Last visit was: 24 Apr 2026, 14:14 It is currently 24 Apr 2026, 14:14
Close
GMAT Club Daily Prep
Thank you for using the timer - this advanced tool can estimate your performance and suggest more practice questions. We have subscribed you to Daily Prep Questions via email.

Customized
for You

we will pick new questions that match your level based on your Timer History

Track
Your Progress

every week, we’ll send you an estimated GMAT score based on your performance

Practice
Pays

we will pick new questions that match your level based on your Timer History
Not interested in getting valuable practice questions and articles delivered to your email? No problem, unsubscribe here.
Close
Request Expert Reply
Confirm Cancel
User avatar
Bunuel
User avatar
Math Expert
Joined: 02 Sep 2009
Last visit: 24 Apr 2026
Posts: 109,818
Own Kudos:
Given Kudos: 105,873
Products:
Expert
Expert reply
Active GMAT Club Expert! Tag them with @ followed by their username for a faster response.
Posts: 109,818
Kudos: 811,066
Kudos
Add Kudos
Bookmarks
Bookmark this Post
User avatar
Raksat
Joined: 20 Feb 2017
Last visit: 13 Feb 2025
Posts: 145
Own Kudos:
Given Kudos: 489
Location: India
Concentration: Operations, Strategy
WE:Engineering (Other)
Posts: 145
Kudos: 531
Kudos
Add Kudos
Bookmarks
Bookmark this Post
User avatar
akadiyan
User avatar
Retired Moderator
Joined: 31 May 2017
Last visit: 20 Jun 2025
Posts: 724
Own Kudos:
Given Kudos: 53
Concentration: Technology, Strategy
Products:
Posts: 724
Kudos: 706
Kudos
Add Kudos
Bookmarks
Bookmark this Post
User avatar
gmatexam439
User avatar
Moderator
Joined: 28 Mar 2017
Last visit: 18 Oct 2024
Posts: 1,054
Own Kudos:
Given Kudos: 200
Location: India
Concentration: Finance, Technology
GMAT 1: 730 Q49 V41
GPA: 4
Products:
GMAT 1: 730 Q49 V41
Posts: 1,054
Kudos: 2,195
Kudos
Add Kudos
Bookmarks
Bookmark this Post
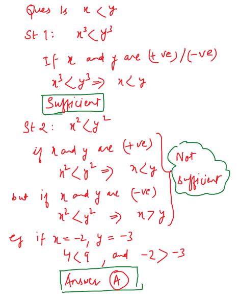
Bunuel
If x and y are integers, is x less than y ?

(1) The cube of x is less than the cube of y.

(2) The square of x is less than the square y.

IMO A

Stmt 1: \(x^3\)<\(y^3\)
=> \(x^3\)-\(y^3\)<0
=> (x-y)(\(x^2\)+y^2\(\)+xy)<0; Now, (\(x^2\)+\(y^2\)+xy) will be >0
Thus, x-y<0 => x<y; Sufficient

Stmt 2: \(x^2\)<\(y^2\)
=> (x+y)(x-y)<0; Now either could be <0; Insufficient
User avatar
GMATBusters
User avatar
GMAT Tutor
Joined: 27 Oct 2017
Last visit: 23 Apr 2026
Posts: 1,922
Own Kudos:
Given Kudos: 241
WE:General Management (Education)
Expert
Expert reply
Posts: 1,922
Kudos: 6,856
Kudos
Add Kudos
Bookmarks
Bookmark this Post
See the attachment
Attachments

2018-02-06 at 21-02-15.jpg
2018-02-06 at 21-02-15.jpg [ 33.16 KiB | Viewed 1696 times ]

Moderators:
Math Expert
109818 posts
498 posts
212 posts