Last visit was: 23 Apr 2026, 20:13 It is currently 23 Apr 2026, 20:13
Close
GMAT Club Daily Prep
Thank you for using the timer - this advanced tool can estimate your performance and suggest more practice questions. We have subscribed you to Daily Prep Questions via email.

Customized
for You

we will pick new questions that match your level based on your Timer History

Track
Your Progress

every week, we’ll send you an estimated GMAT score based on your performance

Practice
Pays

we will pick new questions that match your level based on your Timer History
Not interested in getting valuable practice questions and articles delivered to your email? No problem, unsubscribe here.
Close
Request Expert Reply
Confirm Cancel
Sub 505 (Easy)|   Algebra|                                          
User avatar
Walkabout
Joined: 02 Dec 2012
Last visit: 04 Feb 2026
Posts: 172
Own Kudos:
Given Kudos: 51
Products:
Posts: 172
Kudos: 29,264
 [122]
24
Kudos
Add Kudos
96
Bookmarks
Bookmark this Post
Most Helpful Reply
User avatar
Bunuel
User avatar
Math Expert
Joined: 02 Sep 2009
Last visit: 23 Apr 2026
Posts: 109,785
Own Kudos:
Given Kudos: 105,853
Products:
Expert
Expert reply
Active GMAT Club Expert! Tag them with @ followed by their username for a faster response.
Posts: 109,785
Kudos: 810,876
 [44]
16
Kudos
Add Kudos
27
Bookmarks
Bookmark this Post
User avatar
Bunuel
User avatar
Math Expert
Joined: 02 Sep 2009
Last visit: 23 Apr 2026
Posts: 109,785
Own Kudos:
Given Kudos: 105,853
Products:
Expert
Expert reply
Active GMAT Club Expert! Tag them with @ followed by their username for a faster response.
Posts: 109,785
Kudos: 810,876
 [12]
9
Kudos
Add Kudos
3
Bookmarks
Bookmark this Post
General Discussion
User avatar
selfishmofo
Joined: 11 Aug 2013
Last visit: 20 Dec 2015
Posts: 21
Own Kudos:
Given Kudos: 9
Posts: 21
Kudos: 25
Kudos
Add Kudos
Bookmarks
Bookmark this Post
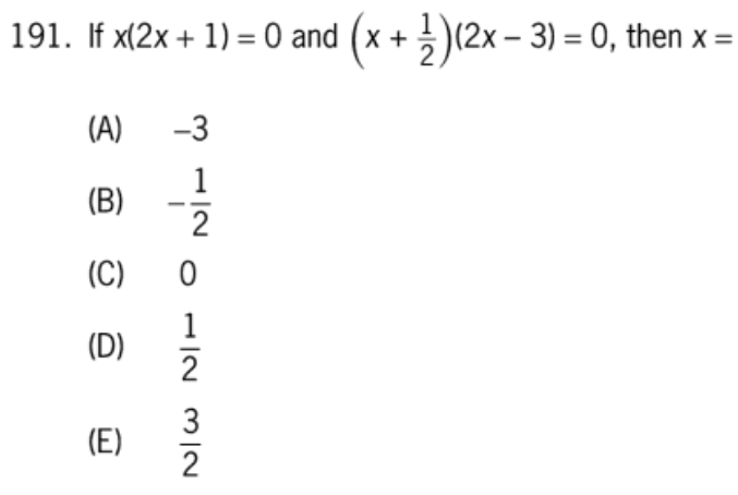
Bunuel
Walkabout
If x(2x + 1) = 0 and (x + 1/2)(2x - 3) = 0, then x =

(A) -3
(B) -1/2
(C) 0
(D) 1/2
(E) 3/2

x(2x + 1) = 0 --> x=0 OR x=-1/2;
(x + 1/2)(2x - 3) = 0 --> x=-1/2 OR x=3/2.

x=-1/2 satisfies both equations.

Answer: B.

Can you show how you manipulated both of the equations to get to zero, and to -1/2, and 3/2, thanks.
User avatar
Bunuel
User avatar
Math Expert
Joined: 02 Sep 2009
Last visit: 23 Apr 2026
Posts: 109,785
Own Kudos:
810,876
 [6]
Given Kudos: 105,853
Products:
Expert
Expert reply
Active GMAT Club Expert! Tag them with @ followed by their username for a faster response.
Posts: 109,785
Kudos: 810,876
 [6]
3
Kudos
Add Kudos
3
Bookmarks
Bookmark this Post
selfishmofo
Bunuel
Walkabout
If x(2x + 1) = 0 and (x + 1/2)(2x - 3) = 0, then x =

(A) -3
(B) -1/2
(C) 0
(D) 1/2
(E) 3/2

x(2x + 1) = 0 --> x=0 OR x=-1/2;
(x + 1/2)(2x - 3) = 0 --> x=-1/2 OR x=3/2.

x=-1/2 satisfies both equations.

