Last visit was: 24 Apr 2026, 09:00 It is currently 24 Apr 2026, 09:00
Close
GMAT Club Daily Prep
Thank you for using the timer - this advanced tool can estimate your performance and suggest more practice questions. We have subscribed you to Daily Prep Questions via email.

Customized
for You

we will pick new questions that match your level based on your Timer History

Track
Your Progress

every week, we’ll send you an estimated GMAT score based on your performance

Practice
Pays

we will pick new questions that match your level based on your Timer History
Not interested in getting valuable practice questions and articles delivered to your email? No problem, unsubscribe here.
Close
Request Expert Reply
Confirm Cancel
User avatar
Bunuel
User avatar
Math Expert
Joined: 02 Sep 2009
Last visit: 24 Apr 2026
Posts: 109,814
Own Kudos:
811,028
 [3]
Given Kudos: 105,871
Products:
Expert
Expert reply
Active GMAT Club Expert! Tag them with @ followed by their username for a faster response.
Posts: 109,814
Kudos: 811,028
 [3]
Kudos
Add Kudos
3
Bookmarks
Bookmark this Post
User avatar
Aryaa03
Joined: 12 Jun 2023
Last visit: 19 Feb 2026
Posts: 210
Own Kudos:
285
 [1]
Given Kudos: 159
Location: India
GMAT Focus 1: 645 Q86 V81 DI78
GMAT Focus 1: 645 Q86 V81 DI78
Posts: 210
Kudos: 285
 [1]
1
Kudos
Add Kudos
Bookmarks
Bookmark this Post
User avatar
AbhinavShah14
Joined: 12 Sep 2023
Last visit: 09 May 2024
Posts: 20
Own Kudos:
26
 [2]
Given Kudos: 59
Location: India
Abhinav: Shah
Concentration: Accounting, Finance
Posts: 20
Kudos: 26
 [2]
1
Kudos
Add Kudos
1
Bookmarks
Bookmark this Post
User avatar
Oppenheimer1945
Joined: 16 Jul 2019
Last visit: 21 Apr 2026
Posts: 785
Own Kudos:
663
 [1]
Given Kudos: 236
Location: India
GMAT Focus 1: 645 Q90 V76 DI80
GPA: 7.81
1
Kudos
Add Kudos
Bookmarks
Bookmark this Post
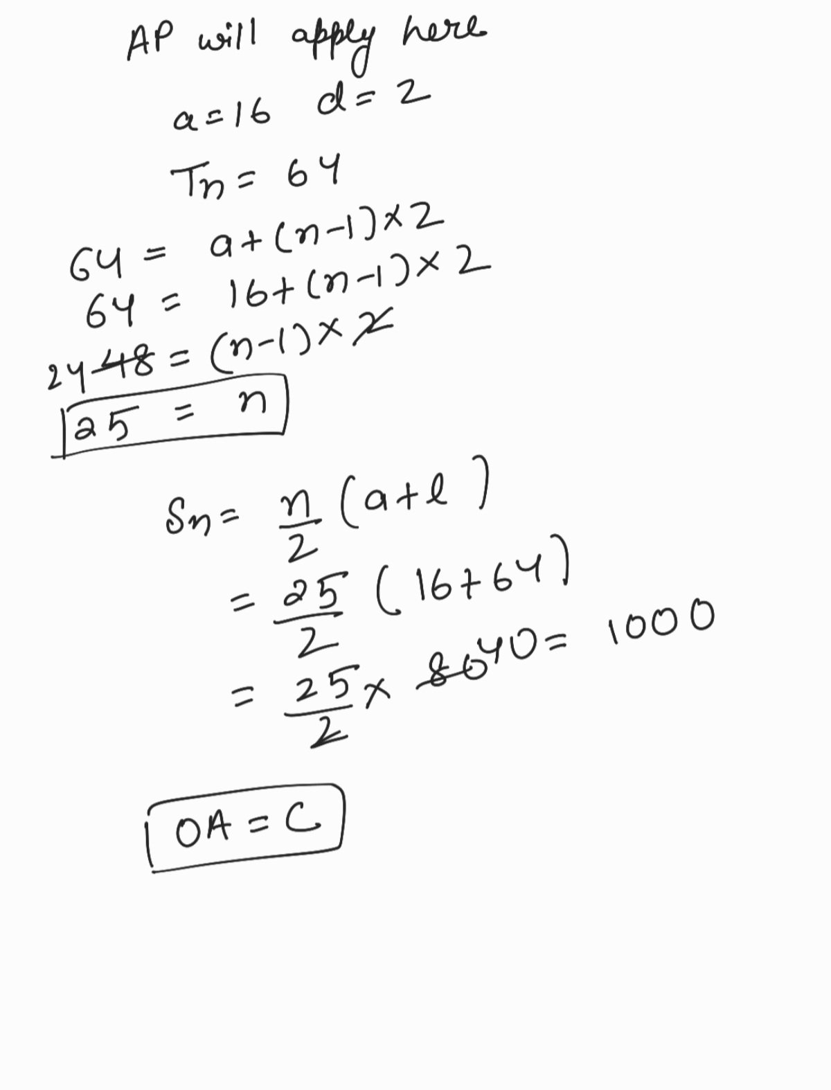
16
16+2
16+2*2
:
nth row has 16+2(n-1) seats

16+2(n-1)=64
=> 2(n-1)=48
=> n=25

total seats=25/2 (80)=25*40=1000
User avatar
VivekSri
Joined: 01 May 2022
Last visit: 05 Feb 2026
Posts: 468
Own Kudos:
771
 [3]
Given Kudos: 117
Location: India
WE:Engineering (Consulting)
Posts: 468
Kudos: 771
 [3]
3
Kudos
Add Kudos
Bookmarks
Bookmark this Post
Bunuel
In a theater, the first row has 16 seats and each row after has 2 more seats than the one before. If the last row has 64 seats, how many seats are there altogether?

A. 640
B. 720
C. 1,000
D. 1,200
E. 1,240



In a certain theater, the first row has 16 seats and the next row has 2 more seats than previous row. If the last row has 64 seats, what is the total number of seats?


OA is C

Posted from my mobile device
Attachments

Screenshot_20240113_004650_Samsung Notes.jpg
Screenshot_20240113_004650_Samsung Notes.jpg [ 115.14 KiB | Viewed 2499 times ]

User avatar
bumpbot
User avatar
Non-Human User
Joined: 09 Sep 2013
Last visit: 04 Jan 2021
Posts: 38,974
Own Kudos:
Posts: 38,974
Kudos: 1,117
Kudos
Add Kudos
Bookmarks
Bookmark this Post
Automated notice from GMAT Club BumpBot:

A member just gave Kudos to this thread, showing it’s still useful. I’ve bumped it to the top so more people can benefit. Feel free to add your own questions or solutions.

This post was generated automatically.
Moderators:
Math Expert
109814 posts
Tuck School Moderator
853 posts