Last visit was: 23 Apr 2026, 17:33 It is currently 23 Apr 2026, 17:33
Close
GMAT Club Daily Prep
Thank you for using the timer - this advanced tool can estimate your performance and suggest more practice questions. We have subscribed you to Daily Prep Questions via email.

Customized
for You

we will pick new questions that match your level based on your Timer History

Track
Your Progress

every week, we’ll send you an estimated GMAT score based on your performance

Practice
Pays

we will pick new questions that match your level based on your Timer History
Not interested in getting valuable practice questions and articles delivered to your email? No problem, unsubscribe here.
Close
Request Expert Reply
Confirm Cancel
Sub 505 (Easy)|   Multiples and Factors|   Number Properties|                        
User avatar
Bunuel
User avatar
Math Expert
Joined: 02 Sep 2009
Last visit: 23 Apr 2026
Posts: 109,785
Own Kudos:
Given Kudos: 105,853
Products:
Expert
Expert reply
Active GMAT Club Expert! Tag them with @ followed by their username for a faster response.
Posts: 109,785
Kudos: 810,870
 [46]
4
Kudos
Add Kudos
41
Bookmarks
Bookmark this Post
Most Helpful Reply
User avatar
Bunuel
User avatar
Math Expert
Joined: 02 Sep 2009
Last visit: 23 Apr 2026
Posts: 109,785
Own Kudos:
810,870
 [5]
Given Kudos: 105,853
Products:
Expert
Expert reply
Active GMAT Club Expert! Tag them with @ followed by their username for a faster response.
Posts: 109,785
Kudos: 810,870
 [5]
4
Kudos
Add Kudos
1
Bookmarks
Bookmark this Post
General Discussion
User avatar
cyberjadugar
Joined: 29 Mar 2012
Last visit: 01 Apr 2026
Posts: 264
Own Kudos:
Given Kudos: 23
Location: India
GMAT 1: 640 Q50 V26
GMAT 2: 660 Q50 V28
GMAT 3: 730 Q50 V38
GMAT 3: 730 Q50 V38
Posts: 264
Kudos: 1,814
Kudos
Add Kudos
Bookmarks
Bookmark this Post
User avatar
Bunuel
User avatar
Math Expert
Joined: 02 Sep 2009
Last visit: 23 Apr 2026
Posts: 109,785
Own Kudos:
Given Kudos: 105,853
Products:
Expert
Expert reply
Active GMAT Club Expert! Tag them with @ followed by their username for a faster response.
Posts: 109,785
Kudos: 810,870
Kudos
Add Kudos
Bookmarks
Bookmark this Post
cyberjadugar
Hi,

Using (1)
Each of the integers 2, 3, and 5 is a factor of p.
Possible values of p = 2*3*5 or \(2^2*3*5*11\). Insufficient.

Using (2)
Each of the integers 2, 5, and 7 is a factor of p.
Possible values of p = 2*5*7 or \(2*5^2*7*11\). Insufficient.

Combining both (1) & (2),
Possible values of p = 2*3*5*7 or \(2*3^3*5^2*7*11\). Insufficient.

Thus, Answer is (E).

Regards,

A little note: the possible values of p are not limited to just 2 values.
User avatar
cyberjadugar
Joined: 29 Mar 2012
Last visit: 01 Apr 2026
Posts: 264
Own Kudos:
1,814
 [2]
Given Kudos: 23
Location: India
GMAT 1: 640 Q50 V26
GMAT 2: 660 Q50 V28
GMAT 3: 730 Q50 V38
GMAT 3: 730 Q50 V38
Posts: 264
Kudos: 1,814
 [2]
2
Kudos
Add Kudos
Bookmarks
Bookmark this Post
Bunuel
cyberjadugar
Hi,

Using (1)
Each of the integers 2, 3, and 5 is a factor of p.
Possible values of p = 2*3*5 or \(2^2*3*5*11\). Insufficient.

Using (2)
Each of the integers 2, 5, and 7 is a factor of p.
Possible values of p = 2*5*7 or \(2*5^2*7*11\). Insufficient.

Combining both (1) & (2),
Possible values of p = 2*3*5*7 or \(2*3^3*5^2*7*11\). Insufficient.

Thus, Answer is (E).

Regards,

A little note: the possible values of p are not limited to just 2 values.
Hi,

As long as a DS question is having a unique answer we can go with the Answer choice.

But in case there are two or more values which fulfill same criteria, there is no need to list all. If we have only one more case, we can say that answer from the given statement is not unique, and thus the choice is insufficient to get the answer.