Answer: B.

Can you show how you manipulated both of the equations to get to zero, and to -1/2, and 3/2, thanks.

When a product of two multiples is 0, it means that either of the multiples (or both) is 0.

\(x(2x + 1) = 0\) --> \(x=0\) or \(2x+1=0\) (\(x=-\frac{1}{2}\)).

\((x + \frac{1}{2})(2x - 3) = 0\) --> \(x+\frac{1}{2}=0\) (\(x=-\frac{1}{2}\)) or \(2x - 3=0\) (\(x=\frac{3}{2}\)).

Hope it's clear.
User avatar
russ9
Joined: 15 Aug 2013
Last visit: 20 Apr 2015
Posts: 170
Own Kudos:
426
 [1]
Given Kudos: 23
Posts: 170
Kudos: 426
 [1]
1
Kudos
Add Kudos
Bookmarks
Bookmark this Post
Bunuel
Walkabout
If x(2x + 1) = 0 and (x + 1/2)(2x - 3) = 0, then x =

(A) -3
(B) -1/2
(C) 0
(D) 1/2
(E) 3/2

x(2x + 1) = 0 --> x=0 OR x=-1/2;
(x + 1/2)(2x - 3) = 0 --> x=-1/2 OR x=3/2.

x=-1/2 satisfies both equations.

Answer: B.

This makes complete sense, although, I ran into trouble when I tried to FOIL the second equation and ended up with x^2-x-3/4=0 and from that point forward, I was completely stumped. Why is that method wrong?

I notice that I get confused on that front quite a bit - FOIL'ing vs. just setting both parenthesis to 0?

EDIT: As I was doing other problems, I ran into DS 67, Pg 180 of OG 13. The equation there is n(n+1) = 6, if I use the same methodology outlined above, the two solutions I get are n=6 and n=5. That is obviously wrong and I should've opted to FOIL in the above case. Hence my confusion -- why is it that in some situations I need to FOIL and in some other situations, I need to just equate the left to the right side WITHOUT foiling?
User avatar
russ9
Joined: 15 Aug 2013
Last visit: 20 Apr 2015
Posts: 170
Own Kudos:
Given Kudos: 23
Posts: 170
Kudos: 426
Kudos
Add Kudos
Bookmarks
Bookmark this Post
russ9
Bunuel


x(2x + 1) = 0 --> x=0 OR x=-1/2;
(x + 1/2)(2x - 3) = 0 --> x=-1/2 OR x=3/2.

x=-1/2 satisfies both equations.

Answer: B.

This makes complete sense, although, I ran into trouble when I tried to FOIL the second equation and ended up with x^2-x-3/4=0 and from that point forward, I was completely stumped. Why is that method wrong?

I notice that I get confused on that front quite a bit - FOIL'ing vs. just setting both parenthesis to 0?

EDIT: As I was doing other problems, I ran into DS 67, Pg 180 of OG 13. The equation there is n(n+1) = 6, if I use the same methodology outlined above, the two solutions I get are n=6 and n=5. That is obviously wrong and I should've opted to FOIL in the above case. Hence my confusion -- why is it that in some situations I need to FOIL and in some other situations, I need to just equate the left to the right side WITHOUT foiling?

Hi Bunuel,

Still a little confused about the above question. I ran into countless more errors over the past few days -- cause was the same reason mentioned above. Would greatly appreciate some clarification.

Thanks!
User avatar
kundankshrivastava
Joined: 14 May 2014
Last visit: 18 Oct 2014
Posts: 35
Own Kudos:
170
 [3]
Given Kudos: 1
Posts: 35
Kudos: 170
 [3]
1
Kudos
Add Kudos
2
Bookmarks
Bookmark this Post
Multiplication of any number with 0 gives 0 ..

When product of two or more expressions is zero, then any expression or product of combination of expressions can be 0.

Here,
x(2x+1) = 0
here product of x and 2x+1 equals 0 => either x = 0 or 2x+1 = 0 or both

hence x=0 or -1/2 will satisfy the first equation.

(x+1/2)(2x-3) = 0
here product of x+1/2 and 2x-3 equals 0=> either x+1/2 = 0 or 2x-3 = 0 or both

hence x = -1/2 or 3/2 will satisfy the second equation.
-1/2 is common in both sets hence x= -1/2 will satisfy both equations.

