Last visit was: 22 Apr 2026, 10:16 It is currently 22 Apr 2026, 10:16
Close
GMAT Club Daily Prep
Thank you for using the timer - this advanced tool can estimate your performance and suggest more practice questions. We have subscribed you to Daily Prep Questions via email.

Customized
for You

we will pick new questions that match your level based on your Timer History

Track
Your Progress

every week, we’ll send you an estimated GMAT score based on your performance

Practice
Pays

we will pick new questions that match your level based on your Timer History
Not interested in getting valuable practice questions and articles delivered to your email? No problem, unsubscribe here.
Close
Request Expert Reply
Confirm Cancel
User avatar
Bunuel
User avatar
Math Expert
Joined: 02 Sep 2009
Last visit: 22 Apr 2026
Posts: 109,747
Own Kudos:
Given Kudos: 105,820
Products:
Expert
Expert reply
Active GMAT Club Expert! Tag them with @ followed by their username for a faster response.
Posts: 109,747
Kudos: 810,632
 [13]
2
Kudos
Add Kudos
10
Bookmarks
Bookmark this Post
User avatar
gmatcafe
Joined: 27 Sep 2020
Last visit: 25 Nov 2022
Posts: 182
Own Kudos:
286
 [2]
Given Kudos: 97
Location: Uzbekistan
Concentration: Finance, Strategy
GPA: 3.73
WE:Consulting (Consulting)
Posts: 182
Kudos: 286
 [2]
2
Kudos
Add Kudos
Bookmarks
Bookmark this Post
User avatar
ScottTargetTestPrep
User avatar
Target Test Prep Representative
Joined: 14 Oct 2015
Last visit: 22 Apr 2026
Posts: 22,276
Own Kudos:
26,528
 [4]
Given Kudos: 302
Status:Founder & CEO
Affiliations: Target Test Prep
Location: United States (CA)
Expert
Expert reply
Active GMAT Club Expert! Tag them with @ followed by their username for a faster response.
Posts: 22,276
Kudos: 26,528
 [4]
3
Kudos
Add Kudos
1
Bookmarks
Bookmark this Post
User avatar
HarshavardhanR
Joined: 16 Mar 2023
Last visit: 22 Apr 2026
Posts: 488
Own Kudos:
574
 [1]
Given Kudos: 67
Status:Independent GMAT Tutor
Affiliations: Ex - Director, Subject Matter Expertise at e-GMAT
Products:
Expert
Expert reply
Active GMAT Club Expert! Tag them with @ followed by their username for a faster response.
Posts: 488
Kudos: 574
 [1]
1
Kudos
Add Kudos
Bookmarks
Bookmark this Post
­
___
Harsha
Passionate about all things GMAT | Exploring the GMAT space | My website: gmatanchor.com
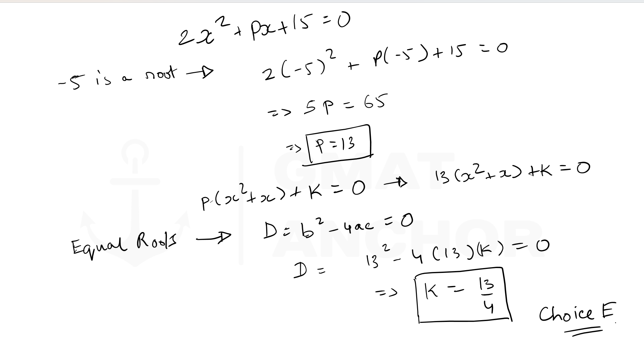
Attachment:
GMAT-Club-Forum-22bgy7aj.png
GMAT-Club-Forum-22bgy7aj.png [ 159.79 KiB | Viewed 1559 times ]
User avatar
bumpbot
User avatar
Non-Human User
Joined: 09 Sep 2013
Last visit: 04 Jan 2021
Posts: 38,968
Own Kudos:
Posts: 38,968
Kudos: 1,117
Kudos
Add Kudos
Bookmarks
Bookmark this Post
Automated notice from GMAT Club BumpBot:

A member just gave Kudos to this thread, showing it’s still useful. I’ve bumped it to the top so more people can benefit. Feel free to add your own questions or solutions.

This post was generated automatically.
Moderators:
Math Expert
109746 posts
Tuck School Moderator
853 posts