Regards,
User avatar
Bunuel
User avatar
Math Expert
Joined: 02 Sep 2009
Last visit: 23 Apr 2026
Posts: 109,785
Own Kudos:
810,870
 [1]
Given Kudos: 105,853
Products:
Expert
Expert reply
Active GMAT Club Expert! Tag them with @ followed by their username for a faster response.
Posts: 109,785
Kudos: 810,870
 [1]
1
Kudos
Add Kudos
Bookmarks
Bookmark this Post
cyberjadugar
Bunuel
cyberjadugar
Hi,

Using (1)
Each of the integers 2, 3, and 5 is a factor of p.
Possible values of p = 2*3*5 or \(2^2*3*5*11\). Insufficient.

Using (2)
Each of the integers 2, 5, and 7 is a factor of p.
Possible values of p = 2*5*7 or \(2*5^2*7*11\). Insufficient.

Combining both (1) & (2),
Possible values of p = 2*3*5*7 or \(2*3^3*5^2*7*11\). Insufficient.

Thus, Answer is (E).

Regards,

A little note: the possible values of p are not limited to just 2 values.
Hi,

As long as a DS question is having a unique answer we can go with the Answer choice.

But in case there are two or more values which fulfill same criteria, there is no need to list all. If we have only one more case, we can say that answer from the given statement is not unique, and thus the choice is insufficient to get the answer.

Regards,

Since there are infinitely many values of p possible, then you simply won't be able to list them all. I just wanted to make it clear that there are more values of p possible than listed in your solution. Otherwise your reasoning is correct.

Hope it's clear.
User avatar
shivanigs
Joined: 27 Apr 2012
Last visit: 17 Aug 2016
Posts: 55
Own Kudos:
251
 [1]
Given Kudos: 21
Location: United States
GMAT Date: 06-11-2013
GPA: 3.5
WE:Marketing (Consumer Packaged Goods)
Posts: 55
Kudos: 251
 [1]
Kudos
Add Kudos
1
Bookmarks
Bookmark this Post
What is the value of the integer p ?


1) This tells us that 2,3,5 are factors of p, so p could be = 2*3*5 or p = 2*3*5*a or p = 2*3*5 *a*b etc.
basically since we do not know the definite number of factors that p has,
hence p could have many more factors besides 2,3,5
Hence,the statement is insufficient and answer choices A & D are eliminated.

2) This tells us that 2,3,7 are factors of p,so p could be = 2*3*7 or p = 2*3*7*a or p = 2*3*5*d*a etc.
we do not know the definite number of factors that p has so p could could have more factors as well
Hence,the statement is insufficient and answer choice B is eliminated.

When we look at both the statements together,p has 2,3,5,7 as factors but then again we have no way of finding out
whether these 4 numbers are the only factors that p has.Hence both statements combined are insufficient and E is the answer.
User avatar
thevenus
Joined: 17 Mar 2010
Last visit: 17 Dec 2024
Posts: 317
Own Kudos:
1,525
 [1]
Given Kudos: 76
Status:Final Countdown
Location: United States (NY)
GPA: 3.82
WE:Account Management (Retail Banking)
Posts: 317
Kudos: 1,525
 [1]
1
Kudos
Add Kudos
Bookmarks
Bookmark this Post
What is the value of the integer p ?

(1) Each of the integers 2, 3, and 5 is a factor of p.
LCM OF 2,3&5=30; p= multiple of 30 such as, 30,60,90...not sufficient
(2) Each of the integers 2, 5, and 7 is a factor of p.
LCM of 2,5,&7=70;p=multiples of 70 such that 70,140,210 etc...not sufficient
from (i) and (ii)
LCM of 30,70=10;p=10,20,....not sufficient
not sufficient
User avatar
mcelroytutoring
Joined: 10 Jul 2015
Last visit: 19 Mar 2026
Posts: 1,206
Own Kudos:
2,675
 [1]
Given Kudos: 282
Status:Expert GMAT, GRE, and LSAT Tutor / Coach
Affiliations: Harvard University, A.B. with honors in Government, 2002
Location: United States (CO)
Age: 45 (10 years and counting on GMAT Club!)
GMAT 1: 770 Q47 V48
GMAT 2: 730 Q44 V47
GMAT 3: 750 Q50 V42
GMAT 4: 730 Q48 V42 (Online)
GRE 1: Q168 V169
GRE 2: Q170 V170
Expert
Expert reply
GMAT 4: 730 Q48 V42 (Online)
GRE 1: Q168 V169
GRE 2: Q170 V170
Posts: 1,206
Kudos: 2,675
 [1]
1
Kudos
Add Kudos
Bookmarks
Bookmark this Post
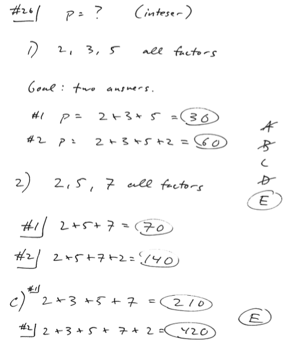
Here is a visual that should help.
Attachments

