Last visit was: 23 Apr 2026, 20:44 It is currently 23 Apr 2026, 20:44
Close
GMAT Club Daily Prep
Thank you for using the timer - this advanced tool can estimate your performance and suggest more practice questions. We have subscribed you to Daily Prep Questions via email.

Customized
for You

we will pick new questions that match your level based on your Timer History

Track
Your Progress

every week, we’ll send you an estimated GMAT score based on your performance

Practice
Pays

we will pick new questions that match your level based on your Timer History
Not interested in getting valuable practice questions and articles delivered to your email? No problem, unsubscribe here.
Close
Request Expert Reply
Confirm Cancel
User avatar
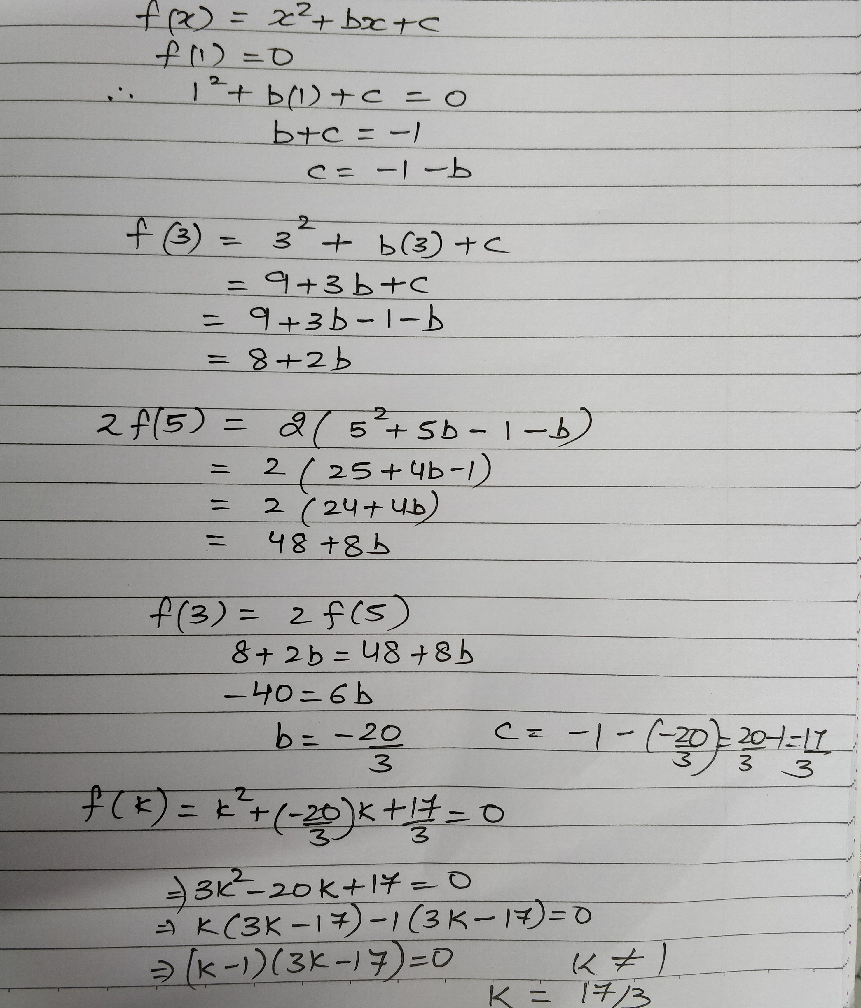
gvishesh21
Joined: 04 Oct 2022
Last visit: 23 Feb 2023
Posts: 8
Own Kudos:
37
 [2]
Given Kudos: 59
Posts: 8
Kudos: 37
 [2]
Kudos
Add Kudos
2
Bookmarks
Bookmark this Post
User avatar
divyadna
Joined: 21 Dec 2021
Last visit: 30 Jan 2024
Posts: 311
Own Kudos:
330
 [1]
Given Kudos: 242
Posts: 311
Kudos: 330
 [1]
1
Kudos
Add Kudos
Bookmarks
Bookmark this Post
User avatar
rajtare
Joined: 05 Nov 2014
Last visit: 18 Feb 2026
Posts: 183
Own Kudos:
Given Kudos: 12
Location: India
Concentration: Operations, Leadership
GPA: 3.99
Products:
Kudos
Add Kudos
Bookmarks
Bookmark this Post
User avatar
bumpbot
User avatar
Non-Human User
Joined: 09 Sep 2013
Last visit: 04 Jan 2021
Posts: 38,960
Own Kudos:
Posts: 38,960
Kudos: 1,117
Kudos
Add Kudos
Bookmarks
Bookmark this Post
Automated notice from GMAT Club BumpBot:

A member just gave Kudos to this thread, showing it’s still useful. I’ve bumped it to the top so more people can benefit. Feel free to add your own questions or solutions.

This post was generated automatically.
Moderators:
Math Expert
109785 posts
Tuck School Moderator
853 posts