Last visit was: 24 Apr 2026, 10:35 It is currently 24 Apr 2026, 10:35
Close
GMAT Club Daily Prep
Thank you for using the timer - this advanced tool can estimate your performance and suggest more practice questions. We have subscribed you to Daily Prep Questions via email.

Customized
for You

we will pick new questions that match your level based on your Timer History

Track
Your Progress

every week, we’ll send you an estimated GMAT score based on your performance

Practice
Pays

we will pick new questions that match your level based on your Timer History
Not interested in getting valuable practice questions and articles delivered to your email? No problem, unsubscribe here.
Close
Request Expert Reply
Confirm Cancel
User avatar
Bunuel
User avatar
Math Expert
Joined: 02 Sep 2009
Last visit: 24 Apr 2026
Posts: 109,814
Own Kudos:
Given Kudos: 105,873
Products:
Expert
Expert reply
Active GMAT Club Expert! Tag them with @ followed by their username for a faster response.
Posts: 109,814
Kudos: 811,034
 [22]
1
Kudos
Add Kudos
21
Bookmarks
Bookmark this Post
Most Helpful Reply
User avatar
BrentGMATPrepNow
User avatar
Major Poster
Joined: 12 Sep 2015
Last visit: 31 Oct 2025
Posts: 6,733
Own Kudos:
36,456
 [12]
Given Kudos: 799
Location: Canada
Expert
Expert reply
Posts: 6,733
Kudos: 36,456
 [12]
4
Kudos
Add Kudos
8
Bookmarks
Bookmark this Post
General Discussion
User avatar
Senthil1981
Joined: 23 Apr 2015
Last visit: 14 Oct 2021
Posts: 225
Own Kudos:
Given Kudos: 36
Location: United States
Concentration: General Management, International Business
WE:Engineering (Consulting)
Posts: 225
Kudos: 618
Kudos
Add Kudos
Bookmarks
Bookmark this Post
User avatar
Bunuel
User avatar
Math Expert
Joined: 02 Sep 2009
Last visit: 24 Apr 2026
Posts: 109,814
Own Kudos:
Given Kudos: 105,873
Products:
Expert
Expert reply
Active GMAT Club Expert! Tag them with @ followed by their username for a faster response.
Posts: 109,814
Kudos: 811,034
Kudos
Add Kudos
Bookmarks
Bookmark this Post
Senthil1981
Bunuel
(3^2+1)(81^2+1)(9^2+1)(3^2−1)=

A. 81^4+1
B. 9^9−1
C. 3^16−1
D. 3^32−1
E. 3^96+1

(3^2+1)(81^2+1)(9^2+1)(3^2−1)=(81^2+1)(9^2+1)(9^2−1)=(81^2+1)(9^4-1)=(81^2+1)(81^2-1) = (81^4-1)
Answer is A

Notice that A is not 81^4-1 it's 81^4+1.
User avatar
Senthil1981
Joined: 23 Apr 2015
Last visit: 14 Oct 2021
Posts: 225
Own Kudos:
618
 [1]
Given Kudos: 36
Location: United States
Concentration: General Management, International Business
WE:Engineering (Consulting)
Posts: 225
Kudos: 618
 [1]
1
Kudos
Add Kudos
Bookmarks
Bookmark this Post
Bunuel
Senthil1981
Bunuel
(3^2+1)(81^2+1)(9^2+1)(3^2−1)=

A. 81^4+1
B. 9^9−1
C. 3^16−1
D. 3^32−1
E. 3^96+1

(3^2+1)(81^2+1)(9^2+1)(3^2−1)=(81^2+1)(9^2+1)(9^2−1)=(81^2+1)(9^4-1)=(81^2+1)(81^2-1) = (81^4-1)
Answer is C A

Notice that A is not 81^4-1 it's 81^4+1.

Yup, just noticed. Thanks for highlighting.

so 81^4-1 = > (3^4)^4-1 => 3^16-1
User avatar
mystiquethinker
Joined: 30 Oct 2012
Last visit: 20 Dec 2021
Posts: 50
Own Kudos:
Given Kudos: 26
Location: India
WE:Marketing (Manufacturing)
Posts: 50
Kudos: 76
Kudos
Add Kudos
Bookmarks
Bookmark this Post
Bunuel
(3^2+1)(81^2+1)(9^2+1)(3^2−1)=

A. 81^4+1
B. 9^9−1
C. 3^16−1
D. 3^32−1
E. 3^96+1

Option C

81^4-1= 3^16-1
User avatar
KarishmaParmar
Joined: 15 Feb 2016
Last visit: 21 Jan 2017
Posts: 51
Own Kudos:
Given Kudos: 28
GMAT 1: 710 Q48 V40
Products:
GMAT 1: 710 Q48 V40
Posts: 51
Kudos: 37
Kudos
Add Kudos
Bookmarks
Bookmark this Post
Bunuel
\((3^2+1)(81^2+1)(9^2+1)(3^2−1)=\)

A. \(81^4+1\)

B. \(9^9−1\)

C. \(3^{16}−1\)

D. \(3^{32}−1\)

E. \(3^{96}+1\)

Property : a^2-b^2= (a+b)(a-b)

So, (3^2+1)(3^2−1) = 3^4-1

The expression becomes : (3^4-1)(3^8+1)(3^4+1)

Expression= (3^8+1)(3^8-1)
or, (3^16-1)
Answer C Simple as that!