Screen Shot 2016-03-27 at 7.48.34 PM.png
Screen Shot 2016-03-27 at 7.48.34 PM.png [ 97.51 KiB | Viewed 54322 times ]

User avatar
BrentGMATPrepNow
User avatar
Major Poster
Joined: 12 Sep 2015
Last visit: 31 Oct 2025
Posts: 6,733
Own Kudos:
36,451
 [2]
Given Kudos: 799
Location: Canada
Expert
Expert reply
Posts: 6,733
Kudos: 36,451
 [2]
2
Kudos
Add Kudos
Bookmarks
Bookmark this Post
Bunuel
What is the value of the integer p ?

(1) Each of the integers 2, 3, and 5 is a factor of p.
(2) Each of the integers 2, 5, and 7 is a factor of p.

Diagnostic Test
Question: 26
Page: 25
Difficulty: 550

ASIDE:
For questions involving factors (aka "divisors"), we can say:
If k is a divisor of N, then k is "hiding" within the prime factorization of N
Consider these examples:
3 is a divisor of 24 because 24 = (2)(2)(2)(3), and we can clearly see the 3 hiding in the prime factorization.
Likewise, 5 is a divisor of 70 because 70 = (2)(5)(7)
And 8 is a divisor of 112 because 112 = (2)(2)(2)(2)(7)
And 15 is a divisor of 630 because 630 = (2)(3)(3)(5)(7)

Conversely, we can say that, if k is "hiding" within the prime factorization of N, then N is a multiple of k
Examples:
24 = (2)(2)(2)(3) <--> 24 is a multiple of 3
(2)(5)(7) <--> 70 is a multiple of 5
330 = (2)(3)(5)(11) <--> 330 is a multiple of 6

----NOW ONTO THE QUESTION-------------
Target question: What is the value of the integer p ?

Statement 1: Each of the integers 2, 3, and 5 is a factor of p.
So, p = (2)(3)(5)(possibly other primes)
This tells us that p is a multiple of 30.
There are infinitely many values of p that satisfy statement 1.
For example, p could equal 30 or p could equal 60 (etc)
Since we cannot answer the target question with certainty, statement 1 is NOT SUFFICIENT

Statement 2: Each of the integers 2, 5, and 7 is a factor of p.
So, p = (2)(5)(7)(possibly other primes)
This tells us that p is a multiple of 70.
There are infinitely many values of p that satisfy statement 2.
For example, p could equal 70 or p could equal 140 (etc)
Since we cannot answer the target question with certainty, statement 2 is NOT SUFFICIENT

Statements 1 and 2 combined
Statement 1 tells us that p = (2)(3)(5)(possibly other primes)
Statement 2 tells us that p = (2)(5)(7)(possibly other primes)
When we COMBINE the statements, we can conclude that p = (2)(3)(5)(7)(possibly other primes)
In other words, p is a multiple of 210.
There are infinitely many values of p that satisfy this condition.
For example, p could equal 210 or p could equal 420 (etc)
Since we cannot answer the target question with certainty, the combined statements are NOT SUFFICIENT

Answer: E

RELATED VIDEO
User avatar
Cbirole
Joined: 16 May 2016
Last visit: 25 Sep 2022
Posts: 112
Own Kudos:
384
 [1]
Given Kudos: 124
Location: India
Concentration: Marketing, International Business
GMAT 1: 720 Q50 V38
GPA: 3.5
WE:Analyst (Consulting)
GMAT 1: 720 Q50 V38
Posts: 112
Kudos: 384
 [1]
Kudos
Add Kudos
1
Bookmarks
Bookmark this Post
Bunuel
What is the value of the integer p ?

(1) Each of the integers 2, 3, and 5 is a factor of p.
(2) Each of the integers 2, 5, and 7 is a factor of p.

