 V38
Posts: 227
Kudos: 1,378
 [1]
Kudos
Add Kudos
1
Bookmarks
Bookmark this Post
sum of the 1st even integers =n(n+2)=25*27
sum of the 1st odd integers =k^2=25*25

25*27-25*25=25*(27-25)=50
User avatar
Virgilius
Joined: 15 Feb 2013
Last visit: 25 May 2016
Posts: 25
Own Kudos:
61
 [1]
Given Kudos: 11
Status:Currently Preparing the GMAT
Location: United States
GMAT 1: 550 Q47 V23
GPA: 3.7
WE:Analyst (Consulting)
GMAT 1: 550 Q47 V23
Posts: 25
Kudos: 61
 [1]
1
Kudos
Add Kudos
Bookmarks
Bookmark this Post
I'll post two ways to solve this question : The formal way (in order for you guys to better understand the theory behind it) and the GMAT way (within the 2-minute scope).

Let's start.

1st method : The GMAT way

Bunuel actually proposed the easiest and fastest method to solve this question. That is you should look for patterns through examples.

First 2 even numbers : 2, 4 => summed up : (2+4) = 6
First 2 odd numbers : 1, 3 => summed up : (1+3) = 4

Their difference will be 2.

First 3 even numbers : 2, 4, 6 => summed up : (2+4+6) = 12
First 3 odd numbers : 1, 3, 5 => summed up : (1+3+5) = 9

Their difference will be 3.

And so forth. So eventually the difference between the sum of the first 50 even integers and the first 50 odd integers will be 50. Which is answer choice C.

2nd method : The formal way

To use this method you should be familiar and comfortable with :

- The general form of an even integer which is 2n ;
- The general form of an odd integer which is 2n+1 ;
- Counting the number of consecutive integers within a list which is given by the following formula : (Last number - First number) + 1 ;
- The sum operator and manipulating it.

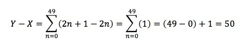
Therefore the difference between the sum of the 50 first even integers and the 50 first odd integers is written as such :
Attachment:
pic3.jpg
pic3.jpg [ 6.93 KiB | Viewed 52620 times ]

You'll notice two things :

- I chose to index the sums from 0 to 49 since the first even integer is 0 and the first odd integer is 1 ;
- I inverted the difference since I've written Y-X instead of X-Y. This is due to the general form of the odd integer which if left as the original question stem suggests would leave me with a (-1) instead of 1.

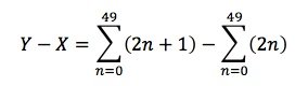
If we develop the difference above we get :
Attachment:
pic4.jpg
pic4.jpg [ 10.55 KiB | Viewed 52553 times ]

Which, unsuprisingly, yields 50 which is answer choice C.

Note that you can combine two sums if and only if they have the same index range (0 to 49 in both cases).

Hope that helped. :-D
User avatar
iyersu
Joined: 09 Jul 2013
Last visit: 15 Jul 2015
Posts: 10
Own Kudos:
Given Kudos: 20
Concentration: Operations, Marketing
Schools: CUHK '15
GPA: 3.6
Schools: CUHK '15
Posts: 10
Kudos: 82
Kudos
Add Kudos
Bookmarks
Bookmark this Post
Y not consider zero as zero is also an even number.....
correct me if i m wrong


Kindly let me know :)
User avatar
Bunuel
User avatar
Math Expert
Joined: 02 Sep 2009
Last visit: 23 Apr 2026
Posts: 109,785
Own Kudos:
810,873
 [1]
Given Kudos: 105,853
Products:
Expert
Expert reply
Active GMAT Club Expert! Tag them with @ followed by their username for a faster response.
Posts: 109,785
Kudos: 810,873
 [1]
Kudos
Add Kudos
1
Bookmarks
Bookmark this Post
iyersu
Y not consider zero as zero is also an even number.....
correct me if i m wrong


Kindly let me know :)

We are told that X is the sum of first 50 positive even integers ...

0 is an even integer but it's neither positive nor negative.