Hence answer is B.
User avatar
ScottTargetTestPrep
User avatar
Target Test Prep Representative
Joined: 14 Oct 2015
Last visit: 23 Apr 2026
Posts: 22,283
Own Kudos:
26,531
 [2]
Given Kudos: 302
Status:Founder & CEO
Affiliations: Target Test Prep
Location: United States (CA)
Expert
Expert reply
Active GMAT Club Expert! Tag them with @ followed by their username for a faster response.
Posts: 22,283
Kudos: 26,531
 [2]
1
Kudos
Add Kudos
1
Bookmarks
Bookmark this Post
Walkabout
If x(2x + 1) = 0 and (x + 1/2)(2x - 3) = 0, then x =

(A) -3
(B) -1/2
(C) 0
(D) 1/2
(E) 3/2

To solve we will use the zero product property. The zero product property states that if the product of two quantities is equal to 0, then at least one of the quantities has to be equal to 0. That is, if a  b = 0, then either a = 0 or b = 0. Of course, both a and b can be 0 at the same time. The point is that at least one of them has to be 0.

Let’s start determining the value(s) of x in the equation x(2x + 1) = 0

If x(2x + 1) = 0, we know:

x = 0

OR

2x + 1 = 0

2x = -1

x = -1/2

Thus, x = 0 or x = -1/2

Let’s now determine the value(s) of x in the second equation (x + 1/2)(2x - 3) = 0

(x + 1/2)(2x - 3) = 0, we know:

(x + 1/2) = 0

x = -1/2

OR

(2x - 3) = 0

2x = 3

x = 3/2

Thus, x = -1/2 or x = 3/2

Because we need to determine a value for x in both equations, the answer is x = -1/2.

The answer is B.
User avatar
LeenaSai
Joined: 31 Mar 2019
Last visit: 11 Nov 2021
Posts: 87
Own Kudos:
Given Kudos: 105
Posts: 87
Kudos: 102
Kudos
Add Kudos
Bookmarks
Bookmark this Post
Hi all ,

I ended up by solving the two quadratic equations simultaneously to find the value of x instead of solving one by one for the value of x .

Posted from my mobile device
User avatar
CareerGeek
Joined: 20 Jul 2017
Last visit: 23 Apr 2026
Posts: 1,286
Own Kudos:
4,432
 [2]
Given Kudos: 162
Location: India
Concentration: Entrepreneurship, Marketing
GMAT 1: 690 Q51 V30
WE:Education (Education)
GMAT 1: 690 Q51 V30
Posts: 1,286
Kudos: 4,432
 [2]
1
Kudos
Add Kudos
1
Bookmarks
Bookmark this Post
LeenaSai
Hi all ,

I ended up by solving the two quadratic equations simultaneously to find the value of x instead of solving one by one for the value of x .

Posted from my mobile device

LeenaSai

You don’t need to solve for quadratic here. It’s already given in solved form.

If a quadratic equation after factorisation would look like (x - a)(x - b) = 0
—> x - a = 0 or x - b = 0
—> x = a or b

Given 1st quadratic equation,
x(2x + 1) = 0
—> x = 0 or 2x + 1 = 0
—> x = 0 or -1/2

and 2nd quadratic equation,
(x + 1/2)(2x - 3) = 0
—> x + 1/2 = 0 or 2x - 3 = 0
—> x = -1/2 or x = 3/2

Combining 1st and 2nd equation, we get common value of x as -1/2

So, Option B
User avatar
avigutman
Joined: 17 Jul 2019
Last visit: 30 Sep 2025
Posts: 1,285
Own Kudos:
1,907
 [3]
Given Kudos: 66
Location: Canada
GMAT 1: 780 Q51 V45
GMAT 2: 780 Q50 V47
GMAT 3: 770 Q50 V45
Expert
Expert reply
GMAT 3: 770 Q50 V45
Posts: 1,285
Kudos: 1,907
 [3]
1
Kudos
Add Kudos
2
Bookmarks
Bookmark this Post
Video solution from Quant Reasoning:
Subscribe for more: https://www.youtube.com/QuantReasoning? ... irmation=1
User avatar
EMPOWERgmatRichC
User avatar
Major Poster
Joined: 19 Dec 2014
Last visit: 31 Dec 2023
Posts: 21,777
Own Kudos:
13,047
 [2]
Given Kudos: 450
Status:GMAT Assassin/Co-Founder
Affiliations: EMPOWERgmat
Location: United States (CA)
GMAT 1: 800 Q51 V49
GRE 1: Q170 V170
Expert
Expert reply
GMAT 1: 800 Q51 V49
GRE 1: Q170 V170
Posts: 21,777
Kudos: 13,047
 [2]
1
Kudos
Add Kudos
1
Bookmarks
Bookmark this Post
Hi All,

This question gives us a couple of Quadratic equations that have already been factored:

(X)(2X + 1) = 0 and (X + ½)(2X – 3) = 0

We’re asked when X equals. This is a standard mid-level Algebra prompt that has already done half the work for us, so we just need to calculate the two values of X in each equation and find the one answer that shows up in BOTH equations.

