Last visit was: 24 Apr 2026, 08:04 It is currently 24 Apr 2026, 08:04
Close
GMAT Club Daily Prep
Thank you for using the timer - this advanced tool can estimate your performance and suggest more practice questions. We have subscribed you to Daily Prep Questions via email.

Customized
for You

we will pick new questions that match your level based on your Timer History

Track
Your Progress

every week, we’ll send you an estimated GMAT score based on your performance

Practice
Pays

we will pick new questions that match your level based on your Timer History
Not interested in getting valuable practice questions and articles delivered to your email? No problem, unsubscribe here.
Close
Request Expert Reply
Confirm Cancel
User avatar
earnit
Joined: 06 Mar 2014
Last visit: 21 Dec 2016
Posts: 161
Own Kudos:
572
 [5]
Given Kudos: 84
Location: India
GMAT Date: 04-30-2015
Products:
2
Kudos
Add Kudos
3
Bookmarks
Bookmark this Post
User avatar
askhere
Joined: 12 Nov 2014
Last visit: 16 Apr 2026
Posts: 64
Own Kudos:
217
 [1]
Given Kudos: 14
Posts: 64
Kudos: 217
 [1]
Kudos
Add Kudos
1
Bookmarks
Bookmark this Post
User avatar
KarishmaB
Joined: 16 Oct 2010
Last visit: 23 Apr 2026
Posts: 16,442
Own Kudos:
79,401
 [3]
Given Kudos: 485
Location: Pune, India
Expert
Expert reply
Active GMAT Club Expert! Tag them with @ followed by their username for a faster response.
Posts: 16,442
Kudos: 79,401
 [3]
3
Kudos
Add Kudos
Bookmarks
Bookmark this Post
User avatar
Bunuel
User avatar
Math Expert
Joined: 02 Sep 2009
Last visit: 24 Apr 2026
Posts: 109,814
Own Kudos:
811,011
 [1]
Given Kudos: 105,871
Products:
Expert
Expert reply
Active GMAT Club Expert! Tag them with @ followed by their username for a faster response.
Posts: 109,814
Kudos: 811,011
 [1]
1
Kudos
Add Kudos
Bookmarks
Bookmark this Post
earnit
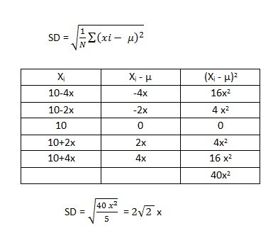
Is the standard deviation of the set (10-4x, 10-2x, 10, 10+2x, 10+4x) greater than the greatest element of the set?

1) x>0
2) x<0

This is a poor quality non-GMAT question.

Topic locked.
User avatar
ashutoshsh
Joined: 07 Mar 2016
Last visit: 07 Feb 2017
Posts: 53
Own Kudos:
Given Kudos: 163
Posts: 53
Kudos: 183
Kudos
Add Kudos
Bookmarks
Bookmark this Post
Is the standard deviation of set (10-4x, 10-2x, 10, 10+2x, 10+4x) greater than the greatest element in the set?

1.) x<0
2.) x>0


Can u please tell me the question's difficulty level also.
Thanks
User avatar
Kurtosis
User avatar
Current Student
Joined: 13 Apr 2015
Last visit: 10 Nov 2021
Posts: 1,384
Own Kudos:
Given Kudos: 1,228
Location: India
Products:
Posts: 1,384
Kudos: 5,236
Kudos
Add Kudos
Bookmarks
Bookmark this Post
ashutoshsh
Is the standard deviation of set (10-4x, 10-2x, 10, 10+2x, 10+4x) greater than the greatest element in the set?

1.) x<0
2.) x>0


Can u please tell me the question's difficulty level also.
Thanks

Topic merged. This is a poor quality question. Please search before posting. Thank you.

Rules for posting: rules-for-posting-please-read-this-before-posting-133935.html#p1092822

This Question is Locked Due to Poor Quality
Hi there,
The question you've reached has been archived due to not meeting our community quality standards. No more replies are possible here.
Looking for better-quality questions? Check out the 'Similar Questions' block below for a list of similar but high-quality questions.
Want to join other relevant Problem Solving discussions? Visit our Data Sufficiency (DS) Forum for the most recent and top-quality discussions.
Thank you for understanding, and happy exploring!
Moderators:
Math Expert
109814 posts
498 posts
212 posts