Last visit was: 26 Apr 2026, 07:10 It is currently 26 Apr 2026, 07:10
Close
GMAT Club Daily Prep
Thank you for using the timer - this advanced tool can estimate your performance and suggest more practice questions. We have subscribed you to Daily Prep Questions via email.

Customized
for You

we will pick new questions that match your level based on your Timer History

Track
Your Progress

every week, we’ll send you an estimated GMAT score based on your performance

Practice
Pays

we will pick new questions that match your level based on your Timer History
Not interested in getting valuable practice questions and articles delivered to your email? No problem, unsubscribe here.
Close
Request Expert Reply
Confirm Cancel
User avatar
Bunuel
User avatar
Math Expert
Joined: 02 Sep 2009
Last visit: 26 Apr 2026
Posts: 109,837
Own Kudos:
811,374
 [6]
Given Kudos: 105,895
Products:
Expert
Expert reply
Active GMAT Club Expert! Tag them with @ followed by their username for a faster response.
Posts: 109,837
Kudos: 811,374
 [6]
Kudos
Add Kudos
6
Bookmarks
Bookmark this Post
User avatar
Lucky2783
Joined: 07 Aug 2011
Last visit: 08 May 2020
Posts: 415
Own Kudos:
Given Kudos: 75
Concentration: International Business, Technology
GMAT 1: 630 Q49 V27
GMAT 1: 630 Q49 V27
Posts: 415
Kudos: 2,109
Kudos
Add Kudos
Bookmarks
Bookmark this Post
avatar
aj13783
Joined: 22 Aug 2014
Last visit: 25 Aug 2018
Posts: 29
Own Kudos:
42
 [1]
Given Kudos: 6
Posts: 29
Kudos: 42
 [1]
1
Kudos
Add Kudos
Bookmarks
Bookmark this Post
User avatar
AmoyV
User avatar
Retired Moderator
Joined: 30 Jul 2013
Last visit: 09 Nov 2022
Posts: 244
Own Kudos:
742
 [1]
Given Kudos: 134
Status:On a mountain of skulls, in the castle of pain, I sit on a throne of blood.
Products:
Posts: 244
Kudos: 742
 [1]
1
Kudos
Add Kudos
Bookmarks
Bookmark this Post
Bunuel
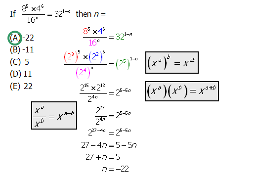
If \(\frac{8^5*4^6}{16^n}= 32^{(1-n)}\), then n =

A. -22
B. -11
C. 5
D. 11
E. 22


Kudos for a correct solution.

Numerator's powers of 2:
15+12-4n=5-5n
n=-22

Answer: A
avatar
PareshGmat
Joined: 27 Dec 2012
Last visit: 10 Jul 2016
Posts: 1,531
Own Kudos:
Given Kudos: 193
Status:The Best Or Nothing
Location: India
Concentration: General Management, Technology
WE:Information Technology (Computer Software)
Posts: 1,531
Kudos: 8,278
Kudos
Add Kudos
Bookmarks
Bookmark this Post
Answer = A = -22

Rewriting the complete equation in powers of 2

\(\frac{2^{15} * 2^{12}}{2^{4n}} = \frac{2^5}{2^{5n}}\)

\(2^{22} * 2^{5n} = 2^{4n}\)

\(2^{22+5n} = 2^{4n}\)

Bases are same, equating powers

n = -22
User avatar
Bunuel
User avatar
Math Expert
Joined: 02 Sep 2009
Last visit: 26 Apr 2026
Posts: 109,837
Own Kudos:
811,374
 [1]
Given Kudos: 105,895
Products:
Expert
Expert reply
Active GMAT Club Expert! Tag them with @ followed by their username for a faster response.
Posts: 109,837
Kudos: 811,374
 [1]
1
Kudos
Add Kudos
Bookmarks
Bookmark this Post
Bunuel
If \(\frac{8^5*4^6}{16^n}= 32^{(1-n)}\), then n =

A. -22
B. -11
C. 5
D. 11
E. 22


Kudos for a correct solution.

MAGOOSH OFFICIAL SOLUTION:
Attachment:
Exponents_equation.png
Exponents_equation.png [ 19.52 KiB | Viewed 9866 times ]
User avatar
bumpbot
User avatar
Non-Human User
Joined: 09 Sep 2013
Last visit: 04 Jan 2021
Posts: 38,988
Own Kudos:
Posts: 38,988
Kudos: 1,118
Kudos
Add Kudos
Bookmarks
Bookmark this Post
Automated notice from GMAT Club BumpBot:

A member just gave Kudos to this thread, showing it’s still useful. I’ve bumped it to the top so more people can benefit. Feel free to add your own questions or solutions.

This post was generated automatically.
Moderators:
Math Expert
109837 posts
Tuck School Moderator
852 posts