With (X)(2X + 1) = 0

X = 0 and X = -1/2 are the two solutions

With (X + ½)(2X – 3) = 0

X = -1/2 and X = 3/2 are the two solutions

Based on these results, the answer that shows up in BOTH is…

Final Answer:
GMAT Assassins aren’t born, they’re made,
Rich
User avatar
GMATinsight
User avatar
Major Poster
Joined: 08 Jul 2010
Last visit: 23 Apr 2026
Posts: 6,976
Own Kudos:
Given Kudos: 128
Status:GMAT/GRE Tutor l Admission Consultant l On-Demand Course creator
Location: India
GMAT: QUANT+DI EXPERT
Schools: IIM (A) ISB '24
GMAT 1: 750 Q51 V41
WE:Education (Education)
Products:
Expert
Expert reply
Schools: IIM (A) ISB '24
GMAT 1: 750 Q51 V41
Posts: 6,976
Kudos: 16,908
Kudos
Add Kudos
Bookmarks
Bookmark this Post
Walkabout
If x(2x + 1) = 0 and (x + 1/2)(2x - 3) = 0, then x =

(A) -3
(B) -1/2
(C) 0
(D) 1/2
(E) 3/2

Answer: Option B

Step-by-Step Video solution by GMATinsight

User avatar
jafeezy
Joined: 24 Aug 2024
Last visit: 03 Oct 2024
Posts: 3
Own Kudos:
Given Kudos: 11
Posts: 3
Kudos: 1
Kudos
Add Kudos
Bookmarks
Bookmark this Post
I just had this question on in the GMAT OG Practice questions. I dont know if anyone else has encountered this, but I want to make sure I am not crazy. See attached picture.

The prompt gives:

x(2x+1)=0 and (X+1/2)(2x-3)=0

In this problem there are two different x variables. Big X and little x. I took this to mean that they were completely separate variables. Then the question asks what little x can equal, -1/2 cannot be right because in the second equation, little x can never be -1/2. Is this a typo on GMAC's part? Or am I always supposed to assume that big X and little x are the same variable? I know 0 is not the right answer, but i just picked something because it wasnt making sense to me.
Attachments

GMAC Practice Question screen shot.png
GMAC Practice Question screen shot.png [ 94.35 KiB | Viewed 11227 times ]

User avatar
Bunuel
User avatar
Math Expert
Joined: 02 Sep 2009
Last visit: 23 Apr 2026
Posts: 109,785
Own Kudos:
810,876
 [1]
Given Kudos: 105,853
Products:
Expert
Expert reply
Active GMAT Club Expert! Tag them with @ followed by their username for a faster response.
Posts: 109,785
Kudos: 810,876
 [1]
1
Kudos
Add Kudos
Bookmarks
Bookmark this Post
jafeezy
I just had this question on in the GMAT OG Practice questions. I dont know if anyone else has encountered this, but I want to make sure I am not crazy. See attached picture.

The prompt gives:

x(2x+1)=0 and (X+1/2)(2x-3)=0

In this problem there are two different x variables. Big X and little x. I took this to mean that they were completely separate variables. Then the question asks what little x can equal, -1/2 cannot be right because in the second equation, little x can never be -1/2. Is this a typo on GMAC's part? Or am I always supposed to assume that big X and little x are the same variable? I know 0 is not the right answer, but i just picked something because it wasnt making sense to me.

That's a typo. Here is a screenshot from the OG:


Attachment:
GMAT-Club-Forum-maynrv4r.png
GMAT-Club-Forum-maynrv4r.png [ 41.83 KiB | Viewed 5604 times ]
User avatar
bumpbot
User avatar
Non-Human User
Joined: 09 Sep 2013
Last visit: 04 Jan 2021
Posts: 38,960
Own Kudos:
Posts: 38,960
Kudos: 1,117
Kudos
Add Kudos
Bookmarks
Bookmark this Post
Automated notice from GMAT Club BumpBot:

A member just gave Kudos to this thread, showing it’s still useful. I’ve bumped it to the top so more people can benefit. Feel free to add your own questions or solutions.

This post was generated automatically.
Moderators:
Math Expert
109785 posts
Tuck School Moderator
853 posts