Diagnostic Test
Question: 26
Page: 25
Difficulty: 550
1. 2,3,5 are factors of P but we do not know how many times they are occurring. Like P=2*3*5 or P=2^2*3^3*5^5 or can be anything. Also, we do not know whether 2,3,5 are only factors of P -INSUFFICIENT
2. 2,5,7 are factors of P but we do not know how many times they are occurring. Like P=2*5*7 or P=2^2*5^3*7^5 or can be anything. Also, we do not know whether 2,7,5 are only factors of P- INSUFFICIENT
Hence Answer: E
User avatar
JeffTargetTestPrep
User avatar
Target Test Prep Representative
Joined: 04 Mar 2011
Last visit: 05 Jan 2024
Posts: 2,974
Own Kudos:
Given Kudos: 1,646
Status:Head GMAT Instructor
Affiliations: Target Test Prep
Expert
Expert reply
Posts: 2,974
Kudos: 8,710
Kudos
Add Kudos
Bookmarks
Bookmark this Post
Bunuel
What is the value of the integer p ?

(1) Each of the integers 2, 3, and 5 is a factor of p.
(2) Each of the integers 2, 5, and 7 is a factor of p.


Statement One Alone:

Each of the integers 2, 3, and 5 is a factor of p.

We see that p could be 2 x 3 x 5 = 30, or p could be any multiple of 30. Statement one alone is not sufficient.

Statement Two Alone:

Each of the integers 2, 5, and 7 is a factor of p.

We see that p could be 2 x 5 x 7 = 70, or p could be any multiple of 70. Statement two alone is not sufficient.

Statements One and Two Together:

With two statements together, p could be 2 x 3 x 5 x 7 = 210, or p could be any multiple of 210. The two statements together are still not sufficient to answer the question.

Answer: E
User avatar
DaudDastagir
Joined: 13 Jan 2023
Last visit: 23 Feb 2023
Posts: 8
Given Kudos: 42
Posts: 8
Kudos: 0
Kudos
Add Kudos
Bookmarks
Bookmark this Post
thevenus
LCM of 30,70 = 10
This is not correct. LCM of 30,70 is 210
What you have done is actually HCF because HCF of 30,70 is 10
I mention this to avoid confusion for beginners.
User avatar
DaudDastagir
Joined: 13 Jan 2023
Last visit: 23 Feb 2023
Posts: 8
Given Kudos: 42
Posts: 8
Kudos: 0
Kudos
Add Kudos
Bookmarks
Bookmark this Post
Bunuel
How would you solve it if the statements were as follow:
(1) 2,3, and 5 are the only factors of P
(2) 2,5 and 7 are the only factors of P

Please help!
User avatar
Bunuel
User avatar
Math Expert
Joined: 02 Sep 2009
Last visit: 23 Apr 2026
Posts: 109,785
Own Kudos:
810,870
 [2]
Given Kudos: 105,853
Products:
Expert
Expert reply
Active GMAT Club Expert! Tag them with @ followed by their username for a faster response.
Posts: 109,785
Kudos: 810,870
 [2]
2
Kudos
Add Kudos
Bookmarks
Bookmark this Post
DaudDastagir
Bunuel
How would you solve it if the statements were as follow:
(1) 2,3, and 5 are the only factors of P
(2) 2,5 and 7 are the only factors of P

Please help!

This would be a flawed question.

First of all, if 2, 3, and 5 are factors of p, then so are 1, 2*3, 2*5, 3*5, and 2*3*5. So, it makes no sense to say that 2, 3, and 5 are the ONLY factors of p. Similarly, if 2, 5 and 7 are factors of p, then so are 1, 2*5, 2*7, 5*7, and 2*5*7, are the ONLY factors of p.

If you meant to say that

    (1) 2, 3 and 5 are the only PRIME factors of p
    (2) 2, 5 and 7 are the only PRIME factors of p

Then we'd still have a flawed question because two statements cannot contradict each other and here they clearly are.

And finally, if (1) were "2, 3 and 5 are the only PRIME factors of p" and (2) were some non-contradictory statement, then (1) would still not be sufficient, because we would not know the powers of these primes to get the exact value of p.

Hope it's clear.
User avatar
totaltestprepNick
Joined: 25 Aug 2014
Last visit: 23 Apr 2026
Posts: 469
Own Kudos:
Given Kudos: 2
GMAT 1: 750 Q49 V42
GMAT 1: 750 Q49 V42
Posts: 469
Kudos: 4
Kudos
Add Kudos
Bookmarks
Bookmark this Post
Bunuel
What is the value of the integer p ?

(1) Each of the integers 2, 3, and 5 is a factor of p.
(2) Each of the integers 2, 5, and 7 is a factor of p.





Nick Slavkovich, GMAT/GRE tutor with 20+ years of experience

[email protected]
Moderators:
Math Expert
109785 posts
498 posts
212 posts