Hope it's clear.
User avatar
iyersu
Joined: 09 Jul 2013
Last visit: 15 Jul 2015
Posts: 10
Own Kudos:
Given Kudos: 20
Concentration: Operations, Marketing
Schools: CUHK '15
GPA: 3.6
Schools: CUHK '15
Posts: 10
Kudos: 82
Kudos
Add Kudos
Bookmarks
Bookmark this Post
Question: Is the number 0 even or odd?
Answer: 0/2 = 0. The result is an integer, so the number 0 is divisible by 2. As a result, the number 0 is even


i read this in one of the manhatttan forums...hence the doubt..... :) could you throw some light based on the above info
User avatar
Bunuel
User avatar
Math Expert
Joined: 02 Sep 2009
Last visit: 23 Apr 2026
Posts: 109,785
Own Kudos:
Given Kudos: 105,853
Products:
Expert
Expert reply
Active GMAT Club Expert! Tag them with @ followed by their username for a faster response.
Posts: 109,785
Kudos: 810,873
Kudos
Add Kudos
Bookmarks
Bookmark this Post
iyersu
Question: Is the number 0 even or odd?
Answer: 0/2 = 0. The result is an integer, so the number 0 is divisible by 2. As a result, the number 0 is even


i read this in one of the manhatttan forums...hence the doubt..... :) could you throw some light based on the above info

As written above: yes, zero is an even number but the questions talks about positive even numbers and since zero is neither positive nor negative, we do not consider 0 for this question.

THEORY:
1. EVEN/ODD

An even number is an integer that is "evenly divisible" by 2, i.e., divisible by 2 without a remainder.

An odd number is an integer that is not evenly divisible by 2.

According to the above both negative and positive integers can be even or odd.

2. ZERO

Zero is an even integer. Zero is nether positive nor negative, but zero is definitely an even number.

An even number is an integer that is "evenly divisible" by 2, i.e., divisible by 2 without a remainder and as zero is evenly divisible by 2 then it must be even (in fact zero is divisible by every integer except zero itself).

Hope it helps.
User avatar
gracie
Joined: 07 Dec 2014
Last visit: 11 Oct 2020
Posts: 1,028
Own Kudos:
Given Kudos: 27
Posts: 1,028
Kudos: 2,022
Kudos
Add Kudos
Bookmarks
Bookmark this Post
sum of first 5 even integers=30
sum of first 5 odd integers=25
30-25=5
5*(50/5)=50
User avatar
JeffTargetTestPrep
User avatar
Target Test Prep Representative
Joined: 04 Mar 2011
Last visit: 05 Jan 2024
Posts: 2,974
Own Kudos:
8,710
 [1]
Given Kudos: 1,646
Status:Head GMAT Instructor
Affiliations: Target Test Prep
Expert
Expert reply
Posts: 2,974
Kudos: 8,710
 [1]
Kudos
Add Kudos
1
Bookmarks
Bookmark this Post
nishtil
If X is the sum of first 50 positive even integers and Y is the sum of first 50 positive odd integers, what is the value of x-y?

A. 0
B. 25
C. 50
D. 75
E. 100

The sum of the first 50 positive even integers is:

sum = average x quantity

sum = (100 + 2)/2 x 50 = 51 x 50

The sum of the first 50 positive odd integers is:

sum = (99 + 1)/2 x 50 = 50 x 50

Thus, x - y is 51 x 50 - 50 x 50 = 50(51 - 50) = 50.

Alternate solution:

The first 50 positive even integers are: 2, 4, 6, 8, …, 98, 100.

The first 50 positive odd integers are: 1, 3, 5, 7, …, 97, 99.

We see that each even integer is 1 more than its odd counterpart (2 is 1 more than 1, 4 is 1 more than 3, etc). Since there are 50 numbers in each set, the sum of the even integers will be 50 x 1 = 50 more than the sum of the odd integers.

