Last visit was: 24 Apr 2026, 17:53 It is currently 24 Apr 2026, 17:53
Close
GMAT Club Daily Prep
Thank you for using the timer - this advanced tool can estimate your performance and suggest more practice questions. We have subscribed you to Daily Prep Questions via email.

Customized
for You

we will pick new questions that match your level based on your Timer History

Track
Your Progress

every week, we’ll send you an estimated GMAT score based on your performance

Practice
Pays

we will pick new questions that match your level based on your Timer History
Not interested in getting valuable practice questions and articles delivered to your email? No problem, unsubscribe here.
Close
Request Expert Reply
Confirm Cancel
User avatar
Bunuel
User avatar
Math Expert
Joined: 02 Sep 2009
Last visit: 24 Apr 2026
Posts: 109,818
Own Kudos:
811,081
 [8]
Given Kudos: 105,873
Products:
Expert
Expert reply
Active GMAT Club Expert! Tag them with @ followed by their username for a faster response.
Posts: 109,818
Kudos: 811,081
 [8]
Kudos
Add Kudos
8
Bookmarks
Bookmark this Post
User avatar
PyjamaScientist
User avatar
Admitted - Which School Forum Moderator
Joined: 25 Oct 2020
Last visit: 04 Apr 2026
Posts: 1,126
Own Kudos:
1,358
 [3]
Given Kudos: 633
GMAT 1: 740 Q49 V42 (Online)
Products:
GMAT 1: 740 Q49 V42 (Online)
Posts: 1,126
Kudos: 1,358
 [3]
2
Kudos
Add Kudos
1
Bookmarks
Bookmark this Post
User avatar
MBAHOUSE
User avatar
MBA House Admissions Consultant
Joined: 26 May 2022
Last visit: 23 Apr 2024
Posts: 337
Own Kudos:
Expert
Expert reply
Posts: 337
Kudos: 98
Kudos
Add Kudos
Bookmarks
Bookmark this Post
User avatar
ScottTargetTestPrep
User avatar
Target Test Prep Representative
Joined: 14 Oct 2015
Last visit: 24 Apr 2026
Posts: 22,286
Own Kudos:
26,534
 [1]
Given Kudos: 302
Status:Founder & CEO
Affiliations: Target Test Prep
Location: United States (CA)
Expert
Expert reply
Active GMAT Club Expert! Tag them with @ followed by their username for a faster response.
Posts: 22,286
Kudos: 26,534
 [1]
1
Kudos
Add Kudos
Bookmarks
Bookmark this Post
Bunuel
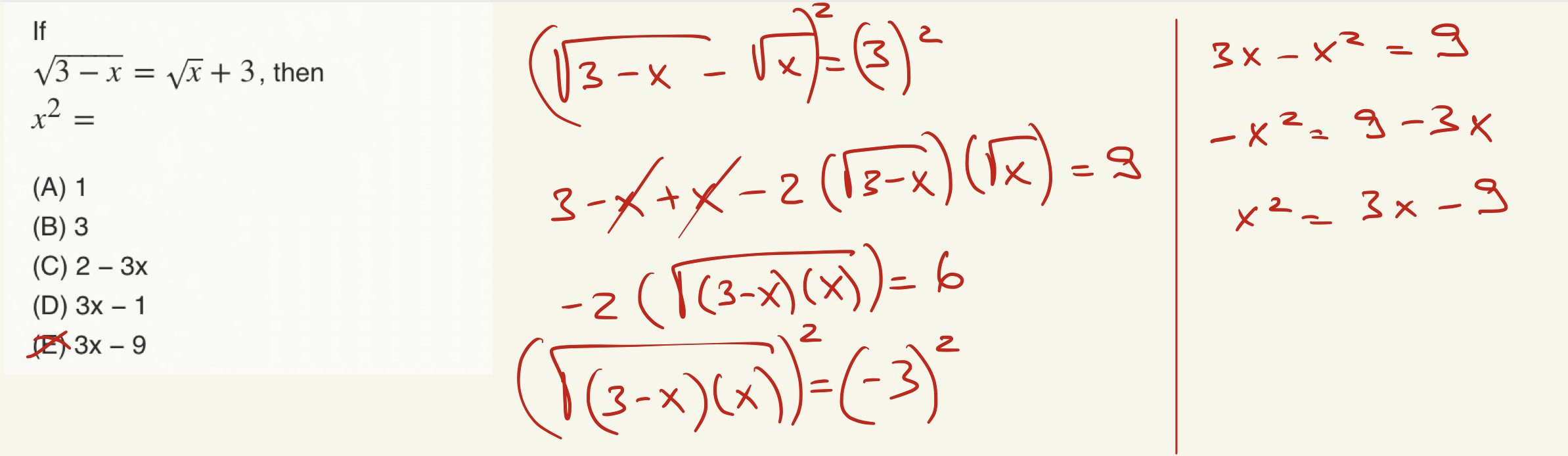
If \(\sqrt{3-x}= \sqrt{x} + 3\), then \(x^2=\)

(A) 1
(B) 3
(C) 2 − 3x
(D) 3x − 1
(E) 3x − 9

Let's square each side of the given equation:

\(\Rightarrow\) (√(3 - x))^2 = (√x + 3)^2

\(\Rightarrow\) 3 - x = x + 6√x + 9

\(\Rightarrow\) -6 - 2x = 6√x

\(\Rightarrow\) -3 - x = 3√x

Let's square each side of the equation again:

\(\Rightarrow\) (-3 - x)^2 = (3√x)^2

\(\Rightarrow\) 9 + 6x + x^2 = 9x

\(\Rightarrow\) x^2 = 3x - 9

Answer: E
User avatar
BrushMyQuant
Joined: 05 Apr 2011
Last visit: 03 Apr 2026
Posts: 2,286
Own Kudos:
Given Kudos: 100
Status:Tutor - BrushMyQuant
Location: India
Concentration: Finance, Marketing
Schools: XLRI (A)
GMAT 1: 700 Q51 V31
GPA: 3
WE:Information Technology (Computer Software)
Expert
Expert reply
Schools: XLRI (A)
GMAT 1: 700 Q51 V31
Posts: 2,286
Kudos: 2,680
Kudos
Add Kudos
Bookmarks
Bookmark this Post
↧↧↧ Detailed Video Solution to the Problem Series ↧↧↧



\(\sqrt{3-x}= \sqrt{x} + 3\)

Squaring both the sides we get

\((\sqrt{3-x})^2= (\sqrt{x} + 3)^2\)
=> \(3 - x = (\sqrt{x})^2 + 2 * \sqrt{x} * 3 + 3^2\)
=> 3 - x = x + 6\(\sqrt{x}\) + 9
=> 3 - x - x - 9 = 6\(\sqrt{x}\)
=> -2x - 6 = 6\(\sqrt{x}\)
=> -(x + 3) = 3\(\sqrt{x}\)

Squaring both the sides we get
=> \((x + 3)^2 = (3\sqrt{x})^2\)
=> \(x^2 + 2 * x * 3 + 3^2 = 9x\)
=> \(x^2\) + 6x + 9 = 9x
=> \(x^2\) = 9x - 6x - 9 = 3x - 9

So, Answer will be E
Hope it helps!

Watch the following video to MASTER Roots

­
Moderators:
Math Expert
109818 posts
Tuck School Moderator
853 posts