Or through another route-
The expression becomes : (3^4-1)(81^2+1)(9^2+1)
Since (3^4-1) = (9^2-1)
Expression= (9^2-1)(81^2+1)(9^2+1)
or, (81^2+1)(81^2-1)
or, (81^4-1)
or, (3^16-1)

C again :lol:
User avatar
stonecold
Joined: 12 Aug 2015
Last visit: 09 Apr 2024
Posts: 2,231
Own Kudos:
Given Kudos: 893
GRE 1: Q169 V154
GRE 1: Q169 V154
Posts: 2,231
Kudos: 3,643
Kudos
Add Kudos
Bookmarks
Bookmark this Post
Nice Question Bunuel
Here is my approach =>
using a+b * a-b = a^2-b^2
=> (3^2+1) *(3^2-1)(9^2+1)(81^2+1)
=> (9^2-1)*(9^1+1)(81^1+1)
=> (81^2-1)(81^2+1)
=>81^4-1
=>(3^4)^4-1
=>3^16-1
SMASH THAT C
User avatar
Donnie84
Joined: 04 Jan 2014
Last visit: 25 Jun 2025
Posts: 496
Own Kudos:
Given Kudos: 15
GMAT 1: 660 Q48 V32
GMAT 2: 630 Q48 V28
GMAT 3: 680 Q48 V35
GMAT 3: 680 Q48 V35
Posts: 496
Kudos: 280
Kudos
Add Kudos
Bookmarks
Bookmark this Post
Most of us (including me) have solved this using the classical approach.

I have another possible approach but would need help from the experts. Notice that the first term is 10 so the entire expression will end in a 0. Now, let's use concept of units digits and check each options.

a. Unit digit = 1 + 1 = 2 -> reject
b. Unit digit = 9 - 1 = 8 -> reject
c. Unit digit = 1 - 1 = 0 -> hold
d. Unit digit = 1 - 1 = 0 -> hold
e. Unit digit = 1 + 1 = 2 -> reject

At this point, I'm not entirely sure how to pick between c and d. Can we eyeball the powers of 3 in the original expression to rule out option d since the power of 3 is too big and it is unlikely to have that many 3s in the expansion?

Experts, please suggest.
User avatar
CrackverbalGMAT
User avatar
Major Poster
Joined: 03 Oct 2013
Last visit: 24 Apr 2026
Posts: 4,846
Own Kudos:
Given Kudos: 226
Affiliations: CrackVerbal
Location: India
Expert
Expert reply
Posts: 4,846
Kudos: 9,182
Kudos
Add Kudos
Bookmarks
Bookmark this Post
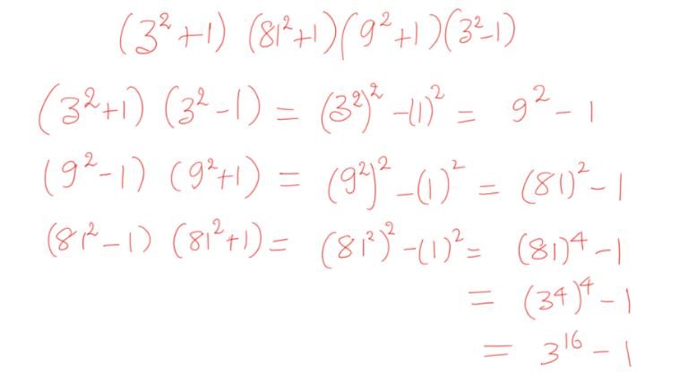
This is an excellent question, which can be solved purely based on ONE algebraic identity. The only thing that makes it look difficult is the order in which the terms are given in the question.

The algebraic identity to be used in solving this question is \(a^2\) – \(b^2\) = (a+b) (a-b).

Refer to the figure below to understand how it can be broken down step by step using the algebraic identity:

Attachment:
3rd Sept 2019 - Reply 1.JPG
3rd Sept 2019 - Reply 1.JPG [ 31.97 KiB | Viewed 6037 times ]

The correct answer option is C.
In such a question, observation is key. Observe the different numbers and try to see how they are related or how they can be tied in using a mathematical operation.
Hope this helps!
User avatar
bumpbot
User avatar
Non-Human User
Joined: 09 Sep 2013
Last visit: 04 Jan 2021
Posts: 38,973
Own Kudos:
Posts: 38,973
Kudos: 1,117
Kudos
Add Kudos
Bookmarks
Bookmark this Post
Automated notice from GMAT Club BumpBot:

A member just gave Kudos to this thread, showing it’s still useful. I’ve bumped it to the top so more people can benefit. Feel free to add your own questions or solutions.

This post was generated automatically.
Moderators:
Math Expert
109814 posts
Tuck School Moderator
853 posts