Answer: C
User avatar
dave13
Joined: 09 Mar 2016
Last visit: 15 Mar 2026
Posts: 1,086
Own Kudos:
Given Kudos: 3,851
Posts: 1,086
Kudos: 1,137
Kudos
Add Kudos
Bookmarks
Bookmark this Post
nishtil
If X is the sum of first 50 positive even integers and Y is the sum of first 50 positive odd integers, what is the value of x-y?

A. 0
B. 25
C. 50
D. 75
E. 100

-----------------------------------------------
Please try to explain your answers


Hi pushpitkc

i used the formalus from my post https://gmatclub.com/forum/arithmetic-p ... l#p2035478

but somrthing went wrong:? the formula for finding sum of even numbers confiused me.... pls explain where am i wrong. thanks :-)


HOW TO FIND THE SUM OF THE FIRST EVEN NUMBERS

\(\frac{n(n+2)}{4}\)

where \(n\) is number of terms

HOW TO FIND NUMBER OF TERMS FROM A TO Z

\(\frac{last..term - first..term}{2} +1\)


Number of Even Terms \(\frac{50-2}{2} +1 = 25\)

Sum of Even Terms \(\frac{25(25+2)}{4}\) ???



HOW TO FIND SUM OF ODD NUMBERS FROM A TO B

Step one: \(find..the..number...of..terms\)

Step two: \(\frac{first..term+last..term}{2}\) \(* number..of.. terms\)


Number of Odd terms \(\frac{49-1}{2} +1 = 25\)

Sum of Odd numbers \(\frac{49+1}{2}*25 = 625\)
User avatar
pushpitkc
Joined: 26 Feb 2016
Last visit: 19 Feb 2025
Posts: 2,800
Own Kudos:
6,235
 [1]
Given Kudos: 47
Location: India
GPA: 3.12
Posts: 2,800
Kudos: 6,235
 [1]
Kudos
Add Kudos
Bookmarks
Bookmark this Post
dave13
nishtil
If X is the sum of first 50 positive even integers and Y is the sum of first 50 positive odd integers, what is the value of x-y?

A. 0
B. 25
C. 50
D. 75
E. 100

-----------------------------------------------
Please try to explain your answers


Hi pushpitkc

i used the formalus from my post https://gmatclub.com/forum/arithmetic-p ... l#p2035478

but somrthing went wrong:? the formula for finding sum of even numbers confiused me.... pls explain where am i wrong. thanks :-)


HOW TO FIND THE SUM OF THE FIRST EVEN NUMBERS

\(\frac{n(n+2)}{4}\)

where \(n\) is number of terms

HOW TO FIND NUMBER OF TERMS FROM A TO Z

\(\frac{last..term - first..term}{2} +1\)


Number of Even Terms \(\frac{50-2}{2} +1 = 25\)

Sum of Even Terms \(\frac{25(25+2)}{4}\) ???



HOW TO FIND SUM OF ODD NUMBERS FROM A TO B

Step one: \(find..the..number...of..terms\)

Step two: \(\frac{first..term+last..term}{2}\) \(* number..of.. terms\)


Number of Odd terms \(\frac{49-1}{2} +1 = 25\)

Sum of Odd numbers \(\frac{49+1}{2}*25 = 625\)

Hi dave13

Unfortunately, the formula for the sum of even numbers is wrong.
The correct formula for the sum of even numbers is \(N(N+1)\).
Also, we have another formula for the sum of odd numbers, which is \(N^2\).

Let's check this by means of an example.
If N = 3, the even numbers are 2,4, and 6. The sum of the even numbers is 12.
If the formula was \(\frac{N(N+2)}{4} = \frac{3(5)}{4} = \frac{15}{4}\), we will not get the right answer.

Coming back to our problem, we have been asked to find the sum of the first 50 even numbers.

However, you have found the details for the first 25 numbers(till 50)

We could go about doing this problem as follows:
The sum of the first 50 even numbers is 50*(50+1) = 50*51 = 2550(which is X)
The sum of the first 50 odd numbers is 50^2 = 2500(which is Y)
Therefore, the difference between X and Y is 2550 - 2500 = 50(Option C)

Hope this helps you!
 1   2   
Moderators:
Math Expert
109785 posts
Tuck School Moderator
853 posts